Информационная система
«Ёшкин Кот»

Скачать базу одним архивом
Скачать обновления
История создания базы
Карта сайта

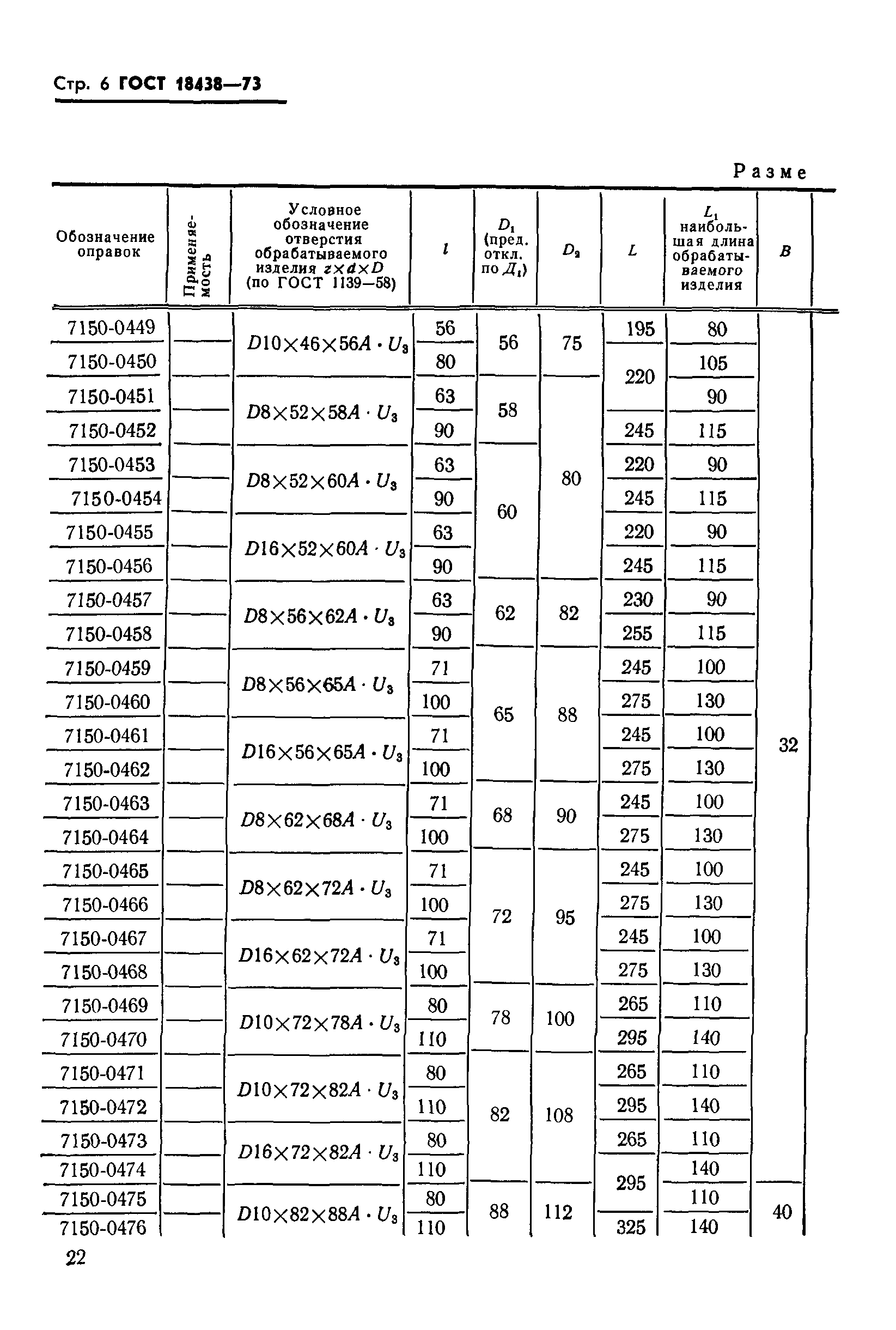
Скачать ГОСТ 18438-73 Оправки зубчатые (шлицевые) прямобочные центровые. Конструкция и размеры

Дата актуализации: 10.08.2017

ГОСТ 18438-73

Оправки зубчатые (шлицевые) прямобочные центровые. Конструкция и размеры

Обозначение: ГОСТ 18438-73
Обозначение англ: GOST 18438-73
Статус:действует
Название рус.:Оправки зубчатые (шлицевые) прямобочные центровые. Конструкция и размеры
Название англ.:Notched straight-side center arbors. Design and dimensions
Дата добавления в базу:01.09.2013
Дата актуализации:05.05.2017
Дата введения:01.07.1974
Оглавление:1 Конструкция и размеры оправок
2 Конструкция и размеры корпуса (деталь 1)
3 Конструкция и размеры быстросъемной шайбы (деталь 2)
Приложение к ГОСТ 18438-73 Пример применения центровых зубчатых оправок для обработки изделий с длиной посадочного места менее размера l
Утверждён:16.02.1973 Госстандарт СССР (USSR Gosstandart 390)
Расположен в:Техническая документация Электроэнергия МАШИНОСТРОЕНИЕ Станочные системы Делительные головки и зажимные приспособления для обрабатываемых деталей и инструментов Экология МАШИНОСТРОЕНИЕ Станочные системы Делительные головки и зажимные приспособления для обрабатываемых деталей и инструментов
Заменяет собой:
  • МН 3623-62 (в части оправок исполнения I)
ГОСТ 18438-73ГОСТ 18438-73ГОСТ 18438-73ГОСТ 18438-73ГОСТ 18438-73ГОСТ 18438-73ГОСТ 18438-73ГОСТ 18438-73ГОСТ 18438-73ГОСТ 18438-73ГОСТ 18438-73ГОСТ 18438-73ГОСТ 18438-73ГОСТ 18438-73ГОСТ 18438-73ГОСТ 18438-73ГОСТ 18438-73ГОСТ 18438-73ГОСТ 18438-73ГОСТ 18438-73ГОСТ 18438-73ГОСТ 18438-73ГОСТ 18438-73ГОСТ 18438-73

© 2013 Ёшкин Кот :-) Карта сайта