Скачать ГОСТ Р 50864-96 Резьба коническая замковая для элементов бурильных колонн. Профиль, размеры, технические требованияДата актуализации: 10.08.2017 ГОСТ Р 50864-96
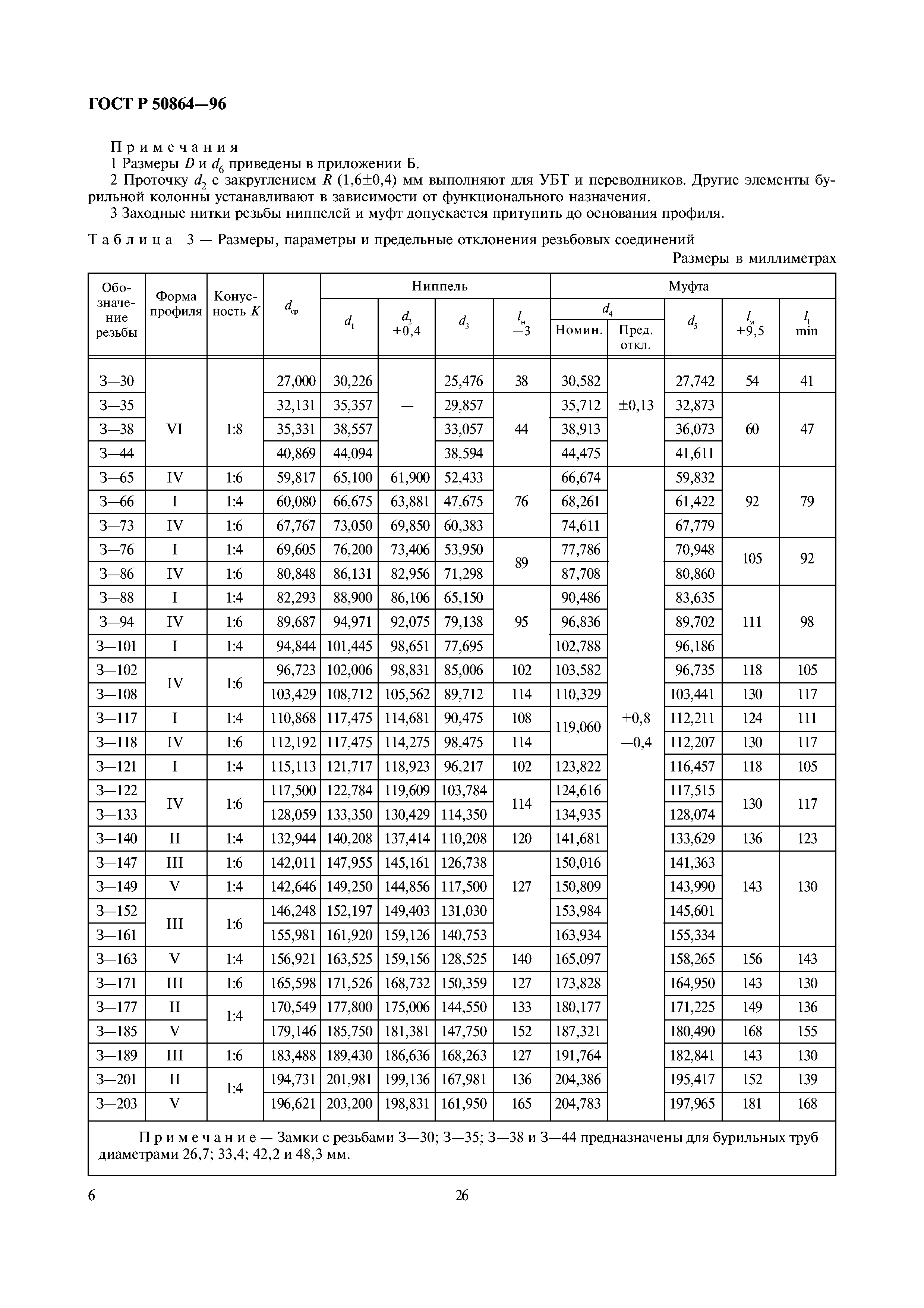
Резьба коническая замковая для элементов бурильных колонн. Профиль, размеры, технические требованияОбозначение: | ГОСТ Р 50864-96 | Обозначение англ: | GOST R 50864-96 | Статус: | действует | Название рус.: | Резьба коническая замковая для элементов бурильных колонн. Профиль, размеры, технические требования | Название англ.: | Tool-joint tapered thread for drill string elements. Profile, dimensions, technical requirements | Дата добавления в базу: | 01.09.2013 | Дата актуализации: | 05.05.2017 | Дата введения: | 01.01.1997 | Область применения: | Стандарт распространяется на наружную и внутреннюю коническую замковую резьбу, применяемую в соединениях элементов бурильной колонны: замков (для бурильных труб), ведущих бурильных труб, переводников различного назначения, утяжеленных бурильных труб, погружных забойных двигателях, шарошечных и лопастных долот, алмазных долот и коронок. | Оглавление: | 1 Область применения 2 Нормативные ссылки 3 Определения и обозначения 4 Профиль, размеры, технические требования 5 Правила приемки 6 Методы контроля 7 Транспортирование и хранение 8 Указания по эксплуатации Приложение А (справочное) Соответствие обозначений резьбы по настоящему стандарту требованиям стандарта API 7 (США) Приложение Б (рекомендуемое) Размеры наружных диаметров и упорной поверхности элементов бурильной колонны Приложение В (рекомендуемое) Размеры разгрузочных канавок для утяжеленных бурильных труб (УБТ) Приложение Г (рекомендуемое) Механические свойства металла элементов бурильной колонны после термической обработки | Разработан: | ТК 242 Допуски и средства контроля
| Утверждён: | 05.03.1996 Госстандарт России (Russian Federation Gosstandart 150)
| Издан: | ИПК Издательство стандартов (1996 г. )
| Расположен в: |
| Нормативные ссылки: | |
             
|