Информационная система
«Ёшкин Кот»

Скачать базу одним архивом
Скачать обновления
История создания базы
Карта сайта

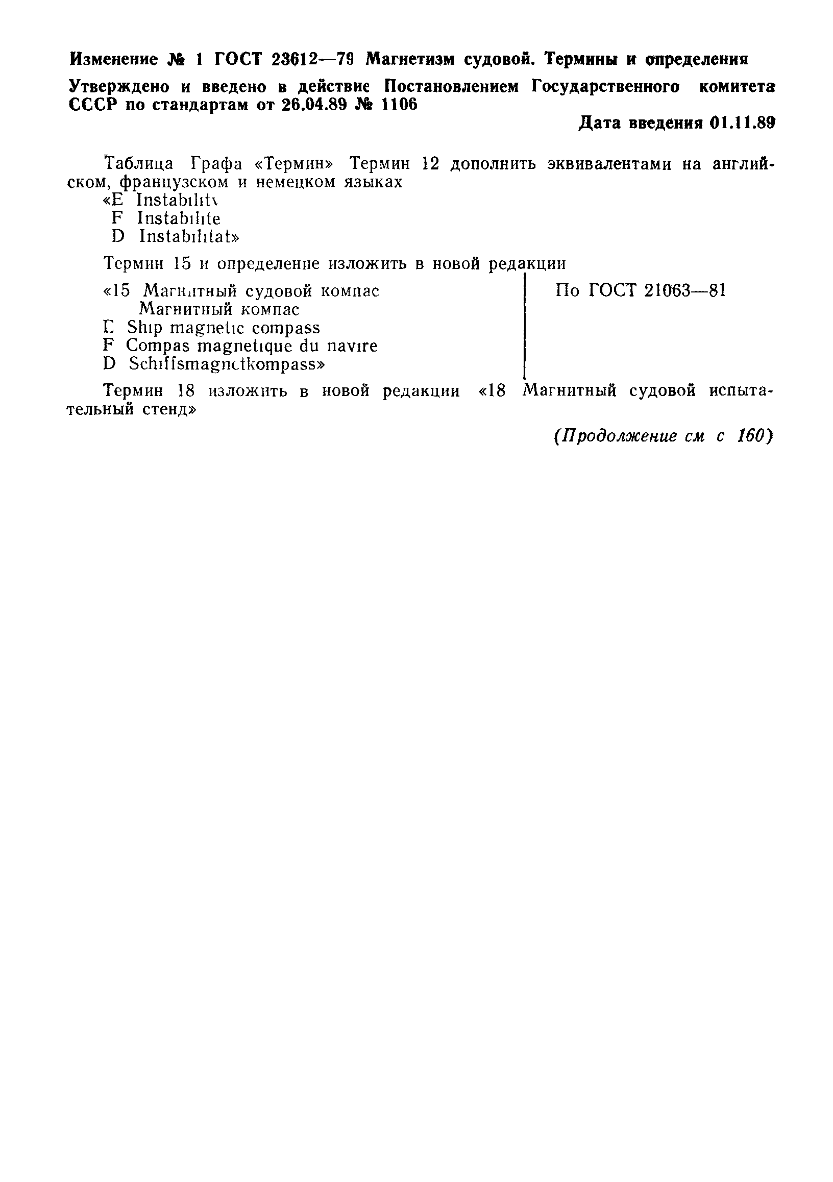
Скачать ГОСТ 23612-79 Магнетизм судовой. Термины и определения

Дата актуализации: 10.08.2017

ГОСТ 23612-79

Магнетизм судовой. Термины и определения

Обозначение: ГОСТ 23612-79
Обозначение англ: GOST 23612-79
Статус:действует
Название рус.:Магнетизм судовой. Термины и определения
Название англ.:Ships magnetism. Terms and definitions
Дата добавления в базу:01.09.2013
Дата актуализации:05.05.2017
Дата введения:01.07.1980
Область применения:Стандарт устанавливает применяемые в науке, технике и производстве термины и определения основных понятий в области судового магнетизма.
Оглавление:Алфавитный указатель терминов на русском языке
Алфавитный указатель терминов на французском языке
Алфавитный указательтерминов на немецком языке
Приложение Общие понятия, применяемые в судовом магнетизме
Утверждён:28.04.1979 Госстандарт СССР (USSR Gosstandart 1597)
Издан: Издательство стандартов (1979 г. )
Расположен в:Техническая документация Электроэнергия ОБЩИЕ ПОЛОЖЕНИЯ. ТЕРМИНОЛОГИЯ. СТАНДАРТИЗАЦИЯ. ДОКУМЕНТАЦИЯ Словари Судостроение и морские сооружения (Словари) Экология ОБЩИЕ ПОЛОЖЕНИЯ. ТЕРМИНОЛОГИЯ. СТАНДАРТИЗАЦИЯ. ДОКУМЕНТАЦИЯ Словари Судостроение и морские сооружения (Словари)
Список изменений:
Нормативные ссылки:
ГОСТ 23612-79ГОСТ 23612-79ГОСТ 23612-79ГОСТ 23612-79ГОСТ 23612-79ГОСТ 23612-79ГОСТ 23612-79ГОСТ 23612-79ГОСТ 23612-79

© 2013 Ёшкин Кот :-) Карта сайта