Информационная система
«Ёшкин Кот»

Скачать базу одним архивом
Скачать обновления
История создания базы
Карта сайта

Скачать ГОСТ 18793-80 Пружины сжатия. Конструкция и размеры

Дата актуализации: 10.08.2017

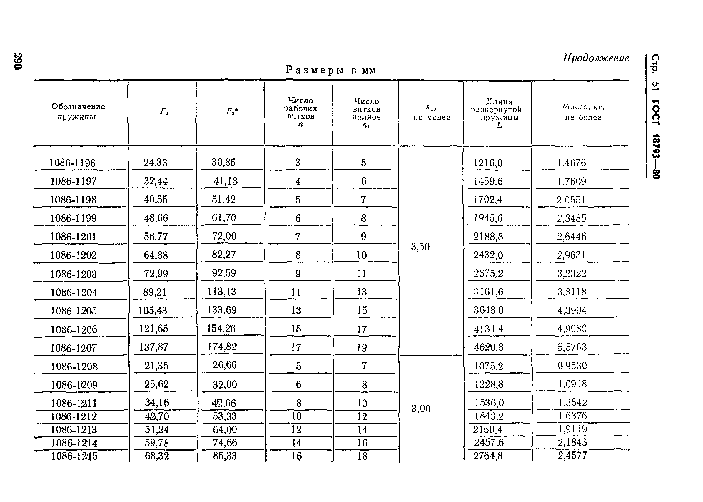
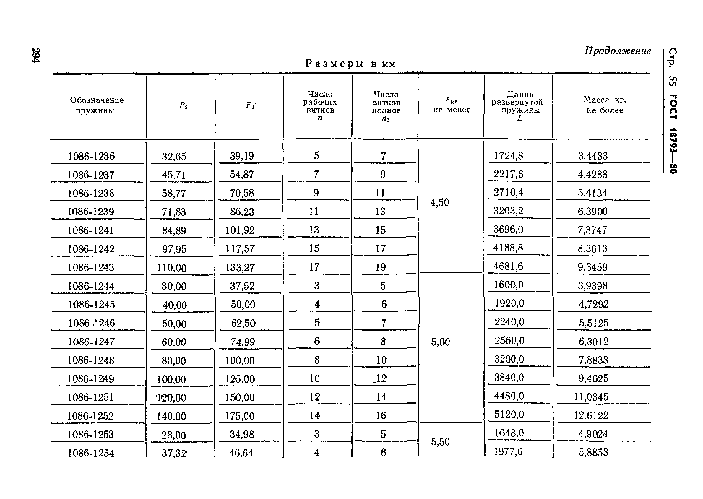
ГОСТ 18793-80

Пружины сжатия. Конструкция и размеры

Обозначение: ГОСТ 18793-80
Обозначение англ: GOST 18793-80
Статус:взамен
Название рус.:Пружины сжатия. Конструкция и размеры
Название англ.:Compression springs. Design and dimensions
Дата добавления в базу:01.09.2013
Дата актуализации:05.05.2017
Дата введения:01.01.1982
Область применения:Стандарт распространяется на штампы листовой штамповки и устанавливает конструкцию и размеры пружин сжатия.
Оглавление:Приложение 1 (рекомендуемое) Пример применения пружин сжатия, штырей для пружин и рекомендуемые диаметры отверстий под пружины сжатия
Приложение 2 (справочное) Графики усилий пружин сжатия в зависимости от их нагружения (в кгс)
Утверждён:31.12.1980 Государственный комитет СССР по стандартам (USSR National Committee on Standards 6295)
Издан: Издательство стандартов (1987 г. )
Расположен в:Техническая документация Электроэнергия МАШИНОСТРОЕНИЕ Оборудование для бесстружечной обработки Ковочное оборудование. Прессы. Ножницы Экология МАШИНОСТРОЕНИЕ Оборудование для бесстружечной обработки Ковочное оборудование. Прессы. Ножницы
Заменяет собой:
Нормативные ссылки:
ГОСТ 18793-80ГОСТ 18793-80ГОСТ 18793-80ГОСТ 18793-80ГОСТ 18793-80ГОСТ 18793-80ГОСТ 18793-80ГОСТ 18793-80ГОСТ 18793-80ГОСТ 18793-80ГОСТ 18793-80ГОСТ 18793-80ГОСТ 18793-80ГОСТ 18793-80ГОСТ 18793-80ГОСТ 18793-80ГОСТ 18793-80ГОСТ 18793-80ГОСТ 18793-80ГОСТ 18793-80ГОСТ 18793-80ГОСТ 18793-80ГОСТ 18793-80ГОСТ 18793-80ГОСТ 18793-80ГОСТ 18793-80ГОСТ 18793-80ГОСТ 18793-80ГОСТ 18793-80ГОСТ 18793-80ГОСТ 18793-80ГОСТ 18793-80ГОСТ 18793-80ГОСТ 18793-80ГОСТ 18793-80ГОСТ 18793-80ГОСТ 18793-80ГОСТ 18793-80ГОСТ 18793-80ГОСТ 18793-80ГОСТ 18793-80ГОСТ 18793-80ГОСТ 18793-80ГОСТ 18793-80ГОСТ 18793-80ГОСТ 18793-80ГОСТ 18793-80ГОСТ 18793-80ГОСТ 18793-80ГОСТ 18793-80ГОСТ 18793-80ГОСТ 18793-80ГОСТ 18793-80ГОСТ 18793-80ГОСТ 18793-80ГОСТ 18793-80ГОСТ 18793-80ГОСТ 18793-80ГОСТ 18793-80ГОСТ 18793-80ГОСТ 18793-80ГОСТ 18793-80ГОСТ 18793-80ГОСТ 18793-80ГОСТ 18793-80ГОСТ 18793-80ГОСТ 18793-80ГОСТ 18793-80ГОСТ 18793-80ГОСТ 18793-80ГОСТ 18793-80ГОСТ 18793-80ГОСТ 18793-80ГОСТ 18793-80ГОСТ 18793-80ГОСТ 18793-80ГОСТ 18793-80ГОСТ 18793-80ГОСТ 18793-80

© 2013 Ёшкин Кот :-) Карта сайта