Информационная система
«Ёшкин Кот»

Скачать базу одним архивом
Скачать обновления
История создания базы
Карта сайта

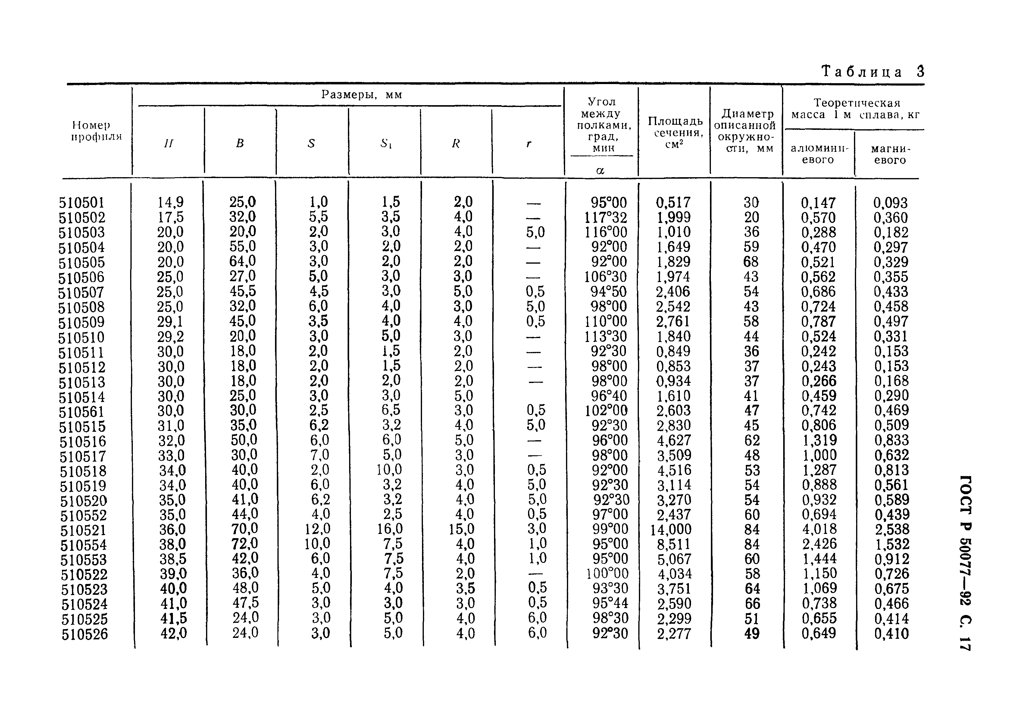
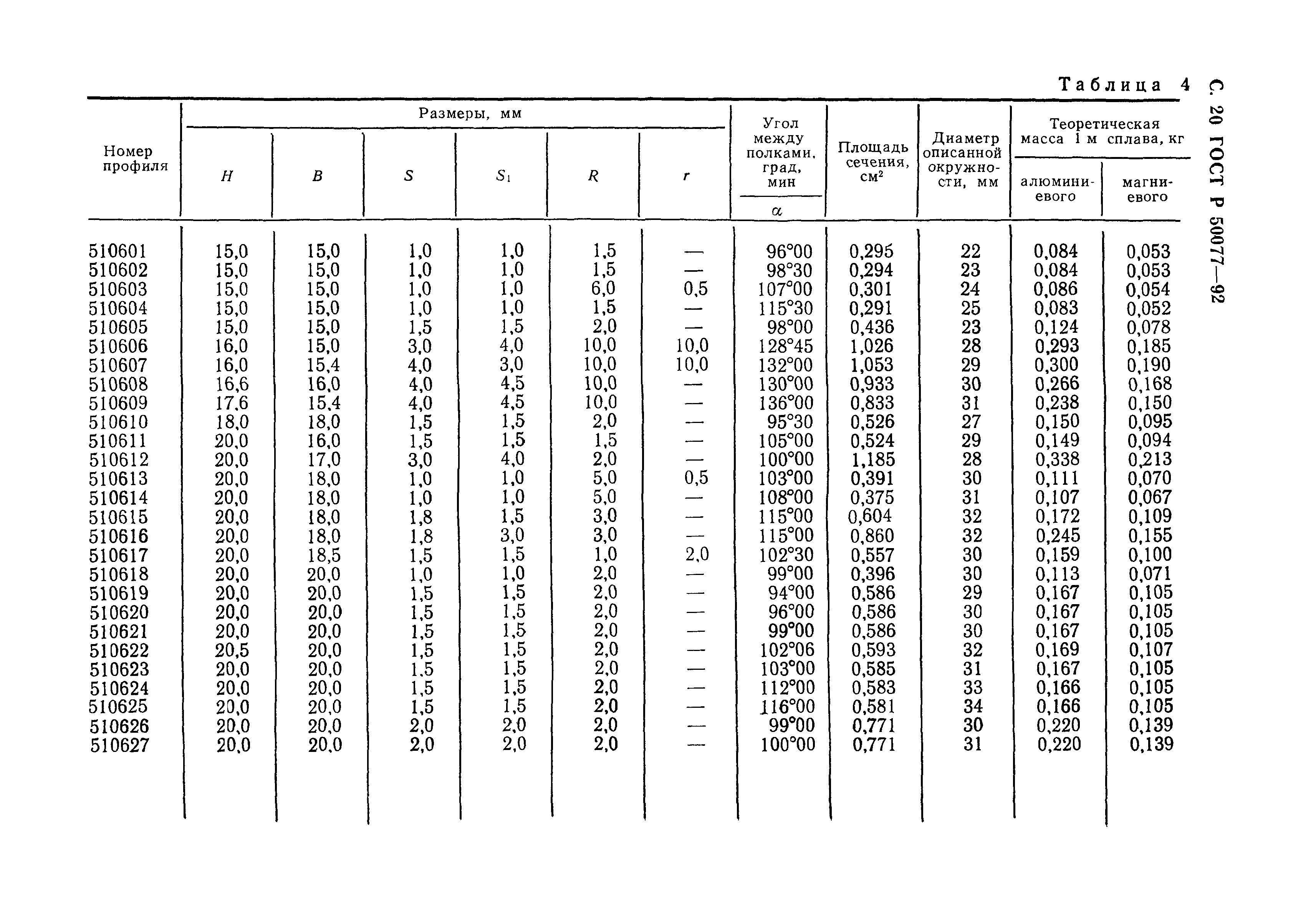
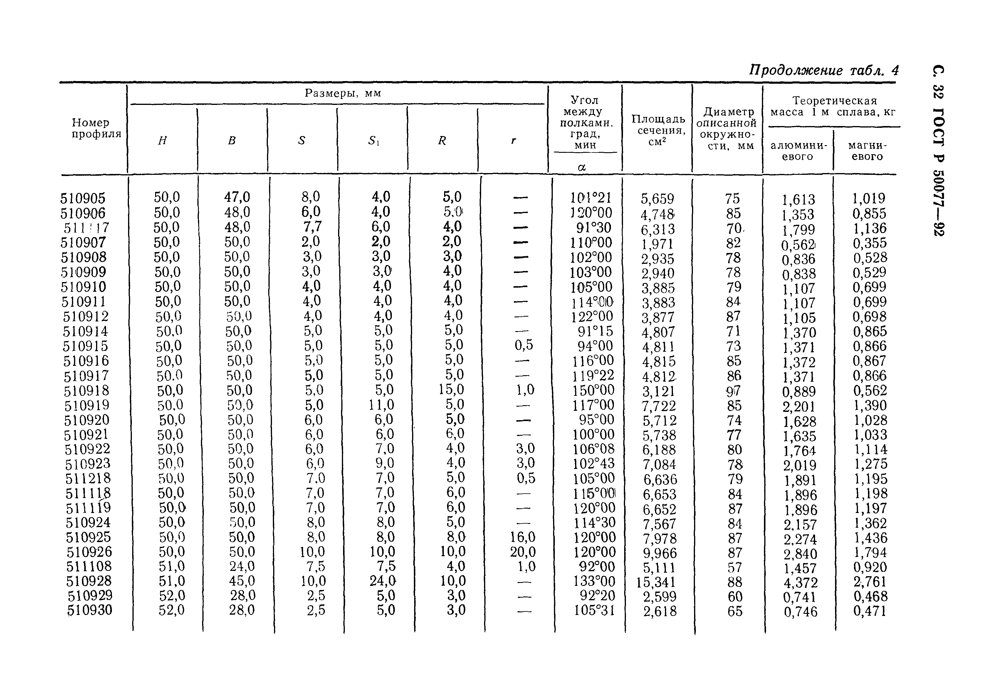
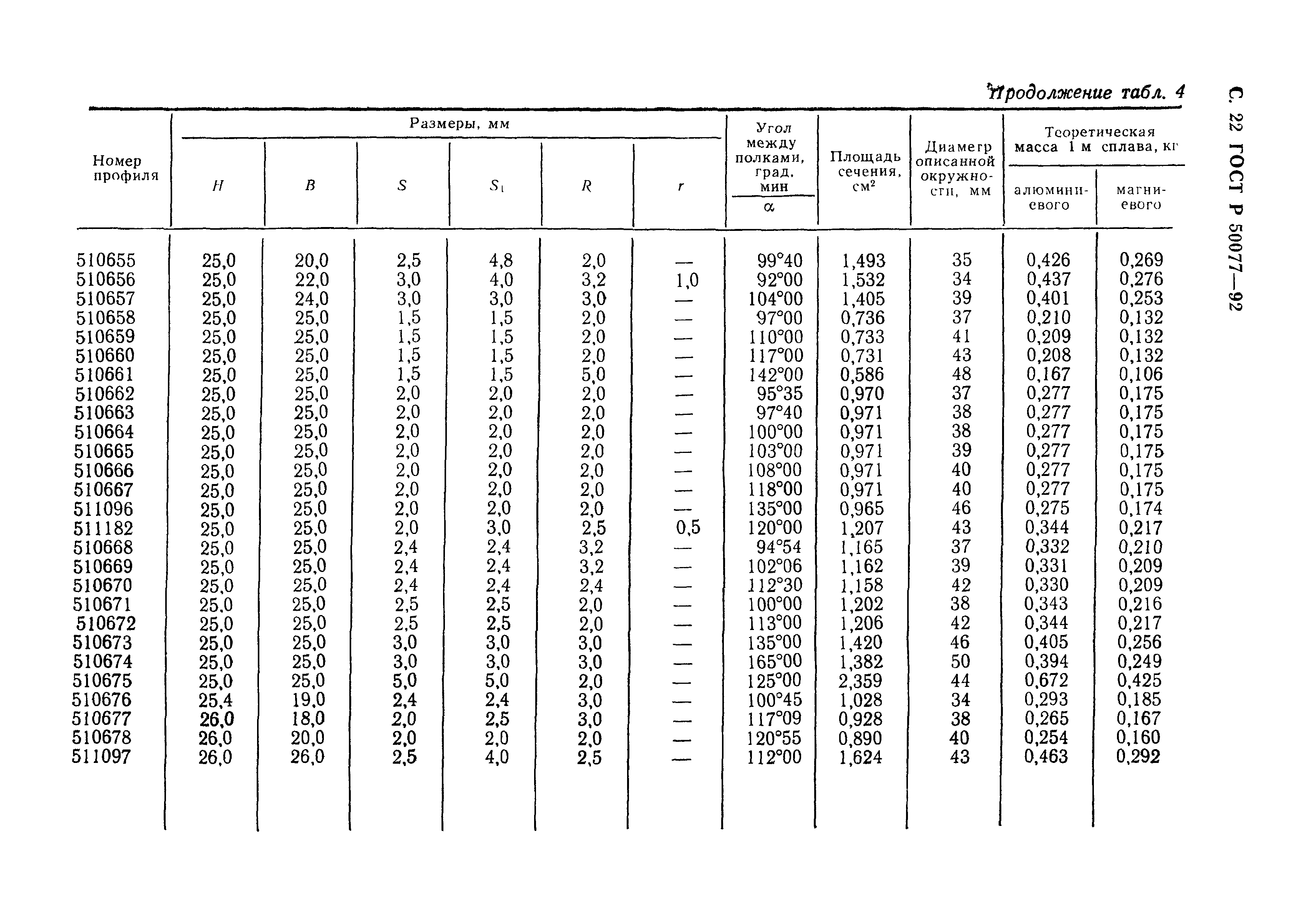
Скачать ГОСТ Р 50077-92 Профили прессованные косоугольные уголкового сечения из алюминиевых и магниевых сплавов. Сортамент

Дата актуализации: 10.08.2017

ГОСТ Р 50077-92

Профили прессованные косоугольные уголкового сечения из алюминиевых и магниевых сплавов. Сортамент

Обозначение: ГОСТ Р 50077-92
Обозначение англ: GOST R 50077-92
Статус:действует
Название рус.:Профили прессованные косоугольные уголкового сечения из алюминиевых и магниевых сплавов. Сортамент
Название англ.:Extruded oblique angle section shapes of aluminium and magnesium alloys. Dimensions
Дата добавления в базу:01.09.2013
Дата актуализации:05.05.2017
Дата введения:01.07.1993
Область применения:Стандарт устанавливает сортамент прессованных косоугольных профилей уголкового сечения из алюминия, алюминиевых и магниевых сплавов, изготовляемых методом горячего прессования.
Разработан: ТК 297 Материалы и полуфабрикаты из легких и специальных сплавов
Утверждён:30.07.1992 Госстандарт России (Russian Federation Gosstandart 821)
Издан: Издательство стандартов (1992 г. )
Расположен в:Техническая документация Электроэнергия МЕТАЛЛУРГИЯ Продукция из цветных металлов Продукция из магния Продукция из алюминия Экология МЕТАЛЛУРГИЯ Продукция из цветных металлов Продукция из магния Продукция из алюминия
Нормативные ссылки:
ГОСТ Р 50077-92ГОСТ Р 50077-92ГОСТ Р 50077-92ГОСТ Р 50077-92ГОСТ Р 50077-92ГОСТ Р 50077-92ГОСТ Р 50077-92ГОСТ Р 50077-92ГОСТ Р 50077-92ГОСТ Р 50077-92ГОСТ Р 50077-92ГОСТ Р 50077-92ГОСТ Р 50077-92ГОСТ Р 50077-92ГОСТ Р 50077-92ГОСТ Р 50077-92ГОСТ Р 50077-92ГОСТ Р 50077-92ГОСТ Р 50077-92ГОСТ Р 50077-92ГОСТ Р 50077-92ГОСТ Р 50077-92ГОСТ Р 50077-92ГОСТ Р 50077-92ГОСТ Р 50077-92ГОСТ Р 50077-92ГОСТ Р 50077-92ГОСТ Р 50077-92ГОСТ Р 50077-92ГОСТ Р 50077-92ГОСТ Р 50077-92ГОСТ Р 50077-92ГОСТ Р 50077-92ГОСТ Р 50077-92ГОСТ Р 50077-92ГОСТ Р 50077-92ГОСТ Р 50077-92ГОСТ Р 50077-92ГОСТ Р 50077-92ГОСТ Р 50077-92ГОСТ Р 50077-92ГОСТ Р 50077-92ГОСТ Р 50077-92ГОСТ Р 50077-92ГОСТ Р 50077-92ГОСТ Р 50077-92ГОСТ Р 50077-92ГОСТ Р 50077-92ГОСТ Р 50077-92ГОСТ Р 50077-92ГОСТ Р 50077-92ГОСТ Р 50077-92ГОСТ Р 50077-92ГОСТ Р 50077-92ГОСТ Р 50077-92ГОСТ Р 50077-92ГОСТ Р 50077-92ГОСТ Р 50077-92ГОСТ Р 50077-92ГОСТ Р 50077-92ГОСТ Р 50077-92ГОСТ Р 50077-92ГОСТ Р 50077-92ГОСТ Р 50077-92ГОСТ Р 50077-92

© 2013 Ёшкин Кот :-) Карта сайта