Информационная система
«Ёшкин Кот»

Скачать базу одним архивом
Скачать обновления
История создания базы
Карта сайта

Скачать ГОСТ 4543-2016 Металлопродукция из конструкционной легированной стали. Технические условия

Дата актуализации: 10.08.2017

ГОСТ 4543-2016

Металлопродукция из конструкционной легированной стали. Технические условия

Обозначение: ГОСТ 4543-2016
Обозначение англ: GOST 4543-2016
Статус:принят
Название рус.:Металлопродукция из конструкционной легированной стали. Технические условия
Название англ.:Structural alloy steel products. Specifications
Дата добавления в базу:05.05.2017
Дата актуализации:05.05.2017
Дата введения:13.01.2017
Дата окончания срока действия:01.10.2017
Область применения:Стандарт распространяется на горячекатаную и кованую (диаметром или толщиной до 250 мм включительно), калиброванную и со специальной отделкой поверхности металлопродукцию из конструкционной легированной стали, применяемую в конструкциях общего назначения, после термической обработки.
Оглавление:1 Область применения
2 Нормативные ссылки
3 Термины и определения
4 Классификация и обозначения
5 Условия заказа
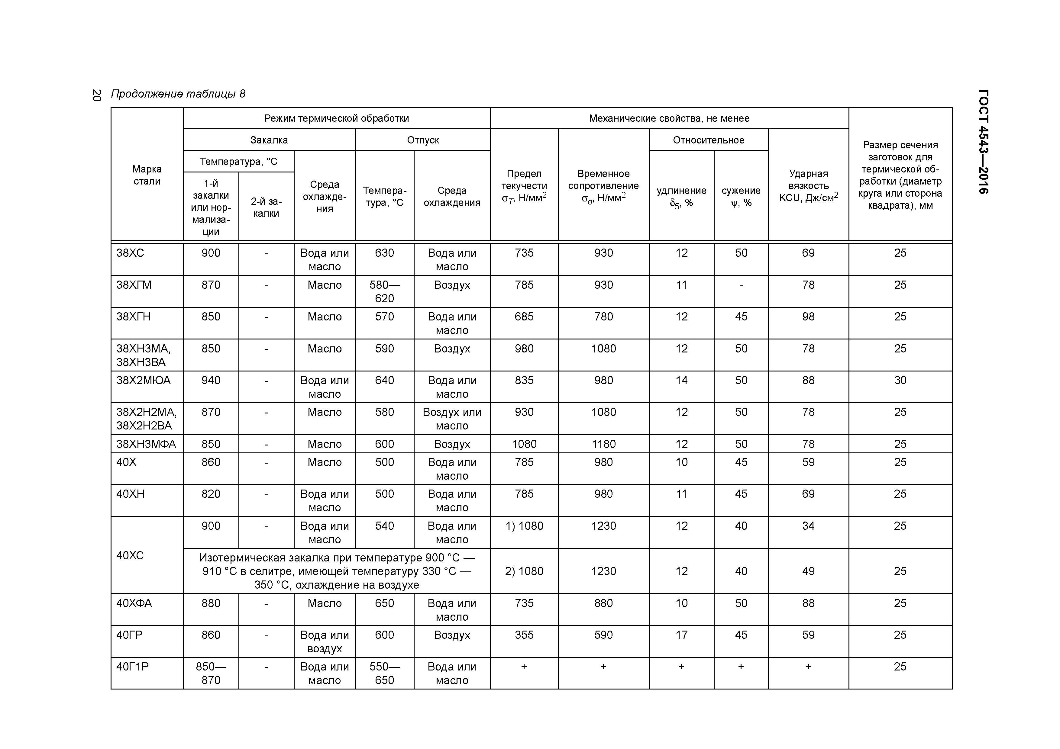
6 Сортамент
7 Технические требования
   7.1 Характеристики базового исполнения
   7.2 Требования к металлопродукции, устанавливаемые по согласованию изготовителя с заказчиком
8 Правила приемки
9 Методы испытаний
10 Маркировка, упаковка, транспортирование и хранение
11 Требования безопасности и охраны окружающей среды
12 Гарантии изготовителя
Приложение А (обязательное) Полосы прокаливаемости
Приложение Б (обязательное) Параметры марочных и суженных полос прокаливаемости (пределы колебания твердости НIС по длине торцового образца)
Приложение В (обязательное) Примеры условных обозначений
Приложение Г (рекомендуемое) Методика определения процента вязкой составляющей в изломе ударных образцов (для проката из улучшаемой стали)
Библиография
Разработан: ФГУП ЦНИИчермет им. И.П. Бардина
Утверждён:25.10.2016 Межгосударственный Совет по стандартизации, метрологии и сертификации (Inter-Governmental Council on Standardization, Metrology, and Certification 92-П)
13.01.2017 Федеральное агентство по техническому регулированию и метрологии (10-ст)
Издан: Стандартинформ (2017 г. )
Расположен в:Техническая документация Электроэнергия МЕТАЛЛУРГИЯ Продукция из чугуна и стали Стальные прутки и катанка Термообрабатываемые стали Экология МЕТАЛЛУРГИЯ Продукция из чугуна и стали Стальные прутки и катанка Термообрабатываемые стали
Заменяет собой:
Нормативные ссылки:
ГОСТ 4543-2016ГОСТ 4543-2016ГОСТ 4543-2016ГОСТ 4543-2016ГОСТ 4543-2016ГОСТ 4543-2016ГОСТ 4543-2016ГОСТ 4543-2016ГОСТ 4543-2016ГОСТ 4543-2016ГОСТ 4543-2016ГОСТ 4543-2016ГОСТ 4543-2016ГОСТ 4543-2016ГОСТ 4543-2016ГОСТ 4543-2016ГОСТ 4543-2016ГОСТ 4543-2016ГОСТ 4543-2016ГОСТ 4543-2016ГОСТ 4543-2016ГОСТ 4543-2016ГОСТ 4543-2016ГОСТ 4543-2016ГОСТ 4543-2016ГОСТ 4543-2016ГОСТ 4543-2016ГОСТ 4543-2016ГОСТ 4543-2016ГОСТ 4543-2016ГОСТ 4543-2016ГОСТ 4543-2016ГОСТ 4543-2016ГОСТ 4543-2016ГОСТ 4543-2016ГОСТ 4543-2016ГОСТ 4543-2016ГОСТ 4543-2016ГОСТ 4543-2016ГОСТ 4543-2016ГОСТ 4543-2016ГОСТ 4543-2016ГОСТ 4543-2016ГОСТ 4543-2016ГОСТ 4543-2016ГОСТ 4543-2016ГОСТ 4543-2016ГОСТ 4543-2016ГОСТ 4543-2016ГОСТ 4543-2016ГОСТ 4543-2016ГОСТ 4543-2016ГОСТ 4543-2016

© 2013 Ёшкин Кот :-) Карта сайта