| ||||||||||||||||||||||||||||||||||
Скачать ГОСТ Р МЭК 61094-2-2001 Государственная система обеспечения единства измерений. Микрофоны измерительные. Первичный метод градуировки по давлению лабораторных эталонных микрофонов методом взаимностиДата актуализации: 10.08.2017
|
| Обозначение: | ГОСТ Р МЭК 61094-2-2001 |
| Обозначение англ: | GOST R IEC 61094-2-2001 |
| Статус: | заменен |
| Название рус.: | Государственная система обеспечения единства измерений. Микрофоны измерительные. Первичный метод градуировки по давлению лабораторных эталонных микрофонов методом взаимности |
| Название англ.: | State system for ensuring the uniformity of measurements. Measurement microphones. Primary method for pressure calibration of laboratory standard microphones by the reciprocity technique |
| Дата добавления в базу: | 01.09.2013 |
| Дата актуализации: | 05.05.2017 |
| Дата введения: | 01.05.2013 |
| Область применения: | Стандарт распространяется на лабораторные эталонные микрофоны, удовлетворяющие требованиям МЭК 61094-1, и на другие конденсаторные микрофоны, имеющие такие же размеры. |
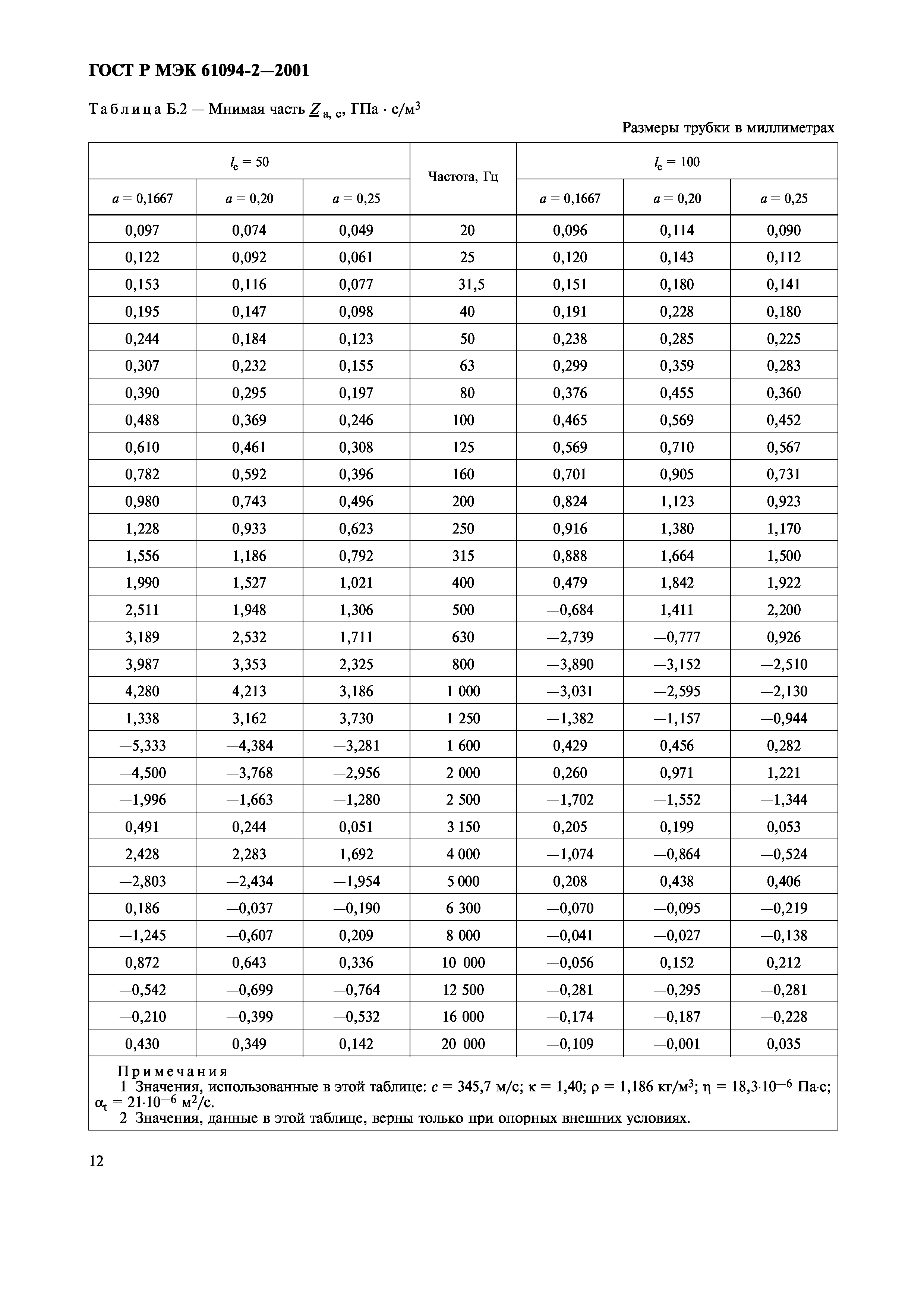
| Оглавление: | 1 Область применения 2 Нормативные ссылки 3 Определения 4 Опорные внешние условия 5 Принципы градуировки по давлению методом взаимности 6 Факторы, влияющие на чувствительность по давлению 7 Составляющие неопределенности градуировки Приложение А Теплопроводность в замкнутой полости Приложение Б Акустический импеданс капиллярной трубки Приложение В Цилиндрические камеры связи, применяемые для градуировки микрофонов Приложение Г Влияние окружающей среды на чувствительность микрофона Приложение Д Методы определения параметров микрофона Приложение Е Физические величины Приложение Ж Библиография |
| Разработан: | ВНИИФТРИ ТК 206 Эталоны и поверочные схемы. |
| Утверждён: | 01.08.2001 Госстандарт России (Russian Federation Gosstandart 311-ст) |
| Издан: | ИПК Издательство стандартов (2001 г. ) |
| Расположен в: | |
| Чем заменён: |






















