Информационная система
«Ёшкин Кот»

Скачать базу одним архивом
Скачать обновления
История создания базы
Карта сайта

Скачать ГОСТ 2.856-75 Горная графическая документация. Обозначения условные производственно-технических объектов

Дата актуализации: 10.08.2017

ГОСТ 2.856-75

Горная графическая документация. Обозначения условные производственно-технических объектов

Обозначение: ГОСТ 2.856-75
Обозначение англ: GOST 2.856-75
Статус:действует
Название рус.:Горная графическая документация. Обозначения условные производственно-технических объектов
Название англ.:Rock graphic documentation. Symbols for production-technical objects
Дата добавления в базу:01.09.2013
Дата актуализации:05.05.2017
Дата введения:01.01.1980
Область применения:Стандарт устанавливает условные графические обозначения производственных объектов, средств безопасного ведения горных работ, предохранительных сооружений и профилактических мероприятий, вентиляционных сооружений и оборудования, элементов электроснабжения, оборудования для противопожарной защиты и подавления пыли, транспорта и сигнализации в горных выработках, контролирующих приборов, элементов наблюдательных станций, вредного влияния горных работ и мерзлотных явлений на чертежах предприятий всех отраслей горной промышленности.
Оглавление:1 Общие положения
2 Обозначение сдвижения земной поверхности и горных пород
   2.1 Изображение элементов наблюдательных станций и защиты объектов от вредного влияния горных работ
   2.2 Изображение вредного влияния горных работ и мерзлотных явлений
3 Изображение вентиляционных сооружений и оборудования
4 Изображение элементов электроснабжения
5 Изображение оборудования для противопожарной защиты и подавления пыли
6 Изображение профилактических мероприятий по борьбе с самовозгоранием полезного ископаемого
7 Изображение оборудования для дегазации
8 Изображение транспорта, транспортных устройств и сигнализации
9 Обозначение гидротранспорта и закладочного комплекса
10 Обозначение оборудования для водоотлива и осушения
Приложение 1 (рекомендуемое) Буквенные обозначения элементов деформаций и расчетных величин при открытом и подземном способах разработки месторождений полезных ископаемых
Приложение 2 ( справочное) Перечень условных обозначений, не вошедших в настоящий стандарт
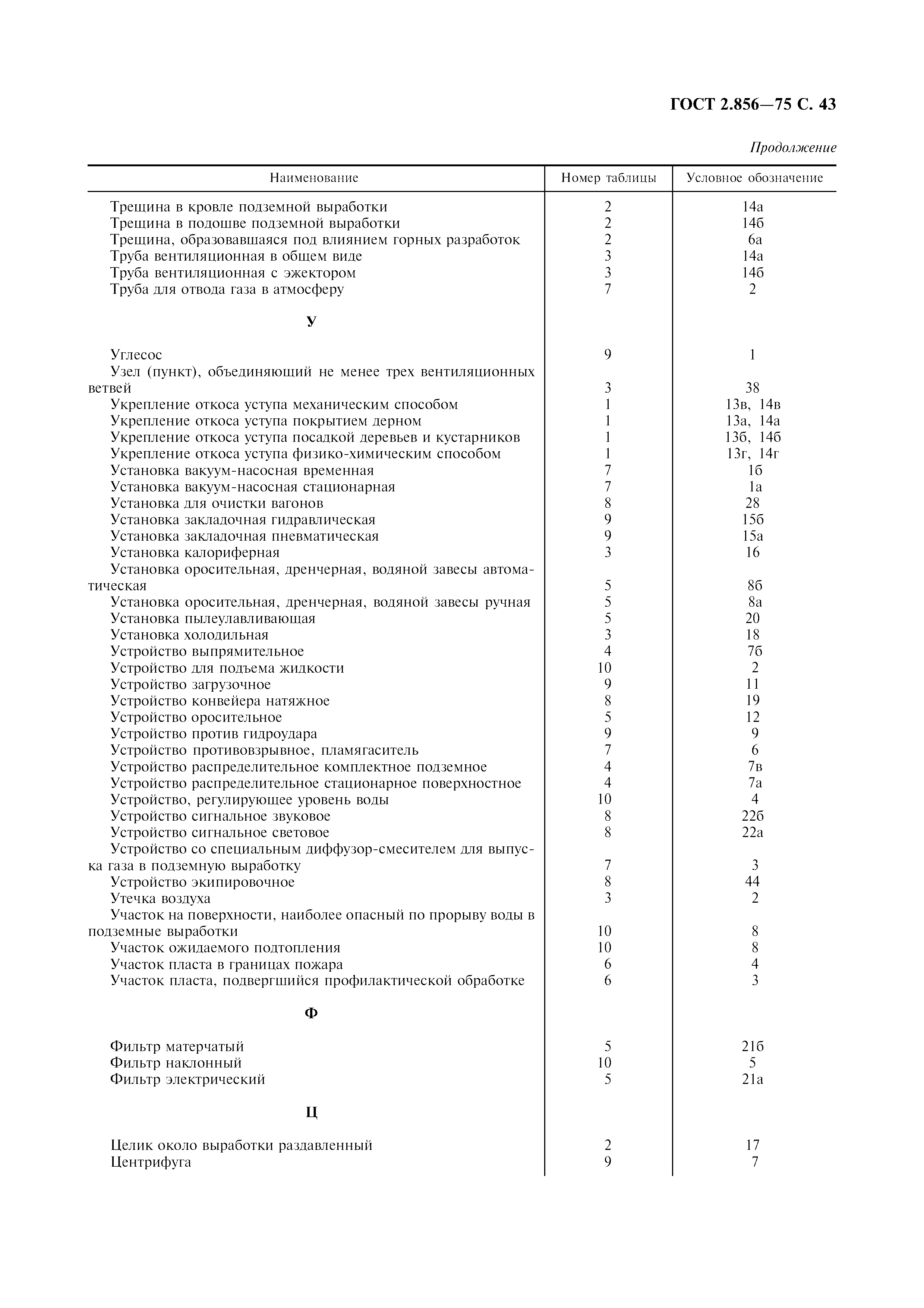
Приложение 3 Алфавитный указатель условных обозначений
Разработан: ВНИИНМАШ
ВНИМИ
МГИ
Утверждён:24.01.1979 Госстандарт СССР (USSR Gosstandart 185)
Издан: Издательство стандартов (1975 г. )
ИПК Издательство стандартов (2003 г. )
Расположен в:Техническая документация Электроэнергия ГОРНОЕ ДЕЛО И ПОЛЕЗНЫЕ ИСКОПАЕМЫЕ Горное дело и открытые горные работы ОБЩИЕ ПОЛОЖЕНИЯ. ТЕРМИНОЛОГИЯ. СТАНДАРТИЗАЦИЯ. ДОКУМЕНТАЦИЯ Графические обозначения Графические обозначения для машиностроительных и строительных чертежей, диаграмм, планов, карт и соответствующей технической документации на продукцию Экология ГОРНОЕ ДЕЛО И ПОЛЕЗНЫЕ ИСКОПАЕМЫЕ Горное дело и открытые горные работы ОБЩИЕ ПОЛОЖЕНИЯ. ТЕРМИНОЛОГИЯ. СТАНДАРТИЗАЦИЯ. ДОКУМЕНТАЦИЯ Графические обозначения Графические обозначения для машиностроительных и строительных чертежей, диаграмм, планов, карт и соответствующей технической документации на продукцию
Нормативные ссылки:
ГОСТ 2.856-75ГОСТ 2.856-75ГОСТ 2.856-75ГОСТ 2.856-75ГОСТ 2.856-75ГОСТ 2.856-75ГОСТ 2.856-75ГОСТ 2.856-75ГОСТ 2.856-75ГОСТ 2.856-75ГОСТ 2.856-75ГОСТ 2.856-75ГОСТ 2.856-75ГОСТ 2.856-75ГОСТ 2.856-75ГОСТ 2.856-75ГОСТ 2.856-75ГОСТ 2.856-75ГОСТ 2.856-75ГОСТ 2.856-75ГОСТ 2.856-75ГОСТ 2.856-75ГОСТ 2.856-75ГОСТ 2.856-75ГОСТ 2.856-75ГОСТ 2.856-75ГОСТ 2.856-75ГОСТ 2.856-75ГОСТ 2.856-75ГОСТ 2.856-75ГОСТ 2.856-75ГОСТ 2.856-75ГОСТ 2.856-75ГОСТ 2.856-75ГОСТ 2.856-75ГОСТ 2.856-75ГОСТ 2.856-75ГОСТ 2.856-75ГОСТ 2.856-75ГОСТ 2.856-75ГОСТ 2.856-75ГОСТ 2.856-75ГОСТ 2.856-75ГОСТ 2.856-75ГОСТ 2.856-75ГОСТ 2.856-75

© 2013 Ёшкин Кот :-) Карта сайта