| ||||||||||||||||||||||||||||||||||||||
Скачать РД 34.15.501-88 Методические указания по контролю и анализу качества электрической энергии в электрических сетях общего назначенияДата актуализации: 10.08.2017
|
| Обозначение: | РД 34.15.501-88 |
| Обозначение англ: | RD 34.15.501-88 |
| Статус: | заменен |
| Название рус.: | Методические указания по контролю и анализу качества электрической энергии в электрических сетях общего назначения |
| Название англ.: | Procedural Guidelines for Monitoring and Analysis of Electric Power Quality in Public Electrical Networks |
| Дата добавления в базу: | 01.09.2013 |
| Дата актуализации: | 05.05.2017 |
| Дата введения: | 01.01.2001 |
| Область применения: | Методические указания предназначены для персонала энергоснабжающих и энергопотребляющих организаций, ответственного за техническое и организационное обеспечение требуемого качества электрической энергии в подведомственных сетях и на границах раздела их балансовой принадлежности. |
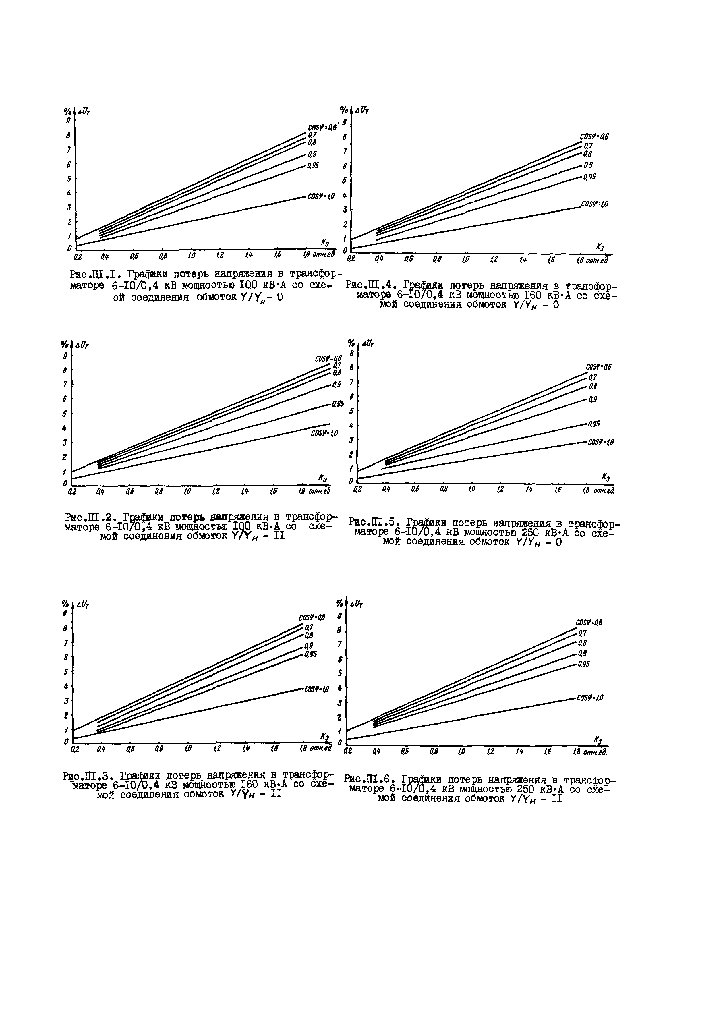
| Оглавление: | 1 Общие положения 2 Выбор пунктов измерения качества электроэнергии 3 Определение нормальных и максимальных значений показателей качества электроэнергии в пунктах контроля 4 Продолжительность и периодичность измерений показателей качества электроэнергии 5 Средства измерений и вспомогательные устройства 6 Требования к безопасности и квалификации персонала 7 Условия выполнения измерений 8 Подготовка к выполнению измерений 9 Выполнение измерений 10 Обработка результатов измерений 11 Анализ результатов измерений 12 Распределение обязанностей по контролю и анализу качества электроэнергии между подразделениями ПОЭЭ и ПЭС Приложение 1 Удельные потери напряжения в кабельных и воздушных линиях 0,4 и 6-10 кВ, потери напряжения в трансформаторах 6-10/0,4 кВ и 35/6-10 кВ Приложение 2 Определение необходимого диапазона регулирования в центре питания Приложение 3 Условия присоединения нелинейных потребителей к сети энергоснабжающей организации Приложение 4 Измерение размахов изменений напряжения и токов в сети с резкопеременной нагрузкой Приложение 5 Формы протоколов измерений Список использованной литературы |
| Разработан: | ВНИИЭ |
| Утверждён: | 22.12.1988 Минэнерго СССР (USSR Minenergo ) |
| Принят: | 15.12.1988 Главное управление по государственному энергетическому надзору |
| Издан: | СПО Союзтехэнерго (1990 г. ) |
| Расположен в: | |
| Чем заменён: | |
| Нормативные ссылки: |








































































