Информационная система
«Ёшкин Кот»

Скачать базу одним архивом
Скачать обновления
История создания базы
Карта сайта

Скачать ГОСТ Р 51431-99 Продукция соковая. Метод определения относительной плотности

Дата актуализации: 10.08.2017

ГОСТ Р 51431-99

Продукция соковая. Метод определения относительной плотности

Обозначение: ГОСТ Р 51431-99
Обозначение англ: GOST R 51431-99
Статус:отменен
Название рус.:Продукция соковая. Метод определения относительной плотности
Название англ.:Juice products. Method for determination of relative density
Дата добавления в базу:01.09.2013
Дата актуализации:05.05.2017
Дата введения:01.01.2017
Область применения:Стандарт распространяется на соковую продукцию.
Оглавление:1 Область применения
2 Нормативные ссылки
3 Определения
4 Сущность метода
5 Средства измерений, лабораторное оборудование, реактивы и материалы
6 Отбор и подготовка проб
7 Подготовка к проведению испытаний
8 Проведение испытаний
9 Обработка и оформление результатов
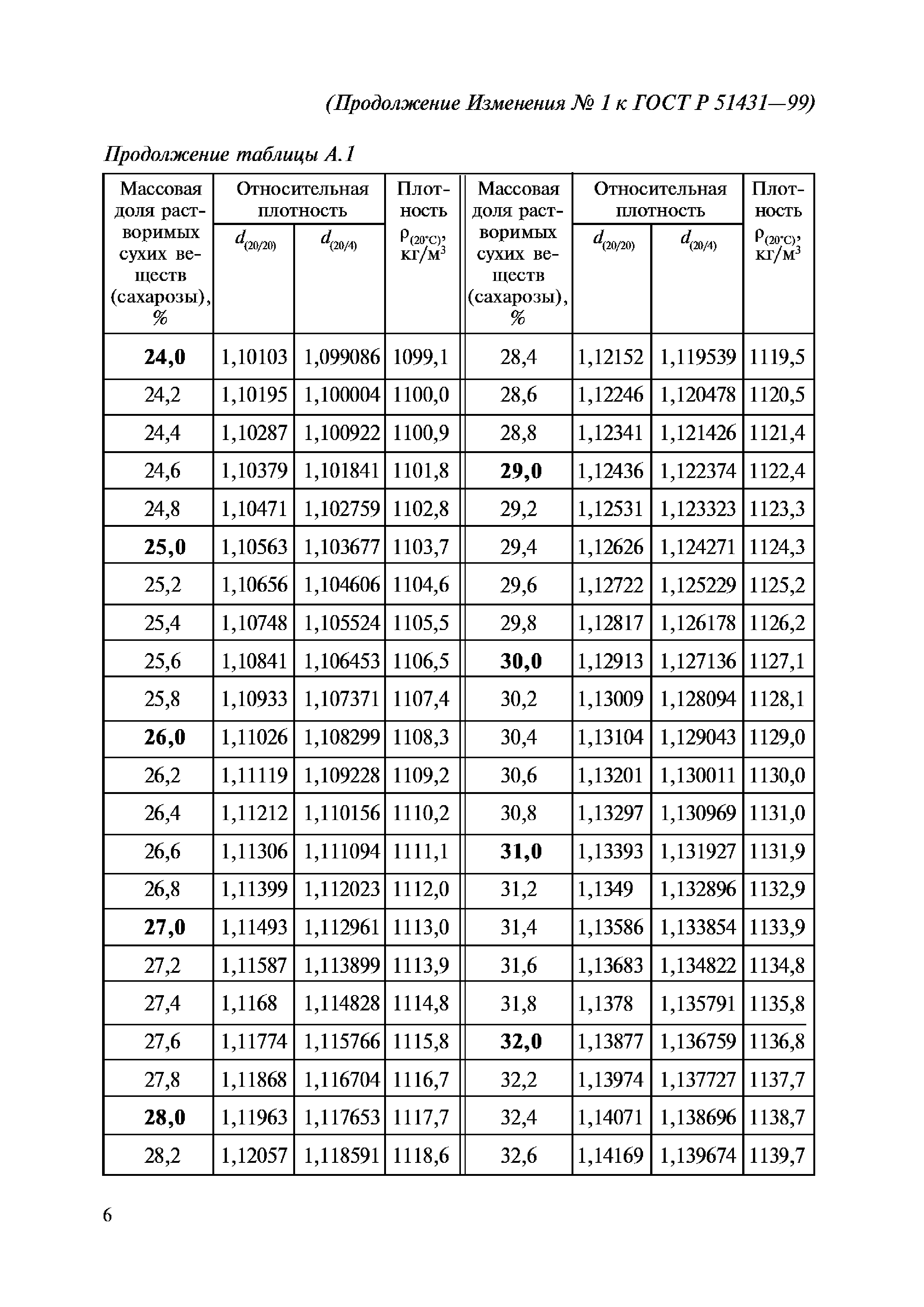
Приложение А (справочное)
Разработан: ВНИИКОП
Утверждён:22.12.1999 Госстандарт России (Russian Federation Gosstandart 586-ст)
Издан: ИПК Издательство стандартов (2000 г. )
ИПК Издательство стандартов (2002 г. )
Расположен в:Техническая документация Электроэнергия ПРОИЗВОДСТВО ПИЩЕВЫХ ПРОДУКТОВ Напитки Безалкогольные напитки Экология ПРОИЗВОДСТВО ПИЩЕВЫХ ПРОДУКТОВ Напитки Безалкогольные напитки
Список изменений:
Нормативные ссылки:
ГОСТ Р 51431-99ГОСТ Р 51431-99ГОСТ Р 51431-99ГОСТ Р 51431-99ГОСТ Р 51431-99ГОСТ Р 51431-99ГОСТ Р 51431-99ГОСТ Р 51431-99ГОСТ Р 51431-99ГОСТ Р 51431-99ГОСТ Р 51431-99ГОСТ Р 51431-99ГОСТ Р 51431-99ГОСТ Р 51431-99ГОСТ Р 51431-99ГОСТ Р 51431-99ГОСТ Р 51431-99ГОСТ Р 51431-99

Текстовое изменение № 1 от 01.07.2011

№ 1№ 1№ 1№ 1№ 1№ 1№ 1№ 1№ 1№ 1№ 1№ 1№ 1№ 1

© 2013 Ёшкин Кот :-) Карта сайта