Информационная система
«Ёшкин Кот»

Скачать базу одним архивом
Скачать обновления
История создания базы
Карта сайта

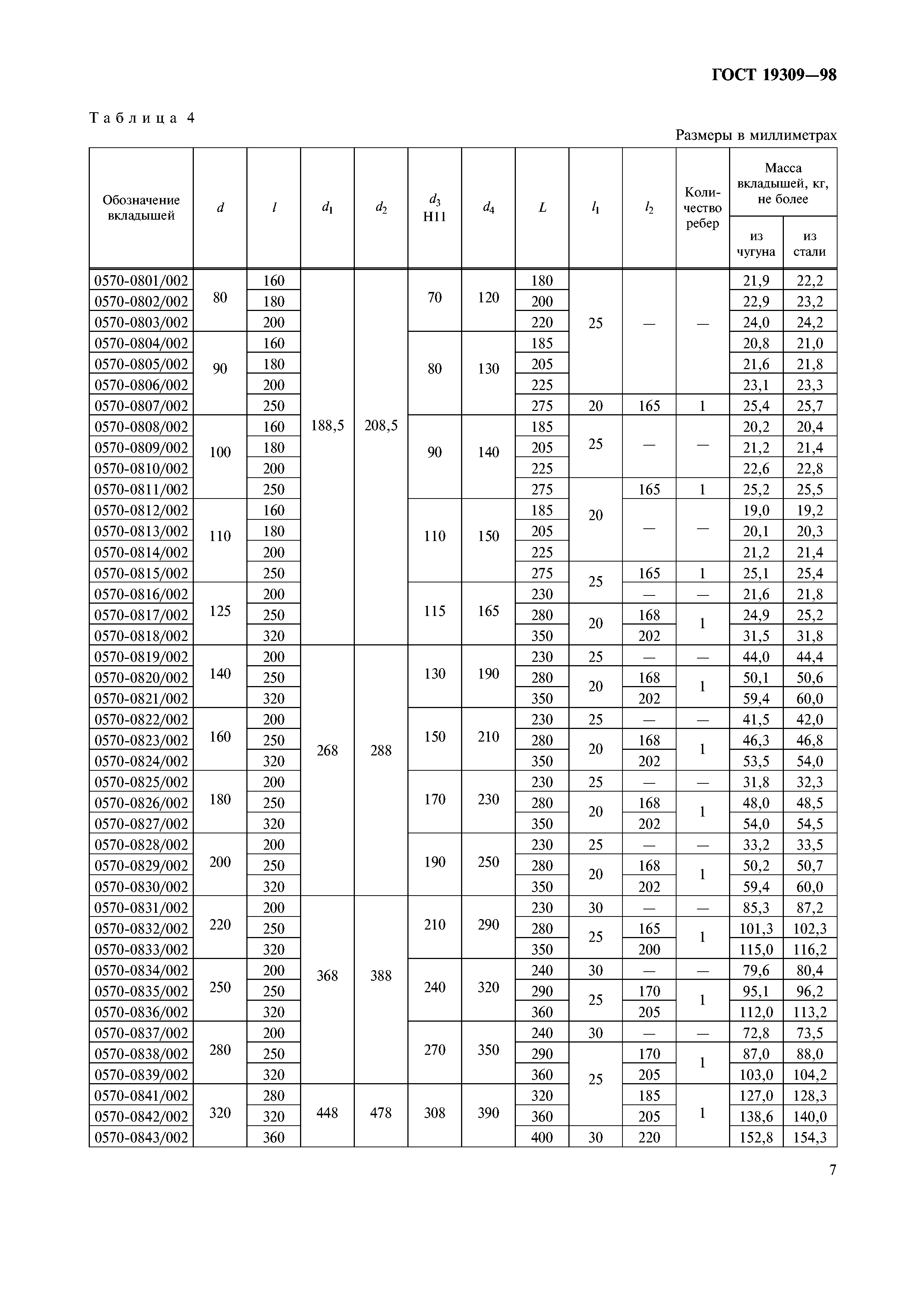
Скачать ГОСТ 19309-98 Изложницы центробежные с фланцем, вкладышами и центробежными замками. Конструкция и размеры

Дата актуализации: 10.08.2017

ГОСТ 19309-98

Изложницы центробежные с фланцем, вкладышами и центробежными замками. Конструкция и размеры

Обозначение: ГОСТ 19309-98
Обозначение англ: GOST 19309-98
Статус:действует
Название рус.:Изложницы центробежные с фланцем, вкладышами и центробежными замками. Конструкция и размеры
Название англ.:Centrifugal moulds with flange, inserts and centrifugal locks. Construction and dimensions
Дата добавления в базу:01.09.2013
Дата актуализации:05.05.2017
Дата введения:01.01.1998
Область применения:Стандарт распространяется на центробежные изложницы с фланцем, вкладышами и центробежными замками для однопозиционных машин центробежного литья консольного типа с горизонтальной осью вращения, предназначенные для изготовления втулок из стали, чугуна и цветных сплавов.
Оглавление:1 Область применения
2 Нормативные ссылки
3 Конструкция и размеры
Разработан: МТК 252 Литейное производство
Утверждён:23.07.1999 Госстандарт России (Russian Federation Gosstandart 210-ст)
Издан: ИПК Издательство стандартов (1999 г. )
Расположен в:Техническая документация Электроэнергия МАШИНОСТРОЕНИЕ Оборудование для бесстружечной обработки Оборудование для литья Экология МАШИНОСТРОЕНИЕ Оборудование для бесстружечной обработки Оборудование для литья
Заменяет собой:
Нормативные ссылки:
ГОСТ 19309-98ГОСТ 19309-98ГОСТ 19309-98ГОСТ 19309-98ГОСТ 19309-98ГОСТ 19309-98ГОСТ 19309-98ГОСТ 19309-98ГОСТ 19309-98ГОСТ 19309-98ГОСТ 19309-98ГОСТ 19309-98

© 2013 Ёшкин Кот :-) Карта сайта