Информационная система
«Ёшкин Кот»

Скачать базу одним архивом
Скачать обновления
История создания базы
Карта сайта

Скачать ГОСТ 6482-88 Трубы железобетонные безнапорные. Технические условия

Дата актуализации: 10.08.2017

ГОСТ 6482-88

Трубы железобетонные безнапорные. Технические условия

Обозначение: ГОСТ 6482-88
Обозначение англ: GOST 6482-88
Статус:заменен
Название рус.:Трубы железобетонные безнапорные. Технические условия
Название англ.:Reinforced concrete non-pressure pipes. Specifications
Дата добавления в базу:01.09.2013
Дата актуализации:05.05.2017
Дата введения:01.01.2013
Область применения:Стандарт распространяется на железобетонные безнапорные раструбные и фальцевые трубы с круглым отверстием, изготовляемые из тяжелого бетона и предназначенные для прокладки подземных трубопроводов, транспортирующих самотеком бытовые жидкости и атмосферные сточные воды, а также подземные воды и производственные жидкости, не агрессивные к железобетону и уплотняющим резиновым кольцам. Стандарт не распространяется на железобетонные водопропускные трубы, укладываемые под насыпями железных и автомобильных дорог.
Оглавление:1 Технические требования
2 Приемка
3 Методы контроля
4 Транспортирование и хранение
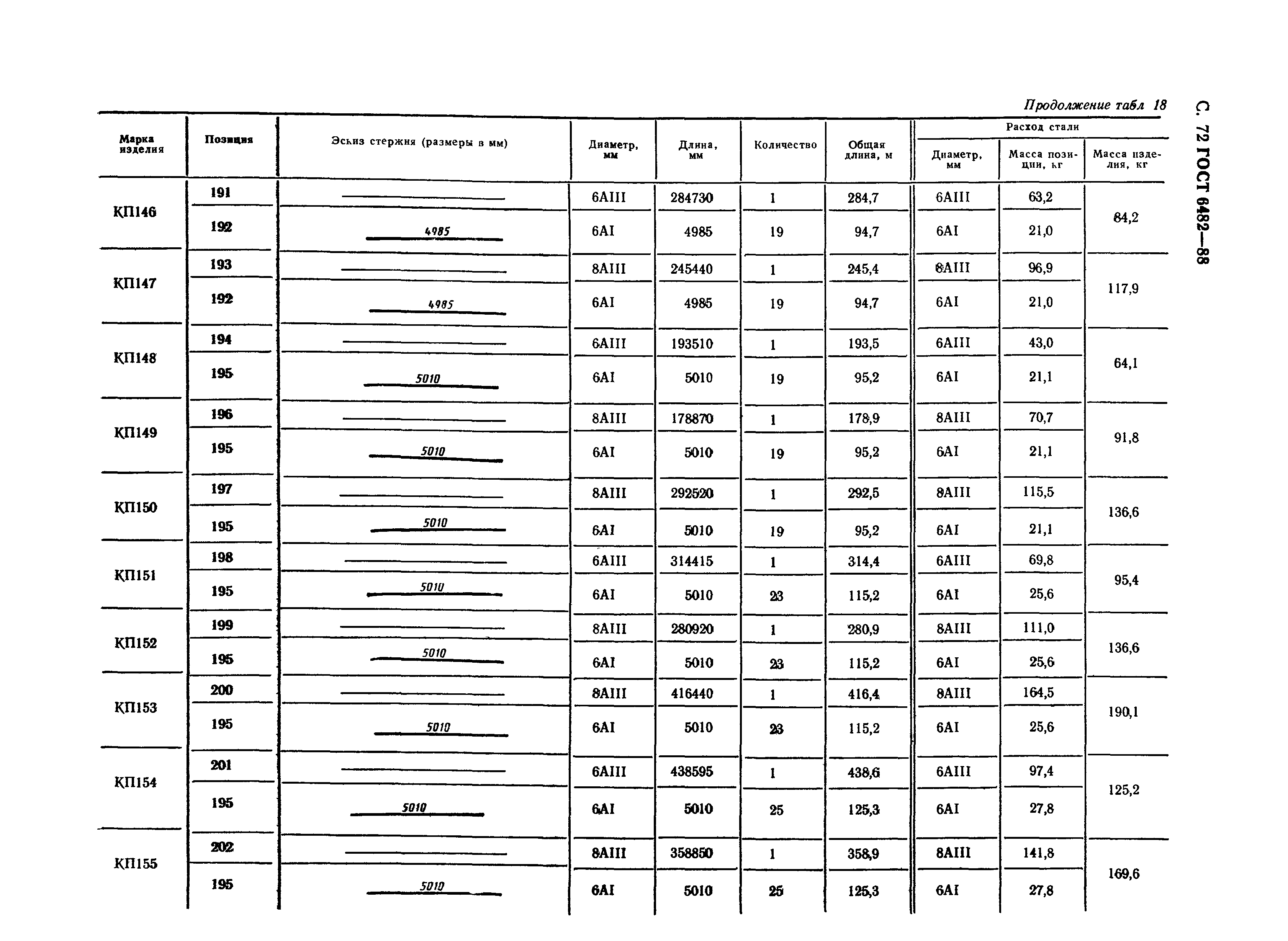
Приложение 1 (обязательное) Форма, размеры и показатели материалоемкости труб
Приложение 2 (обязательное) Армирование труб
Разработан: ВНИИжелезобетон
Утверждён:30.09.1988 Госстрой СССР (Государственный комитет Совета Министров СССР по делам строительства) (USSR Gosstroy 200)
Издан: Издательство стандартов (1989 г. )
Расположен в:Техническая документация Электроэнергия СТРОИТЕЛЬНЫЕ МАТЕРИАЛЫ И СТРОИТЕЛЬСТВО Конструкции зданий Бетонные конструкции Экология СТРОИТЕЛЬНЫЕ МАТЕРИАЛЫ И СТРОИТЕЛЬСТВО Конструкции зданий Бетонные конструкции Строительство Нормативные документы Документы Системы нормативных документов в строительстве Нормативные документы на строительные конструкции и изделия к.52 Железобетонные и бетонные конструкции
Заменяет собой:
  • ГОСТ 6482.0-79 «Трубы железобетонные безнапорные. Технические условия» (ИУС 1-89)
  • ГОСТ 6482.1-79 «Трубы железобетонные безнапорные. Конструкция и размеры» (ИУС 1-89)
Чем заменён:
Нормативные ссылки:
ГОСТ 6482-88ГОСТ 6482-88ГОСТ 6482-88ГОСТ 6482-88ГОСТ 6482-88ГОСТ 6482-88ГОСТ 6482-88ГОСТ 6482-88ГОСТ 6482-88ГОСТ 6482-88ГОСТ 6482-88ГОСТ 6482-88ГОСТ 6482-88ГОСТ 6482-88ГОСТ 6482-88ГОСТ 6482-88ГОСТ 6482-88ГОСТ 6482-88ГОСТ 6482-88ГОСТ 6482-88ГОСТ 6482-88ГОСТ 6482-88ГОСТ 6482-88ГОСТ 6482-88ГОСТ 6482-88ГОСТ 6482-88ГОСТ 6482-88ГОСТ 6482-88ГОСТ 6482-88ГОСТ 6482-88ГОСТ 6482-88ГОСТ 6482-88ГОСТ 6482-88ГОСТ 6482-88ГОСТ 6482-88ГОСТ 6482-88ГОСТ 6482-88ГОСТ 6482-88ГОСТ 6482-88ГОСТ 6482-88ГОСТ 6482-88ГОСТ 6482-88ГОСТ 6482-88ГОСТ 6482-88ГОСТ 6482-88ГОСТ 6482-88ГОСТ 6482-88ГОСТ 6482-88ГОСТ 6482-88ГОСТ 6482-88ГОСТ 6482-88ГОСТ 6482-88ГОСТ 6482-88ГОСТ 6482-88ГОСТ 6482-88ГОСТ 6482-88ГОСТ 6482-88ГОСТ 6482-88ГОСТ 6482-88ГОСТ 6482-88ГОСТ 6482-88ГОСТ 6482-88ГОСТ 6482-88ГОСТ 6482-88ГОСТ 6482-88ГОСТ 6482-88ГОСТ 6482-88ГОСТ 6482-88ГОСТ 6482-88ГОСТ 6482-88ГОСТ 6482-88ГОСТ 6482-88ГОСТ 6482-88ГОСТ 6482-88ГОСТ 6482-88ГОСТ 6482-88ГОСТ 6482-88ГОСТ 6482-88ГОСТ 6482-88ГОСТ 6482-88

© 2013 Ёшкин Кот :-) Карта сайта