| ||||||||||||||||||||||||||||||||||
Скачать Пособие к СНиП II-4-79 Пособие по расчету и проектированию естественного, искусственного и совмещенного освещенияДата актуализации: 10.08.2017
|
| Обозначение: | Пособие к СНиП II-4-79 |
| Обозначение англ: | SNIP Handbook II-4-79 |
| Статус: | привязан к неактуализированному документу |
| Название рус.: | Пособие по расчету и проектированию естественного, искусственного и совмещенного освещения |
| Название англ.: | Handbook on Calculation and Design of Natural, Artificial, and Mixed Lighting |
| Дата добавления в базу: | 01.09.2013 |
| Дата актуализации: | 05.05.2017 |
| Дата введения: | 01.01.1996 |
| Область применения: | Содержит основные методические положения по выбору (определению) нормируемых значений показателей естественного, искусственного и совмещенного освещения, методы их расчета при проектировании производственных, общественных и жилых зданий, а также установок наружного освещения. |
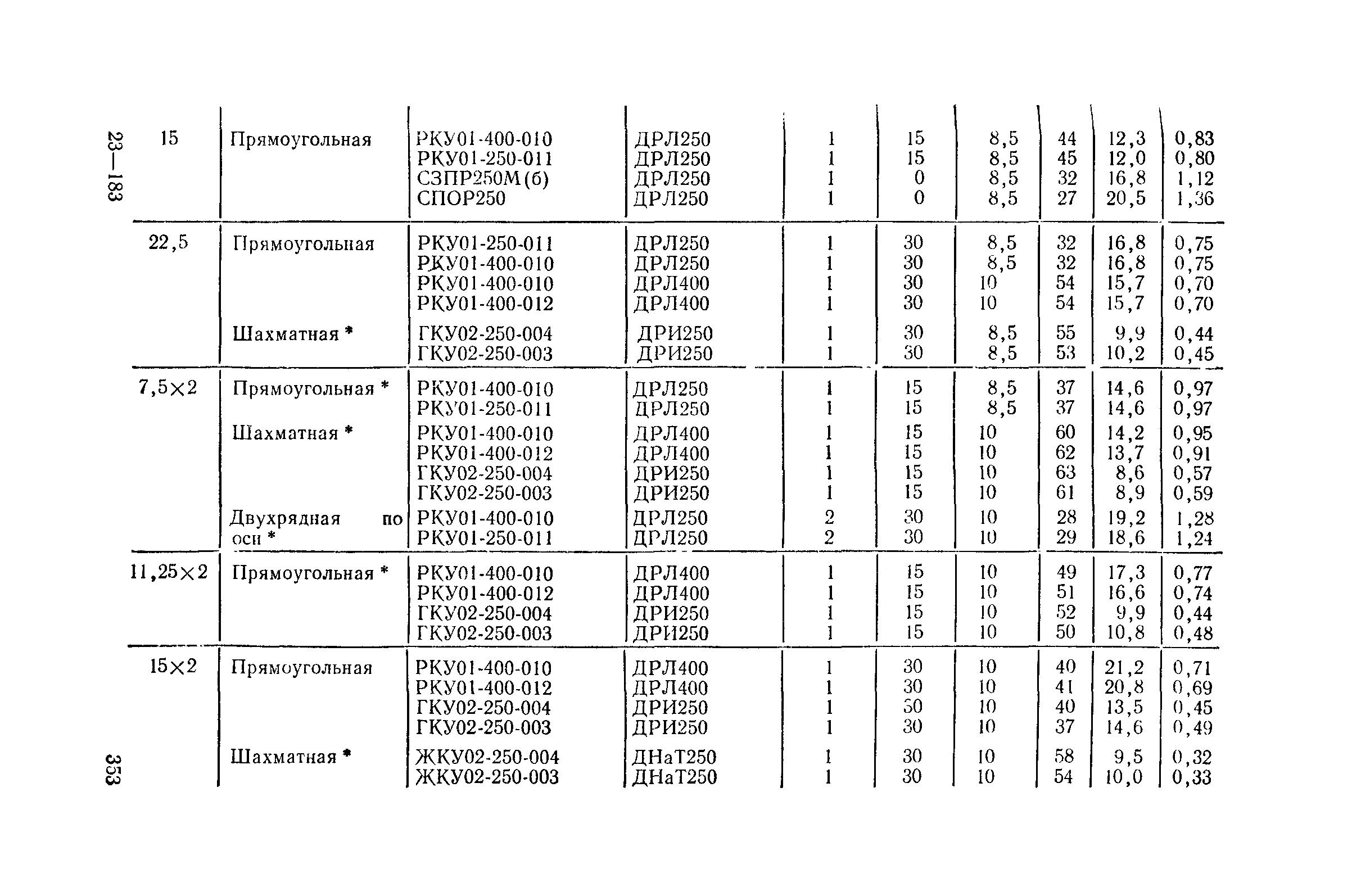
| Оглавление: | Основные сокращения Основные обозначения, принятые в Пособии 1 Общие положения Основные рекомендации по проектированию освещения 2 Естественное освещение Выбор значений КЕО Проектирование естественного освещения Расчет естественного освещения 3 Совмещенное освещение Выбор значений КЕО и освещенности Проектирование совмещенного освещения Расчет приведенных затрат на освещение 4 Проектирование естественного и совмещенного освещения некоторых типовых помещений Основные помещения предприятий машиностроения Помещения с шахтными фонарями Рабочие кабинеты зданий управления Жилые помещения Школьные классы Выставочные помещения 5 Искусственное освещение помещений производственных зданий Системы освещения Выбор уровня освещенности Качество освещения Равномерность распределения освещенности Показатель ослепленности Коэффициент пульсации освещенности Выбор источников света Выбор светильников общего освещения Размещение светильников общего освещения Устройство местного освещения (МО) Примеры осветительных установок Освещение механических цехов Освещение сборочных цехов Гальванические цехи, участки металлопокрытий Примеры выбора систем освещения по технико-экономическим показателям 6 Искусственное освещение помещений общественных зданий Помещения зданий управления и проектных организаций Помещения учебных заведений и детских дошкольных учреждений Помещения лечебно-профилактических учреждений Магазины Театры, кинотеатры, клубы Предприятия общественного питания Предприятия бытового обслуживания Гостиницы Жилые здания 7 Расчет искусственного освещения Общие положения расчета для точечного светящего элемента Расчет прямой составляющей освещенности от точечных светящих элементов с симметричным светораспределением Расчет прямой составляющей освещенности от точечных светящих элементов с несимметричным светораспределением Расчет прожекторного освещения Расчет освещенности от линейных светящих элементов Расчет освещенности от светящих поверхностей равномерной яркости Расчет освещенности с учетом многократных отражений Выбор метода расчета Инженерные методы расчета качественных показателей осветительных установок Коэффициент пульсации Показатель ослепленности Показатель дискомфорта Цилиндрическая освещенность 8 Установки искусственного ультрафиолетового облучения Облучательные установки длительного действия Облучательные установки кратковременного действия (фотарии) 9 Освещение мест производства работ вне зданий и территорий промышленных предприятий 10 Наружное освещение городов, поселков и сельских населенных пунктов Выбор нормируемых значений показателей установок наружного освещения (УНО) Проектирование установок наружного освещения (УНО) Освещение улиц, дорог и площадей Архитектурное освещение и световая реклама Методы расчета светотехнических показателей и технико-экономической оценки установок наружного освещения Типовые решения освещения улиц и дорог Приложение 1 Типовая программа "Свет-1" для расчета КЕО в помещениях производственных, общественных и жилых зданий на ЭВМ СМ-3 (язык Фортран-IV) Приложение 2 Перечень городов со средним количеством жидких атмосферных осадков свыше 600 мм в год Приложение 3 Типовые решения освещения улиц и дорог Приложение 4 Примеры освещения улиц Приложение 5 Термины и определения, использованные в Пособии Литература |
| Разработан: | НИИСФ (Научно-исследовательский институт строительной физики) ВЦНИИОТ ВЦСПС ЦНИИЭП инженерного оборудования Госгражданстроя АКХ им. К. Д. Памфилова Минжилкомхоза РСФСР ЦНИИпромзданий Харьковский филиал Гипронииавиапрома |
| Утверждён: | 20.11.1984 НИИСФ Госстроя СССР (NIISF, USSR Gossstroy 93-й) |
| Издан: | Стройиздат (1985 г. ) |
| Расположен в: | |
| Нормативные ссылки: |
|
































































































































































































































































































































































































