Информационная система
«Ёшкин Кот»

Скачать базу одним архивом
Скачать обновления
История создания базы
Карта сайта

Скачать ГОСТ 18599-2001 Трубы напорные из полиэтилена. Технические условия

Дата актуализации: 10.08.2017

ГОСТ 18599-2001

Трубы напорные из полиэтилена. Технические условия

Обозначение: ГОСТ 18599-2001
Обозначение англ: GOST 18599-2001
Статус:с правом досрочного применения
Название рус.:Трубы напорные из полиэтилена. Технические условия
Название англ.:Polyethylene pressure pipes. Specifications
Дата добавления в базу:01.09.2013
Дата актуализации:05.05.2017
Дата введения:01.01.2003
Область применения:Cтандарт распространяется на напорные трубы из полиэтилена, предназначенные для трубопроводов, транспортирующих воду, в том числе для хозяйственно-питьевого водоснабжения, при рабочей температуре от 0 °С до 40 °С (стандартная температура 20 °С) и номинальном давлении до 2,5 МПа (25 бар), а также другие жидкие и газообразные вещества. Стандарт не распространяется на трубы для проведения электромонтажных работ и транспортирования горючих газов, предназначенных в качестве сырья и топлива для промышленного и коммунально-бытового использования.
Оглавление:1 Область применения
2 Нормативные ссылки
3 Термины и определения
4 Основные параметры и размеры
5 Технические требования
6 Требования безопасности
7 Правила приемки
8 Методы испытаний
9 Транспортирование и хранение
10 Гарантии изготовителя
Приложение А Рекомендации по выбору труб для транспортирования различных сред
Приложение Б Расчетная масса 1 м труб
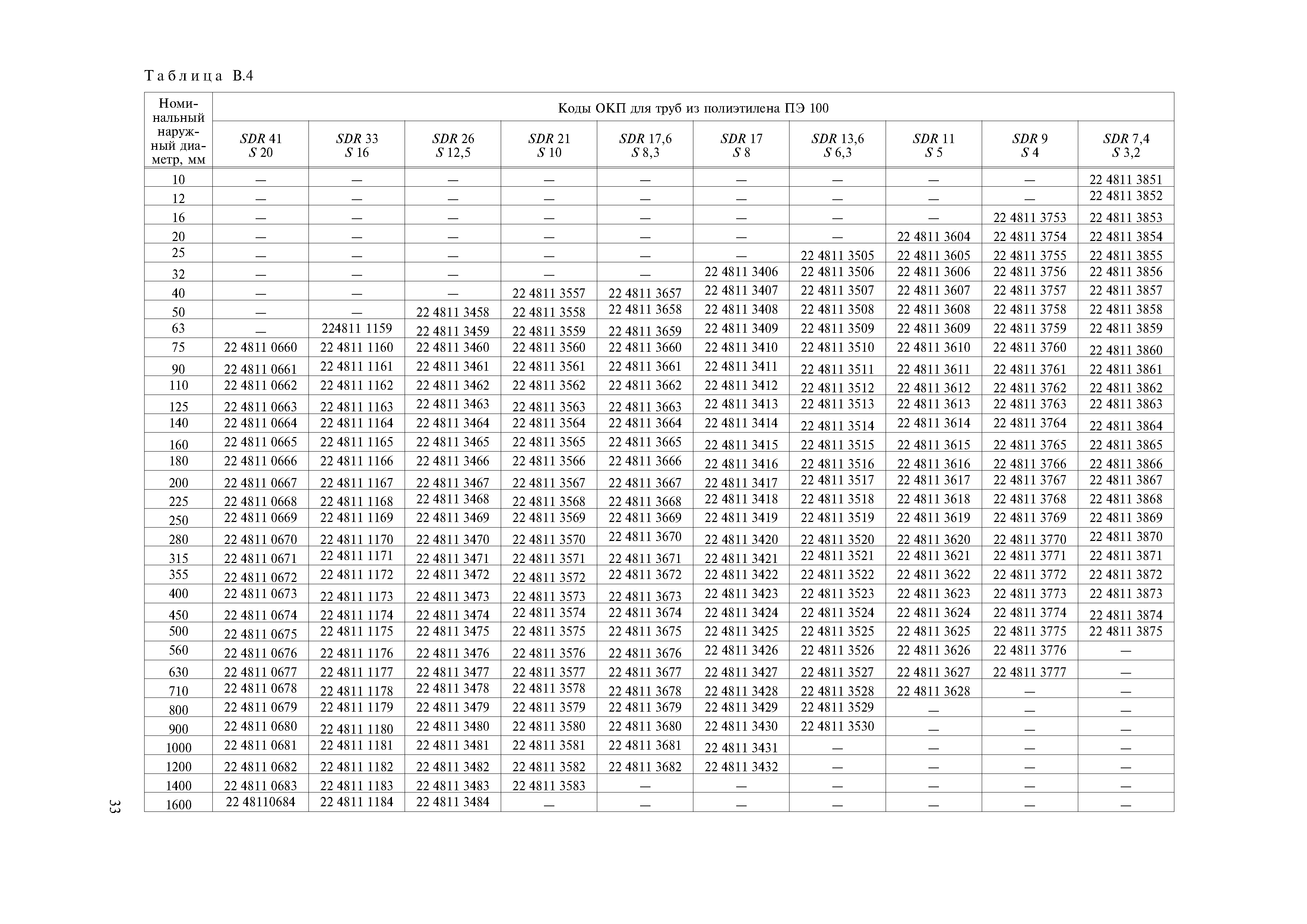
Приложение В Многослойные трубы
Приложение Г Характеристики композиций полиэтилена для изготовления труб и маркировочных полос
Приложение Д (Исключено, Изм. № 2)
Приложение Е Порядок оформления и утверждения контрольных образцов внешнего вида
Приложение Ж Определение термостабильности
Приложение И Определение атмосферостойкости
Приложение К Стойкость к осевому растяжению сварного стыкового соединения
Разработан: МТК 241 Пленки, трубы, фитинги, листы и другие изделия из пластмасс
Утверждён:27.03.2002 Госстандарт России (Russian Federation Gosstandart 112-ст)
01.11.2001 Межгосударственный Совет по стандартизации, метрологии и сертификации (Inter-Governmental Council on Standardization, Metrology, and Certification 20)
Издан: ИПК Издательство стандартов (2002 г. )
ИПК Издательство стандартов (2003 г. )
Расположен в:Техническая документация Электроэнергия РЕЗИНОВАЯ, РЕЗИНОТЕХНИЧЕСКАЯ, АСБЕСТОТЕХНИЧЕСКАЯ И ПЛАСТМАССОВАЯ ПРОМЫШЛЕННОСТЬ Резиновые и пластмассовые изделия Пластмассовые трубы, фитинги не для жидкостей ГИДРАВЛИЧЕСКИЕ И ПНЕВМАТИЧЕСКИЕ СИСТЕМЫ И КОМПОНЕНТЫ ОБЩЕГО НАЗНАЧЕНИЯ Трубопроводы и их компоненты Пластмассовые трубы Экология РЕЗИНОВАЯ, РЕЗИНОТЕХНИЧЕСКАЯ, АСБЕСТОТЕХНИЧЕСКАЯ И ПЛАСТМАССОВАЯ ПРОМЫШЛЕННОСТЬ Резиновые и пластмассовые изделия Пластмассовые трубы, фитинги не для жидкостей ГИДРАВЛИЧЕСКИЕ И ПНЕВМАТИЧЕСКИЕ СИСТЕМЫ И КОМПОНЕНТЫ ОБЩЕГО НАЗНАЧЕНИЯ Трубопроводы и их компоненты Пластмассовые трубы Строительство Стандарты Другие государственные стандарты, применяемые в строительстве Резиновая, резинотехническая, асбестотехническая и пластмассовая промышленность Гидравлические и пневматические системы и компоненты общего назначения
Список изменений:
Заменяет собой:
Нормативные ссылки:
ГОСТ 18599-2001ГОСТ 18599-2001ГОСТ 18599-2001ГОСТ 18599-2001ГОСТ 18599-2001ГОСТ 18599-2001ГОСТ 18599-2001ГОСТ 18599-2001ГОСТ 18599-2001ГОСТ 18599-2001ГОСТ 18599-2001ГОСТ 18599-2001ГОСТ 18599-2001ГОСТ 18599-2001ГОСТ 18599-2001ГОСТ 18599-2001ГОСТ 18599-2001ГОСТ 18599-2001ГОСТ 18599-2001ГОСТ 18599-2001ГОСТ 18599-2001ГОСТ 18599-2001ГОСТ 18599-2001ГОСТ 18599-2001ГОСТ 18599-2001ГОСТ 18599-2001ГОСТ 18599-2001ГОСТ 18599-2001ГОСТ 18599-2001ГОСТ 18599-2001ГОСТ 18599-2001ГОСТ 18599-2001ГОСТ 18599-2001ГОСТ 18599-2001ГОСТ 18599-2001ГОСТ 18599-2001ГОСТ 18599-2001ГОСТ 18599-2001ГОСТ 18599-2001ГОСТ 18599-2001ГОСТ 18599-2001ГОСТ 18599-2001ГОСТ 18599-2001ГОСТ 18599-2001ГОСТ 18599-2001ГОСТ 18599-2001ГОСТ 18599-2001ГОСТ 18599-2001ГОСТ 18599-2001ГОСТ 18599-2001ГОСТ 18599-2001ГОСТ 18599-2001ГОСТ 18599-2001ГОСТ 18599-2001ГОСТ 18599-2001ГОСТ 18599-2001ГОСТ 18599-2001ГОСТ 18599-2001ГОСТ 18599-2001ГОСТ 18599-2001ГОСТ 18599-2001ГОСТ 18599-2001ГОСТ 18599-2001ГОСТ 18599-2001ГОСТ 18599-2001ГОСТ 18599-2001ГОСТ 18599-2001ГОСТ 18599-2001ГОСТ 18599-2001ГОСТ 18599-2001ГОСТ 18599-2001ГОСТ 18599-2001ГОСТ 18599-2001ГОСТ 18599-2001ГОСТ 18599-2001ГОСТ 18599-2001

Текстовое изменение № 1 от 01.07.2006

№ 1№ 1№ 1№ 1№ 1№ 1№ 1№ 1№ 1№ 1№ 1№ 1№ 1№ 1№ 1№ 1№ 1№ 1№ 1

© 2013 Ёшкин Кот :-) Карта сайта