Информационная система
«Ёшкин Кот»

Скачать базу одним архивом
Скачать обновления
История создания базы
Карта сайта

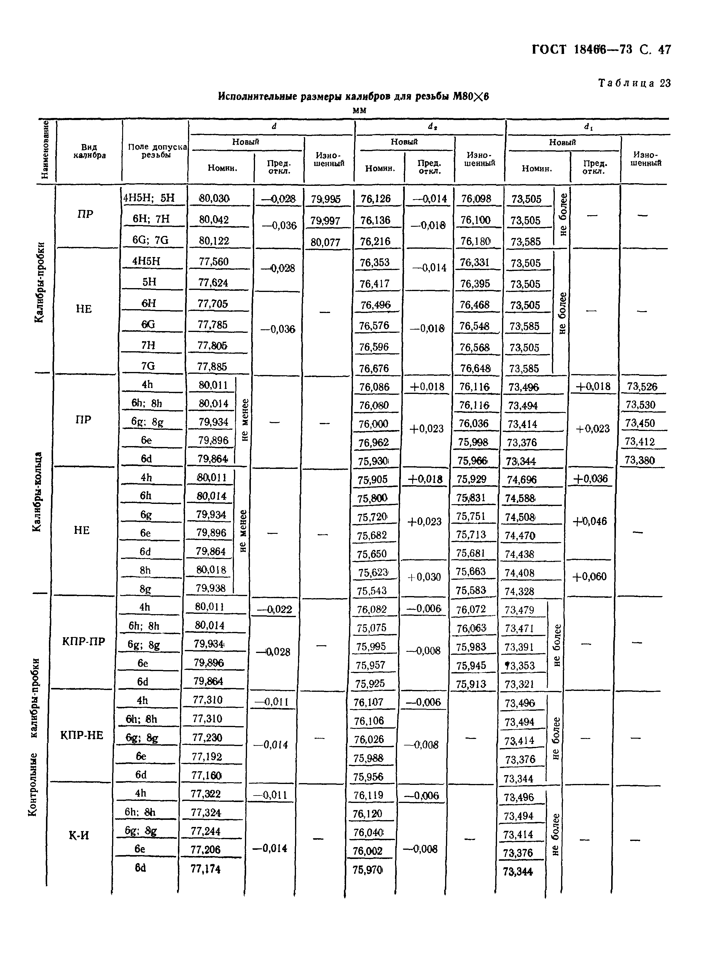
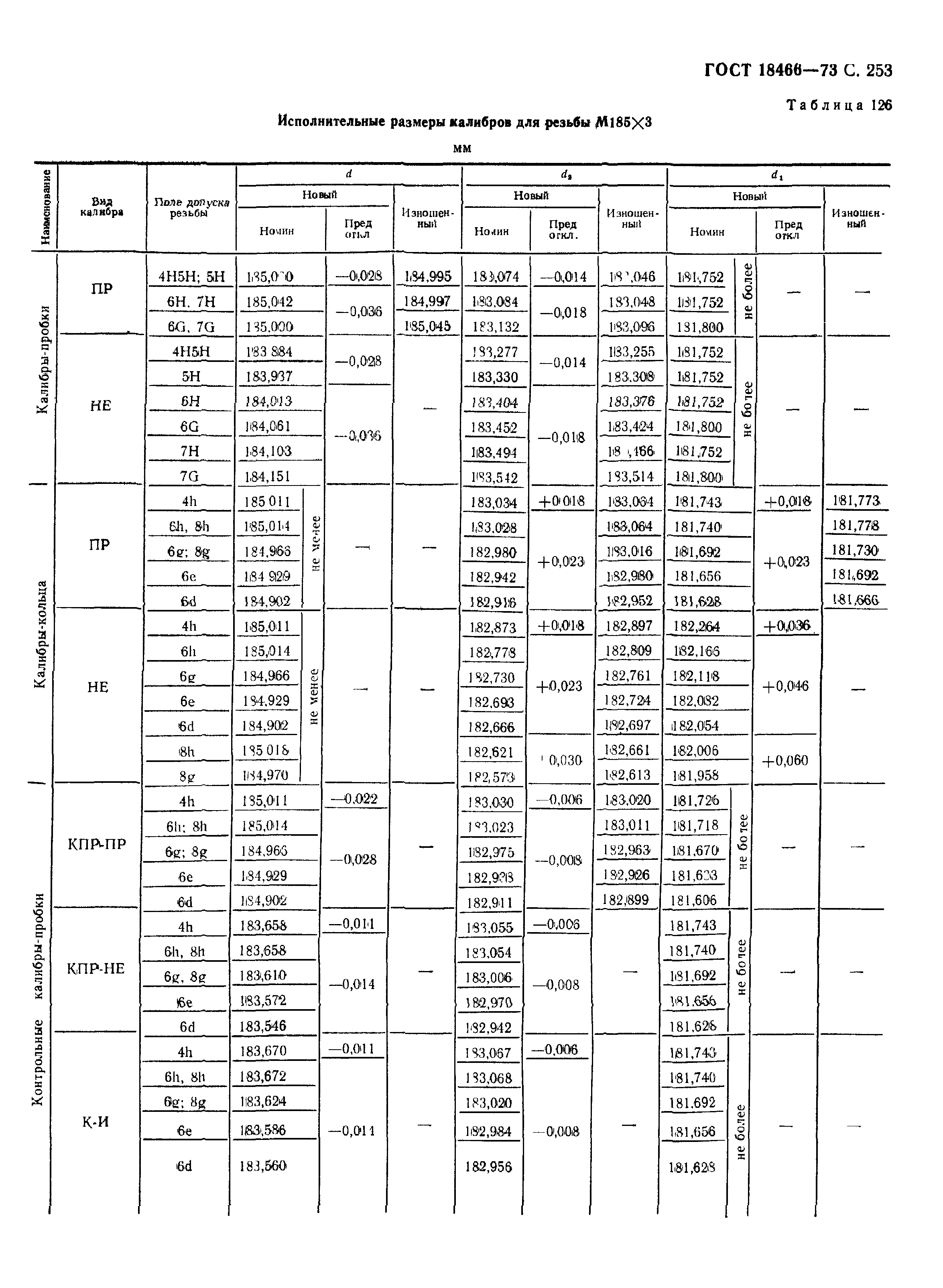
Скачать ГОСТ 18466-73 Калибры для метрической резьбы св. 68 до 200 мм. Исполнительные размеры

Дата актуализации: 10.08.2017

ГОСТ 18466-73

Калибры для метрической резьбы св. 68 до 200 мм. Исполнительные размеры

Обозначение: ГОСТ 18466-73
Обозначение англ: GOST 18466-73
Статус:взамен
Название рус.:Калибры для метрической резьбы св. 68 до 200 мм. Исполнительные размеры
Название англ.:Gauges for metric thread over 68 to 200 mm. Required dimensions
Дата добавления в базу:01.09.2013
Дата актуализации:05.05.2017
Дата введения:01.07.1973
Область применения:Стандарт распространяется на резьбовые калибры для метрической резьбы.
Разработан: Министерство станкостроительной и инструментальной промышленности СССР
Утверждён:27.02.1973 Государственный комитет стандартов Совета Министров СССР (USSR National Committee on Standards at the Cabinet of Ministers 469)
Издан: Издательство стандартов (1973 г. )
Издательство стандартов (1991 г. )
Расположен в:Техническая документация Электроэнергия МЕТРОЛОГИЯ И ИЗМЕРЕНИЯ. ФИЗИЧЕСКИЕ ЯВЛЕНИЯ Линейные и угловые измерения Измерительные приборы Экология МЕТРОЛОГИЯ И ИЗМЕРЕНИЯ. ФИЗИЧЕСКИЕ ЯВЛЕНИЯ Линейные и угловые измерения Измерительные приборы
Список изменений:
Заменяет собой:
  • МН 3916-62
  • МН 5357-64
Нормативные ссылки:
ГОСТ 18466-73ГОСТ 18466-73ГОСТ 18466-73ГОСТ 18466-73ГОСТ 18466-73ГОСТ 18466-73ГОСТ 18466-73ГОСТ 18466-73ГОСТ 18466-73ГОСТ 18466-73ГОСТ 18466-73ГОСТ 18466-73ГОСТ 18466-73ГОСТ 18466-73ГОСТ 18466-73ГОСТ 18466-73ГОСТ 18466-73ГОСТ 18466-73ГОСТ 18466-73ГОСТ 18466-73ГОСТ 18466-73ГОСТ 18466-73ГОСТ 18466-73ГОСТ 18466-73ГОСТ 18466-73ГОСТ 18466-73ГОСТ 18466-73ГОСТ 18466-73ГОСТ 18466-73ГОСТ 18466-73ГОСТ 18466-73ГОСТ 18466-73ГОСТ 18466-73ГОСТ 18466-73ГОСТ 18466-73ГОСТ 18466-73ГОСТ 18466-73ГОСТ 18466-73ГОСТ 18466-73ГОСТ 18466-73ГОСТ 18466-73ГОСТ 18466-73ГОСТ 18466-73ГОСТ 18466-73ГОСТ 18466-73ГОСТ 18466-73ГОСТ 18466-73ГОСТ 18466-73ГОСТ 18466-73ГОСТ 18466-73ГОСТ 18466-73ГОСТ 18466-73ГОСТ 18466-73ГОСТ 18466-73ГОСТ 18466-73ГОСТ 18466-73ГОСТ 18466-73ГОСТ 18466-73ГОСТ 18466-73ГОСТ 18466-73ГОСТ 18466-73ГОСТ 18466-73ГОСТ 18466-73ГОСТ 18466-73ГОСТ 18466-73ГОСТ 18466-73ГОСТ 18466-73ГОСТ 18466-73ГОСТ 18466-73ГОСТ 18466-73ГОСТ 18466-73ГОСТ 18466-73ГОСТ 18466-73ГОСТ 18466-73ГОСТ 18466-73ГОСТ 18466-73ГОСТ 18466-73ГОСТ 18466-73ГОСТ 18466-73ГОСТ 18466-73ГОСТ 18466-73ГОСТ 18466-73ГОСТ 18466-73ГОСТ 18466-73ГОСТ 18466-73ГОСТ 18466-73ГОСТ 18466-73ГОСТ 18466-73ГОСТ 18466-73ГОСТ 18466-73ГОСТ 18466-73ГОСТ 18466-73ГОСТ 18466-73ГОСТ 18466-73ГОСТ 18466-73ГОСТ 18466-73ГОСТ 18466-73ГОСТ 18466-73ГОСТ 18466-73ГОСТ 18466-73ГОСТ 18466-73ГОСТ 18466-73ГОСТ 18466-73ГОСТ 18466-73ГОСТ 18466-73ГОСТ 18466-73ГОСТ 18466-73ГОСТ 18466-73ГОСТ 18466-73ГОСТ 18466-73ГОСТ 18466-73ГОСТ 18466-73ГОСТ 18466-73ГОСТ 18466-73ГОСТ 18466-73ГОСТ 18466-73ГОСТ 18466-73ГОСТ 18466-73ГОСТ 18466-73ГОСТ 18466-73ГОСТ 18466-73ГОСТ 18466-73ГОСТ 18466-73ГОСТ 18466-73ГОСТ 18466-73ГОСТ 18466-73ГОСТ 18466-73ГОСТ 18466-73ГОСТ 18466-73ГОСТ 18466-73ГОСТ 18466-73ГОСТ 18466-73ГОСТ 18466-73ГОСТ 18466-73ГОСТ 18466-73ГОСТ 18466-73ГОСТ 18466-73ГОСТ 18466-73ГОСТ 18466-73ГОСТ 18466-73ГОСТ 18466-73ГОСТ 18466-73ГОСТ 18466-73ГОСТ 18466-73ГОСТ 18466-73ГОСТ 18466-73ГОСТ 18466-73ГОСТ 18466-73ГОСТ 18466-73ГОСТ 18466-73ГОСТ 18466-73ГОСТ 18466-73ГОСТ 18466-73ГОСТ 18466-73ГОСТ 18466-73ГОСТ 18466-73ГОСТ 18466-73ГОСТ 18466-73ГОСТ 18466-73ГОСТ 18466-73ГОСТ 18466-73ГОСТ 18466-73ГОСТ 18466-73ГОСТ 18466-73ГОСТ 18466-73ГОСТ 18466-73ГОСТ 18466-73ГОСТ 18466-73ГОСТ 18466-73ГОСТ 18466-73ГОСТ 18466-73ГОСТ 18466-73ГОСТ 18466-73ГОСТ 18466-73ГОСТ 18466-73ГОСТ 18466-73ГОСТ 18466-73ГОСТ 18466-73ГОСТ 18466-73ГОСТ 18466-73ГОСТ 18466-73ГОСТ 18466-73ГОСТ 18466-73ГОСТ 18466-73ГОСТ 18466-73ГОСТ 18466-73ГОСТ 18466-73ГОСТ 18466-73ГОСТ 18466-73ГОСТ 18466-73ГОСТ 18466-73ГОСТ 18466-73ГОСТ 18466-73ГОСТ 18466-73ГОСТ 18466-73ГОСТ 18466-73ГОСТ 18466-73ГОСТ 18466-73ГОСТ 18466-73ГОСТ 18466-73ГОСТ 18466-73ГОСТ 18466-73ГОСТ 18466-73ГОСТ 18466-73ГОСТ 18466-73ГОСТ 18466-73ГОСТ 18466-73ГОСТ 18466-73ГОСТ 18466-73ГОСТ 18466-73ГОСТ 18466-73ГОСТ 18466-73ГОСТ 18466-73ГОСТ 18466-73ГОСТ 18466-73ГОСТ 18466-73ГОСТ 18466-73ГОСТ 18466-73ГОСТ 18466-73ГОСТ 18466-73ГОСТ 18466-73ГОСТ 18466-73ГОСТ 18466-73ГОСТ 18466-73ГОСТ 18466-73ГОСТ 18466-73ГОСТ 18466-73ГОСТ 18466-73ГОСТ 18466-73ГОСТ 18466-73ГОСТ 18466-73ГОСТ 18466-73ГОСТ 18466-73ГОСТ 18466-73ГОСТ 18466-73ГОСТ 18466-73ГОСТ 18466-73ГОСТ 18466-73ГОСТ 18466-73ГОСТ 18466-73ГОСТ 18466-73ГОСТ 18466-73ГОСТ 18466-73ГОСТ 18466-73ГОСТ 18466-73ГОСТ 18466-73ГОСТ 18466-73ГОСТ 18466-73ГОСТ 18466-73ГОСТ 18466-73ГОСТ 18466-73ГОСТ 18466-73ГОСТ 18466-73ГОСТ 18466-73ГОСТ 18466-73ГОСТ 18466-73ГОСТ 18466-73ГОСТ 18466-73ГОСТ 18466-73ГОСТ 18466-73ГОСТ 18466-73ГОСТ 18466-73ГОСТ 18466-73ГОСТ 18466-73ГОСТ 18466-73ГОСТ 18466-73ГОСТ 18466-73ГОСТ 18466-73ГОСТ 18466-73ГОСТ 18466-73ГОСТ 18466-73ГОСТ 18466-73ГОСТ 18466-73ГОСТ 18466-73ГОСТ 18466-73ГОСТ 18466-73ГОСТ 18466-73ГОСТ 18466-73ГОСТ 18466-73ГОСТ 18466-73ГОСТ 18466-73ГОСТ 18466-73ГОСТ 18466-73ГОСТ 18466-73ГОСТ 18466-73ГОСТ 18466-73ГОСТ 18466-73ГОСТ 18466-73ГОСТ 18466-73ГОСТ 18466-73ГОСТ 18466-73ГОСТ 18466-73ГОСТ 18466-73ГОСТ 18466-73ГОСТ 18466-73ГОСТ 18466-73ГОСТ 18466-73ГОСТ 18466-73ГОСТ 18466-73ГОСТ 18466-73ГОСТ 18466-73ГОСТ 18466-73ГОСТ 18466-73ГОСТ 18466-73ГОСТ 18466-73ГОСТ 18466-73ГОСТ 18466-73ГОСТ 18466-73ГОСТ 18466-73ГОСТ 18466-73ГОСТ 18466-73ГОСТ 18466-73ГОСТ 18466-73ГОСТ 18466-73ГОСТ 18466-73ГОСТ 18466-73ГОСТ 18466-73ГОСТ 18466-73ГОСТ 18466-73ГОСТ 18466-73ГОСТ 18466-73ГОСТ 18466-73ГОСТ 18466-73ГОСТ 18466-73ГОСТ 18466-73ГОСТ 18466-73ГОСТ 18466-73ГОСТ 18466-73ГОСТ 18466-73ГОСТ 18466-73ГОСТ 18466-73ГОСТ 18466-73ГОСТ 18466-73ГОСТ 18466-73ГОСТ 18466-73

Текстовое изменение Поправка от 01.02.2004

ПоправкаПоправкаПоправкаПоправкаПоправка

© 2013 Ёшкин Кот :-) Карта сайта