Информационная система
«Ёшкин Кот»

Скачать базу одним архивом
Скачать обновления
История создания базы
Карта сайта

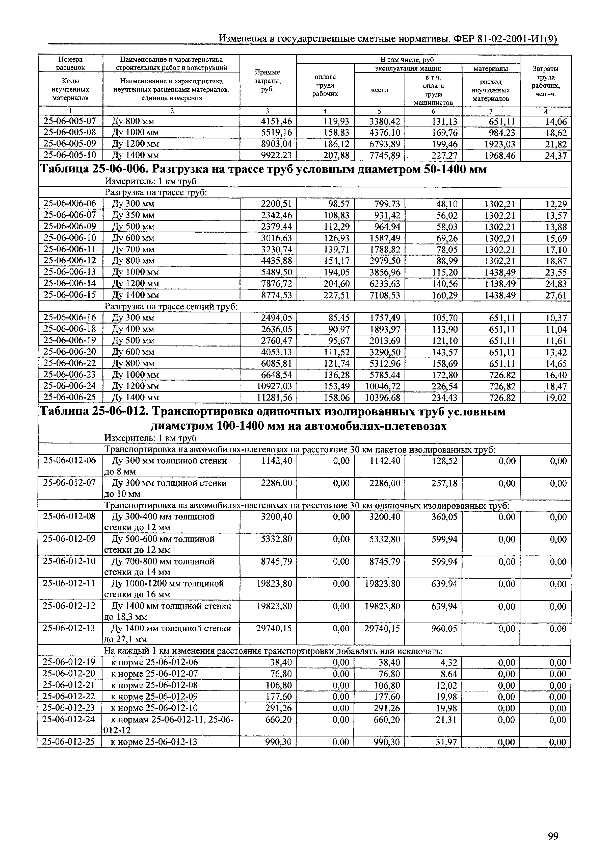
Скачать ФЕР 2001 Федеральные единичные расценки на строительные работы

Дата актуализации: 10.08.2017

ФЕР 2001

Федеральные единичные расценки на строительные работы

Обозначение: ФЕР 2001
Обозначение англ: FER 2001
Статус:действует
Название рус.:Федеральные единичные расценки на строительные работы
Название англ.:Federal Unit Prices for General Construction
Дата добавления в базу:01.09.2013
Дата актуализации:05.05.2017
Дата введения:01.03.2001
Разработан: Федеральный центр ценообразования в строительстве и промышленности строительных материалов
Утверждён:15.11.2004 Минпромэнерго России (148)
Издан: Госстрой России (2001 г. )
Росстрой (2004 г. )
Росстрой (2008 г. )
Расположен в:Техническая документация Экология СТРОИТЕЛЬНЫЕ МАТЕРИАЛЫ И СТРОИТЕЛЬСТВО Строительная промышленность Стоимость строительства и обслуживания зданий и сооружений -50 Стоимость строительных и строительно-монтажных работ Строительство Нормативные документы Документы Системы нормативных документов в строительстве Нормативные документы по экономике к.81 Ценообразование и сметы Классификатор ISO Нормативные документы по экономике Ценообразование и сметы
Список изменений:
Нормативные ссылки:

Скачать ФЕР 2001


Текстовое изменение № от 08.04.2008

№ № № № № № № № № № № № № № № № № № № № № № № № № № № № № № № № № № № № № № № № № № № № № № № № № № № № № № № № № № № № № № № № № № № № № № № № № № № № № № № № № № № № № № № № №

Текстовое изменение № И2 от 03.08.2010

№ И2№ И2№ И2№ И2№ И2№ И2№ И2№ И2№ И2№ И2№ И2№ И2№ И2

Текстовое изменение № И1 от 27.02.2010

№ И1№ И1№ И1№ И1№ И1№ И1№ И1№ И1№ И1№ И1№ И1№ И1№ И1№ И1№ И1№ И1№ И1№ И1№ И1№ И1№ И1№ И1№ И1№ И1№ И1№ И1№ И1№ И1№ И1№ И1№ И1№ И1№ И1№ И1№ И1№ И1№ И1№ И1№ И1№ И1№ И1№ И1№ И1№ И1№ И1№ И1№ И1№ И1№ И1№ И1№ И1№ И1№ И1№ И1№ И1№ И1№ И1№ И1№ И1№ И1№ И1№ И1№ И1№ И1№ И1№ И1№ И1№ И1№ И1№ И1№ И1№ И1№ И1№ И1№ И1№ И1№ И1№ И1№ И1№ И1№ И1№ И1№ И1№ И1№ И1№ И1№ И1№ И1№ И1№ И1№ И1№ И1№ И1№ И1№ И1№ И1№ И1№ И1№ И1№ И1№ И1№ И1№ И1№ И1№ И1№ И1№ И1№ И1№ И1№ И1№ И1№ И1№ И1№ И1№ И1№ И1№ И1№ И1№ И1№ И1№ И1№ И1№ И1№ И1№ И1№ И1№ И1№ И1№ И1№ И1№ И1№ И1№ И1№ И1№ И1№ И1№ И1№ И1№ И1№ И1№ И1№ И1№ И1№ И1№ И1№ И1№ И1№ И1№ И1№ И1№ И1№ И1№ И1№ И1№ И1№ И1№ И1№ И1№ И1№ И1

Текстовое изменение № И3 от 23.11.2010

№ И3№ И3№ И3№ И3№ И3№ И3№ И3№ И3№ И3№ И3№ И3№ И3№ И3№ И3№ И3№ И3№ И3№ И3№ И3№ И3№ И3№ И3№ И3№ И3№ И3№ И3№ И3№ И3

Текстовое изменение № И4 от 13.07.2011

№ И4№ И4№ И4№ И4№ И4№ И4№ И4№ И4№ И4№ И4№ И4№ И4№ И4№ И4№ И4№ И4№ И4№ И4№ И4№ И4№ И4№ И4№ И4№ И4№ И4№ И4№ И4№ И4№ И4№ И4№ И4№ И4№ И4№ И4№ И4№ И4№ И4№ И4№ И4№ И4№ И4№ И4№ И4№ И4№ И4№ И4№ И4№ И4№ И4№ И4№ И4№ И4№ И4№ И4№ И4№ И4№ И4№ И4№ И4№ И4№ И4№ И4№ И4№ И4№ И4№ И4№ И4№ И4№ И4№ И4№ И4№ И4№ И4№ И4№ И4№ И4№ И4№ И4№ И4№ И4№ И4№ И4№ И4№ И4№ И4№ И4№ И4№ И4№ И4№ И4№ И4№ И4№ И4№ И4№ И4№ И4№ И4№ И4№ И4№ И4№ И4№ И4№ И4№ И4№ И4№ И4№ И4№ И4№ И4

Текстовое изменение № И5 от 08.11.2011

№ И5№ И5№ И5№ И5№ И5№ И5№ И5№ И5№ И5№ И5№ И5№ И5№ И5№ И5№ И5№ И5№ И5№ И5№ И5№ И5№ И5№ И5№ И5№ И5№ И5№ И5№ И5№ И5№ И5№ И5№ И5№ И5№ И5№ И5№ И5№ И5№ И5№ И5№ И5№ И5№ И5№ И5№ И5№ И5№ И5№ И5№ И5№ И5№ И5№ И5№ И5№ И5№ И5№ И5№ И5№ И5№ И5№ И5№ И5№ И5№ И5№ И5№ И5№ И5№ И5№ И5№ И5№ И5№ И5№ И5№ И5№ И5№ И5№ И5№ И5№ И5№ И5№ И5№ И5№ И5№ И5№ И5№ И5№ И5

Текстовое изменение № И6 от 29.12.2011

№ И6№ И6№ И6№ И6№ И6№ И6№ И6№ И6№ И6№ И6№ И6№ И6№ И6№ И6№ И6№ И6№ И6№ И6№ И6№ И6№ И6№ И6№ И6№ И6№ И6№ И6№ И6

Текстовое изменение № И7 от 05.05.2012

№ И7№ И7№ И7№ И7№ И7№ И7№ И7№ И7№ И7№ И7№ И7№ И7№ И7№ И7№ И7№ И7№ И7№ И7№ И7№ И7№ И7№ И7№ И7№ И7

Текстовое изменение № И8 от 29.06.2012

№ И8№ И8№ И8№ И8№ И8№ И8№ И8№ И8№ И8№ И8№ И8№ И8№ И8№ И8№ И8№ И8№ И8№ И8№ И8№ И8№ И8№ И8№ И8№ И8№ И8№ И8№ И8№ И8№ И8№ И8№ И8

Текстовое изменение № 81-02-2001-И1(9) от 12.11.2014

№ 81-02-2001-И1(9)№ 81-02-2001-И1(9)№ 81-02-2001-И1(9)№ 81-02-2001-И1(9)№ 81-02-2001-И1(9)№ 81-02-2001-И1(9)№ 81-02-2001-И1(9)№ 81-02-2001-И1(9)№ 81-02-2001-И1(9)№ 81-02-2001-И1(9)№ 81-02-2001-И1(9)№ 81-02-2001-И1(9)№ 81-02-2001-И1(9)№ 81-02-2001-И1(9)№ 81-02-2001-И1(9)№ 81-02-2001-И1(9)№ 81-02-2001-И1(9)№ 81-02-2001-И1(9)№ 81-02-2001-И1(9)№ 81-02-2001-И1(9)№ 81-02-2001-И1(9)№ 81-02-2001-И1(9)№ 81-02-2001-И1(9)№ 81-02-2001-И1(9)№ 81-02-2001-И1(9)№ 81-02-2001-И1(9)№ 81-02-2001-И1(9)№ 81-02-2001-И1(9)№ 81-02-2001-И1(9)№ 81-02-2001-И1(9)№ 81-02-2001-И1(9)№ 81-02-2001-И1(9)№ 81-02-2001-И1(9)№ 81-02-2001-И1(9)№ 81-02-2001-И1(9)№ 81-02-2001-И1(9)№ 81-02-2001-И1(9)№ 81-02-2001-И1(9)№ 81-02-2001-И1(9)№ 81-02-2001-И1(9)№ 81-02-2001-И1(9)№ 81-02-2001-И1(9)№ 81-02-2001-И1(9)№ 81-02-2001-И1(9)№ 81-02-2001-И1(9)№ 81-02-2001-И1(9)№ 81-02-2001-И1(9)№ 81-02-2001-И1(9)№ 81-02-2001-И1(9)№ 81-02-2001-И1(9)№ 81-02-2001-И1(9)№ 81-02-2001-И1(9)№ 81-02-2001-И1(9)№ 81-02-2001-И1(9)№ 81-02-2001-И1(9)№ 81-02-2001-И1(9)№ 81-02-2001-И1(9)№ 81-02-2001-И1(9)№ 81-02-2001-И1(9)№ 81-02-2001-И1(9)№ 81-02-2001-И1(9)№ 81-02-2001-И1(9)№ 81-02-2001-И1(9)№ 81-02-2001-И1(9)№ 81-02-2001-И1(9)№ 81-02-2001-И1(9)№ 81-02-2001-И1(9)№ 81-02-2001-И1(9)№ 81-02-2001-И1(9)№ 81-02-2001-И1(9)№ 81-02-2001-И1(9)№ 81-02-2001-И1(9)№ 81-02-2001-И1(9)№ 81-02-2001-И1(9)№ 81-02-2001-И1(9)№ 81-02-2001-И1(9)№ 81-02-2001-И1(9)№ 81-02-2001-И1(9)№ 81-02-2001-И1(9)№ 81-02-2001-И1(9)№ 81-02-2001-И1(9)№ 81-02-2001-И1(9)№ 81-02-2001-И1(9)№ 81-02-2001-И1(9)№ 81-02-2001-И1(9)№ 81-02-2001-И1(9)№ 81-02-2001-И1(9)№ 81-02-2001-И1(9)№ 81-02-2001-И1(9)№ 81-02-2001-И1(9)№ 81-02-2001-И1(9)№ 81-02-2001-И1(9)№ 81-02-2001-И1(9)№ 81-02-2001-И1(9)№ 81-02-2001-И1(9)№ 81-02-2001-И1(9)№ 81-02-2001-И1(9)№ 81-02-2001-И1(9)№ 81-02-2001-И1(9)№ 81-02-2001-И1(9)№ 81-02-2001-И1(9)№ 81-02-2001-И1(9)№ 81-02-2001-И1(9)№ 81-02-2001-И1(9)№ 81-02-2001-И1(9)№ 81-02-2001-И1(9)№ 81-02-2001-И1(9)№ 81-02-2001-И1(9)№ 81-02-2001-И1(9)№ 81-02-2001-И1(9)№ 81-02-2001-И1(9)№ 81-02-2001-И1(9)№ 81-02-2001-И1(9)№ 81-02-2001-И1(9)№ 81-02-2001-И1(9)№ 81-02-2001-И1(9)№ 81-02-2001-И1(9)№ 81-02-2001-И1(9)№ 81-02-2001-И1(9)№ 81-02-2001-И1(9)№ 81-02-2001-И1(9)№ 81-02-2001-И1(9)№ 81-02-2001-И1(9)№ 81-02-2001-И1(9)№ 81-02-2001-И1(9)№ 81-02-2001-И1(9)№ 81-02-2001-И1(9)№ 81-02-2001-И1(9)№ 81-02-2001-И1(9)№ 81-02-2001-И1(9)№ 81-02-2001-И1(9)№ 81-02-2001-И1(9)№ 81-02-2001-И1(9)№ 81-02-2001-И1(9)№ 81-02-2001-И1(9)№ 81-02-2001-И1(9)№ 81-02-2001-И1(9)№ 81-02-2001-И1(9)№ 81-02-2001-И1(9)№ 81-02-2001-И1(9)№ 81-02-2001-И1(9)№ 81-02-2001-И1(9)№ 81-02-2001-И1(9)№ 81-02-2001-И1(9)№ 81-02-2001-И1(9)№ 81-02-2001-И1(9)№ 81-02-2001-И1(9)№ 81-02-2001-И1(9)№ 81-02-2001-И1(9)№ 81-02-2001-И1(9)№ 81-02-2001-И1(9)№ 81-02-2001-И1(9)№ 81-02-2001-И1(9)№ 81-02-2001-И1(9)№ 81-02-2001-И1(9)№ 81-02-2001-И1(9)№ 81-02-2001-И1(9)№ 81-02-2001-И1(9)№ 81-02-2001-И1(9)№ 81-02-2001-И1(9)№ 81-02-2001-И1(9)№ 81-02-2001-И1(9)№ 81-02-2001-И1(9)№ 81-02-2001-И1(9)№ 81-02-2001-И1(9)№ 81-02-2001-И1(9)№ 81-02-2001-И1(9)№ 81-02-2001-И1(9)№ 81-02-2001-И1(9)№ 81-02-2001-И1(9)№ 81-02-2001-И1(9)№ 81-02-2001-И1(9)№ 81-02-2001-И1(9)№ 81-02-2001-И1(9)№ 81-02-2001-И1(9)№ 81-02-2001-И1(9)№ 81-02-2001-И1(9)№ 81-02-2001-И1(9)№ 81-02-2001-И1(9)№ 81-02-2001-И1(9)№ 81-02-2001-И1(9)№ 81-02-2001-И1(9)№ 81-02-2001-И1(9)№ 81-02-2001-И1(9)№ 81-02-2001-И1(9)№ 81-02-2001-И1(9)№ 81-02-2001-И1(9)№ 81-02-2001-И1(9)№ 81-02-2001-И1(9)№ 81-02-2001-И1(9)№ 81-02-2001-И1(9)№ 81-02-2001-И1(9)№ 81-02-2001-И1(9)№ 81-02-2001-И1(9)№ 81-02-2001-И1(9)№ 81-02-2001-И1(9)№ 81-02-2001-И1(9)№ 81-02-2001-И1(9)№ 81-02-2001-И1(9)№ 81-02-2001-И1(9)№ 81-02-2001-И1(9)№ 81-02-2001-И1(9)№ 81-02-2001-И1(9)№ 81-02-2001-И1(9)№ 81-02-2001-И1(9)№ 81-02-2001-И1(9)№ 81-02-2001-И1(9)№ 81-02-2001-И1(9)№ 81-02-2001-И1(9)№ 81-02-2001-И1(9)№ 81-02-2001-И1(9)№ 81-02-2001-И1(9)№ 81-02-2001-И1(9)№ 81-02-2001-И1(9)№ 81-02-2001-И1(9)№ 81-02-2001-И1(9)№ 81-02-2001-И1(9)№ 81-02-2001-И1(9)№ 81-02-2001-И1(9)№ 81-02-2001-И1(9)№ 81-02-2001-И1(9)№ 81-02-2001-И1(9)№ 81-02-2001-И1(9)№ 81-02-2001-И1(9)№ 81-02-2001-И1(9)№ 81-02-2001-И1(9)№ 81-02-2001-И1(9)№ 81-02-2001-И1(9)№ 81-02-2001-И1(9)

Текстовое изменение № 81-02-2001-И2(10) от 11.12.2015

№ 81-02-2001-И2(10)№ 81-02-2001-И2(10)№ 81-02-2001-И2(10)№ 81-02-2001-И2(10)№ 81-02-2001-И2(10)№ 81-02-2001-И2(10)№ 81-02-2001-И2(10)№ 81-02-2001-И2(10)№ 81-02-2001-И2(10)№ 81-02-2001-И2(10)№ 81-02-2001-И2(10)№ 81-02-2001-И2(10)№ 81-02-2001-И2(10)№ 81-02-2001-И2(10)№ 81-02-2001-И2(10)№ 81-02-2001-И2(10)№ 81-02-2001-И2(10)№ 81-02-2001-И2(10)№ 81-02-2001-И2(10)№ 81-02-2001-И2(10)№ 81-02-2001-И2(10)№ 81-02-2001-И2(10)№ 81-02-2001-И2(10)№ 81-02-2001-И2(10)№ 81-02-2001-И2(10)№ 81-02-2001-И2(10)№ 81-02-2001-И2(10)№ 81-02-2001-И2(10)№ 81-02-2001-И2(10)№ 81-02-2001-И2(10)№ 81-02-2001-И2(10)№ 81-02-2001-И2(10)№ 81-02-2001-И2(10)№ 81-02-2001-И2(10)№ 81-02-2001-И2(10)№ 81-02-2001-И2(10)№ 81-02-2001-И2(10)№ 81-02-2001-И2(10)№ 81-02-2001-И2(10)№ 81-02-2001-И2(10)№ 81-02-2001-И2(10)№ 81-02-2001-И2(10)№ 81-02-2001-И2(10)№ 81-02-2001-И2(10)№ 81-02-2001-И2(10)№ 81-02-2001-И2(10)№ 81-02-2001-И2(10)№ 81-02-2001-И2(10)№ 81-02-2001-И2(10)№ 81-02-2001-И2(10)№ 81-02-2001-И2(10)№ 81-02-2001-И2(10)№ 81-02-2001-И2(10)

© 2013 Ёшкин Кот :-) Карта сайта