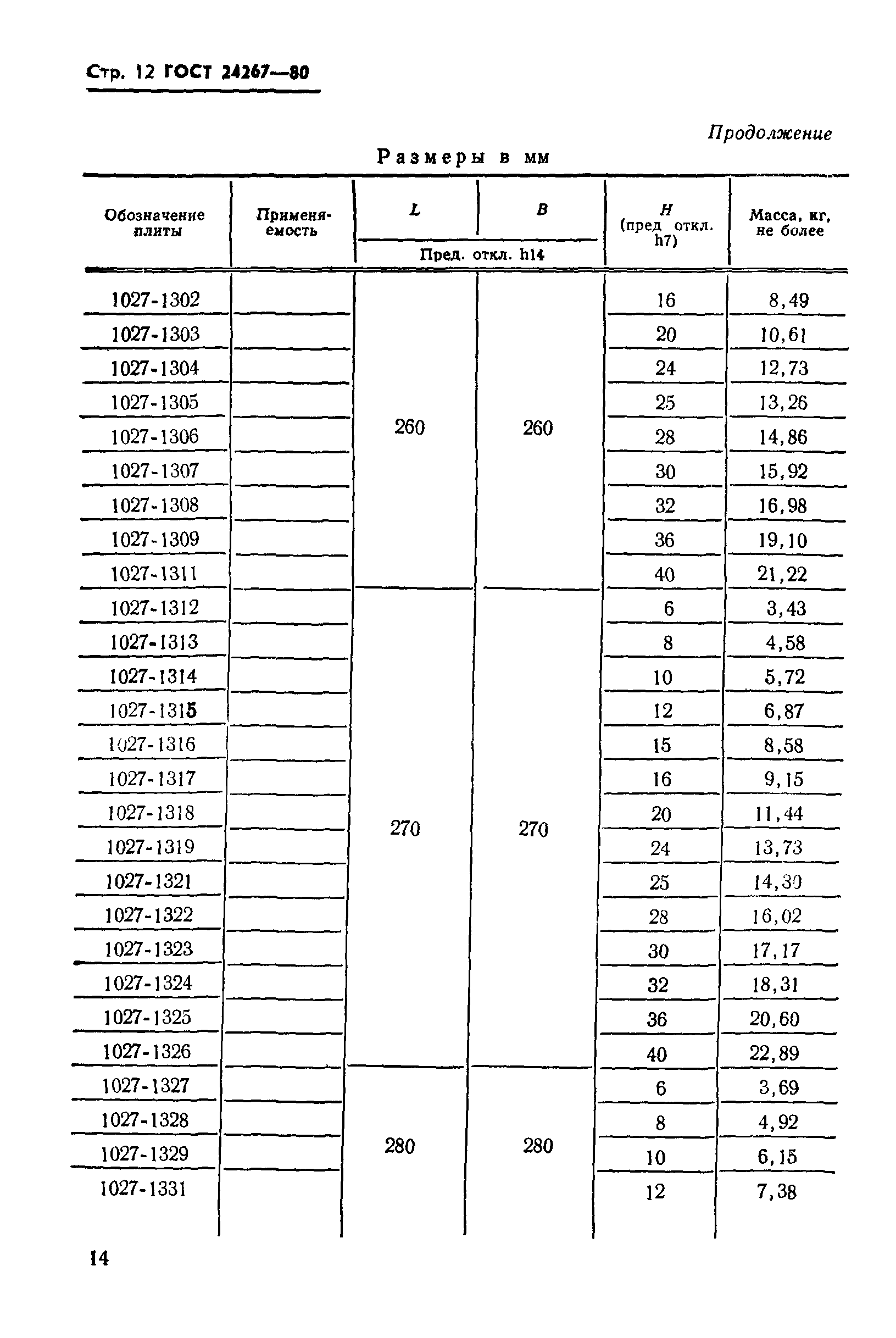
Скачать ГОСТ 24267-80 Плиты-заготовки съемных пресс-форм для изготовления резинотехнических изделий. Конструкция и размерыДата актуализации: 10.08.2017 ГОСТ 24267-80
Плиты-заготовки съемных пресс-форм для изготовления резинотехнических изделий. Конструкция и размеры| Обозначение: | ГОСТ 24267-80 | | Обозначение англ: | GOST 24267-80 | | Статус: | действует | | Название рус.: | Плиты-заготовки съемных пресс-форм для изготовления резинотехнических изделий. Конструкция и размеры | | Название англ.: | Plate-blanks of portable press moulds for manufacturing of industrial rubber articles. Design and dimensions | | Дата добавления в базу: | 01.09.2013 | | Дата актуализации: | 05.05.2017 | | Дата введения: | 01.01.1981 | | Утверждён: | 24.06.1980 Госстандарт СССР (USSR Gosstandart 3018)
| | Расположен в: |
|
              
|