Информационная система
«Ёшкин Кот»

Скачать базу одним архивом
Скачать обновления
История создания базы
Карта сайта

Скачать ГОСТ 33472-2015 Глобальная навигационная спутниковая система. Аппаратура спутниковой навигации для оснащения колесных транспортных средств категорий M и N. Общие технические требования

Дата актуализации: 10.08.2017

ГОСТ 33472-2015

Глобальная навигационная спутниковая система. Аппаратура спутниковой навигации для оснащения колесных транспортных средств категорий M и N. Общие технические требования

Обозначение: ГОСТ 33472-2015
Обозначение англ: GOST 33472-2015
Статус:введен впервые
Название рус.:Глобальная навигационная спутниковая система. Аппаратура спутниковой навигации для оснащения колесных транспортных средств категорий M и N. Общие технические требования
Название англ.:Global navigation satellite system. Satellite navigation equipment for mounting on wheeled vehicles for M and N categories. General technical requirements
Дата добавления в базу:05.05.2017
Дата актуализации:05.05.2017
Дата введения:01.01.2017
Область применения:Стандарт распространяется на аппаратуру спутниковой навигации, предназначенную для оснащения колесных транспортных средств категории М, используемых для коммерческих перевозок пассажиров, а также специально предназначенных для перевозки детей, и категории N, используемых для перевозки опасных, специальных, тяжеловесных и (или) крупногабаритных грузов, твердых бытовых отходов и мусора, и устанавливает общие технические требования к указанной аппаратуре c учетом требований, установленных в Техническом регламенте Таможенного союза "О безопасности колесных транспортных средств".
Оглавление:1 Область применения
2 Нормативные ссылки
3 Термины и определения
4 Сокращения
5 Общие положения
6 Состав аппаратуры спутниковой навигации
7 Общие требования к аппаратуре спутниковой навигации
8 Требования к функциональным модулям и компонентам аппаратуры спутниковой навигации. . .
9 Требования к интерфейсам передачи данных
10 Требования к электропитанию
11 Требования электробезопасности
12 Требования к электромагнитной совместимости
13 Требования по стойкости к внешним воздействиям
14 Конструктивные требования
15 Требования к надёжности
16 Требования к установке аппаратуры спутниковой навигации
17 Требования по эргономике и технической эстетике
18 Требования по безопасности и экологической чистоте
19 Требования к маркировке
20 Требования к упаковке, транспортированию и хранению
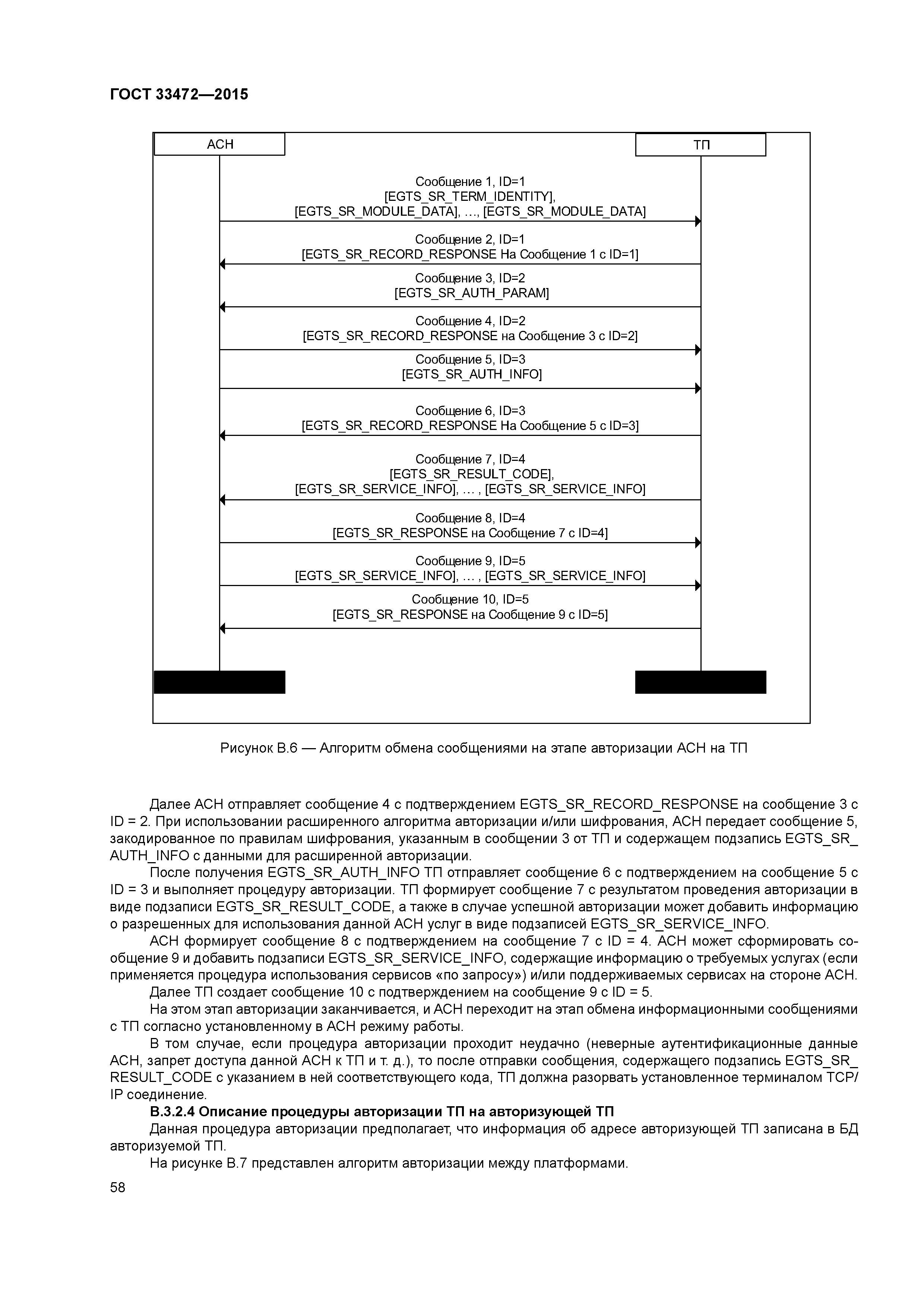
Приложение А (обязательное) Спецификация протокола транспортного уровня
Приложение Б (обязательное) Спецификация протокола передачи мониторинговой информации
Приложение В (обязательное) Спецификация протокола уровня поддержки услуг и спецификация сервисов предоставления услуг
Библиография
Разработан: АО НТЦ Интернавигация
Утверждён:28.12.2015 Межгосударственный Совет по стандартизации, метрологии и сертификации (Inter-Governmental Council on Standardization, Metrology, and Certification 83-п)
21.12.2016 Федеральное агентство по техническому регулированию и метрологии (2061-ст)
Издан: Стандартинформ (2017 г. )
Расположен в:Техническая документация Электроэнергия ИНФОРМАЦИОННЫЕ ТЕХНОЛОГИИ. МАШИНЫ КОНТОРСКИЕ Применение информационных технологий Применение информационных технологий на транспорте и в торговле Экология ИНФОРМАЦИОННЫЕ ТЕХНОЛОГИИ. МАШИНЫ КОНТОРСКИЕ Применение информационных технологий Применение информационных технологий на транспорте и в торговле
Нормативные ссылки:
ГОСТ 33472-2015ГОСТ 33472-2015ГОСТ 33472-2015ГОСТ 33472-2015ГОСТ 33472-2015ГОСТ 33472-2015ГОСТ 33472-2015ГОСТ 33472-2015ГОСТ 33472-2015ГОСТ 33472-2015ГОСТ 33472-2015ГОСТ 33472-2015ГОСТ 33472-2015ГОСТ 33472-2015ГОСТ 33472-2015ГОСТ 33472-2015ГОСТ 33472-2015ГОСТ 33472-2015ГОСТ 33472-2015ГОСТ 33472-2015ГОСТ 33472-2015ГОСТ 33472-2015ГОСТ 33472-2015ГОСТ 33472-2015ГОСТ 33472-2015ГОСТ 33472-2015ГОСТ 33472-2015ГОСТ 33472-2015ГОСТ 33472-2015ГОСТ 33472-2015ГОСТ 33472-2015ГОСТ 33472-2015ГОСТ 33472-2015ГОСТ 33472-2015ГОСТ 33472-2015ГОСТ 33472-2015ГОСТ 33472-2015ГОСТ 33472-2015ГОСТ 33472-2015ГОСТ 33472-2015ГОСТ 33472-2015ГОСТ 33472-2015ГОСТ 33472-2015ГОСТ 33472-2015ГОСТ 33472-2015ГОСТ 33472-2015ГОСТ 33472-2015ГОСТ 33472-2015ГОСТ 33472-2015ГОСТ 33472-2015ГОСТ 33472-2015ГОСТ 33472-2015ГОСТ 33472-2015ГОСТ 33472-2015ГОСТ 33472-2015ГОСТ 33472-2015ГОСТ 33472-2015ГОСТ 33472-2015ГОСТ 33472-2015ГОСТ 33472-2015ГОСТ 33472-2015ГОСТ 33472-2015ГОСТ 33472-2015ГОСТ 33472-2015ГОСТ 33472-2015ГОСТ 33472-2015ГОСТ 33472-2015ГОСТ 33472-2015ГОСТ 33472-2015ГОСТ 33472-2015ГОСТ 33472-2015ГОСТ 33472-2015ГОСТ 33472-2015ГОСТ 33472-2015

© 2013 Ёшкин Кот :-) Карта сайта