Информационная система
«Ёшкин Кот»

Скачать базу одним архивом
Скачать обновления
История создания базы
Карта сайта

Скачать ГОСТ 8717-2016 Ступени бетонные и железобетонные. Технические условия

Дата актуализации: 10.08.2017

ГОСТ 8717-2016

Ступени бетонные и железобетонные. Технические условия

Обозначение: ГОСТ 8717-2016
Обозначение англ: GOST 8717-2016
Статус:взамен
Название рус.:Ступени бетонные и железобетонные. Технические условия
Название англ.:Reinforced concrete and concrete steps. Specifications
Дата добавления в базу:01.02.2017
Дата актуализации:05.05.2017
Дата введения:01.05.2017
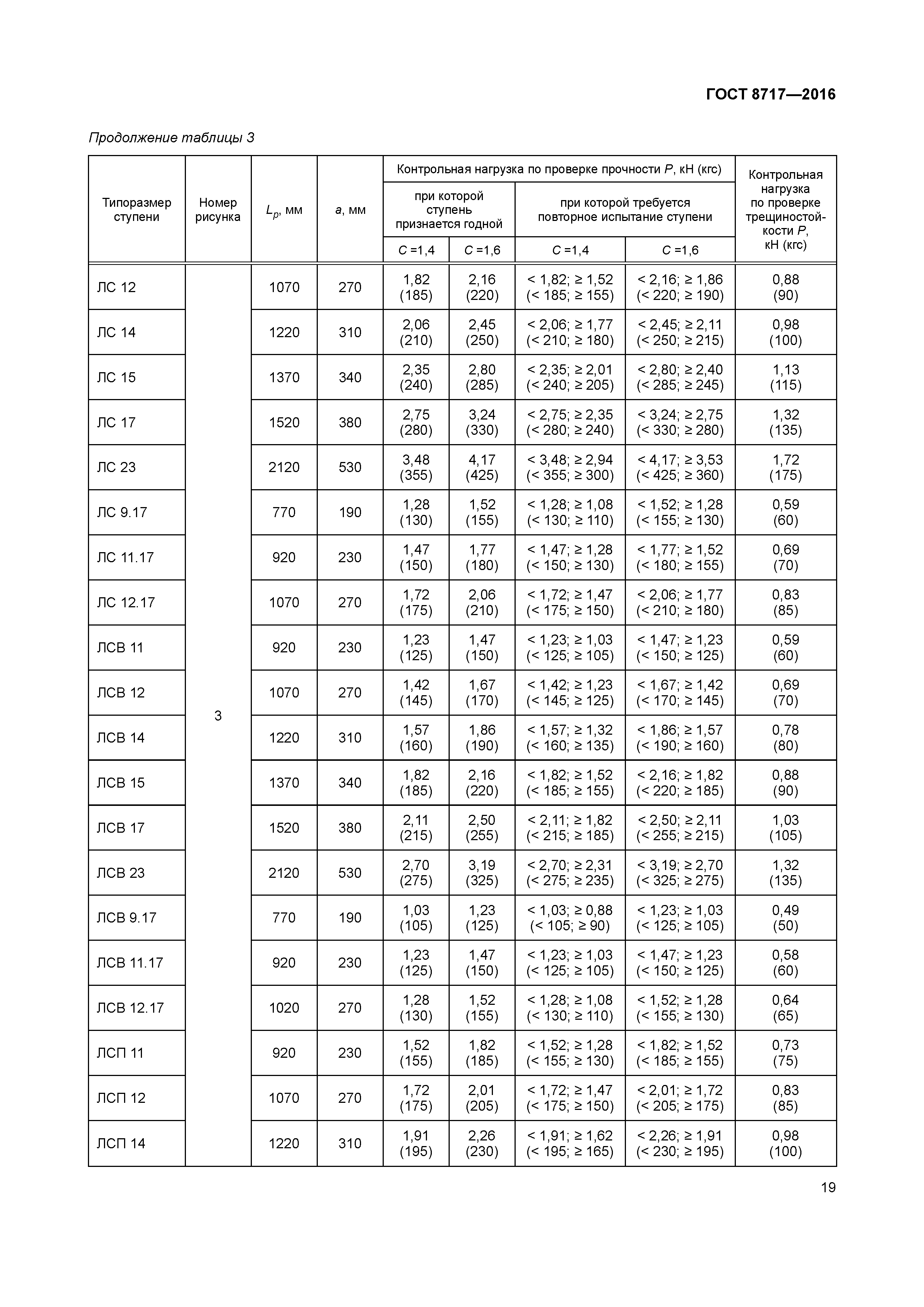
Область применения:Стандарт устанавливает типы, основные параметры и размеры железобетонных ступеней, общие технические требования к ним, конструкции ступеней, арматурные и закладные изделия к ним. Стандарт распространяется на железобетонные, бетонные ступени, изготовленные из тяжелого и плотного силикатного бетонов и предназначенные для устройства внутренних и наружных лестниц зданий и сооружений.
Оглавление:1 Область применения
2 Нормативные ссылки
3 Термины и определения
4 Типы, основные параметры и размеры
5 Технические требования
6 Правила приемки
7 Методы контроля и испытаний
8 Маркировка, транспортирование и хранение
Приложение А (справочное) Схемы расположения ступеней типов ЛС, ЛСВ, ЛСП, ЛСН в лестничном марше
Приложение Б (справочное) Конструкции ступеней типов ЛС, ЛСП, ЛСН, ЛСС и арматурных изделий к ним
Разработан: АО ЦНИИЭП жилища - институт комплексного проектирования жилых и общественных зданий
Утверждён:31.08.2016 Межгосударственный Совет по стандартизации, метрологии и сертификации (Inter-Governmental Council on Standardization, Metrology, and Certification 90-П)
11.11.2016 Федеральное агентство по техническому регулированию и метрологии (1681-ст)
Издан: Стандартинформ (2016 г. )
Расположен в:Техническая документация Электроэнергия СТРОИТЕЛЬНЫЕ МАТЕРИАЛЫ И СТРОИТЕЛЬСТВО Конструкции зданий Бетонные конструкции Экология СТРОИТЕЛЬНЫЕ МАТЕРИАЛЫ И СТРОИТЕЛЬСТВО Конструкции зданий Бетонные конструкции Строительство Нормативные документы Документы Системы нормативных документов в строительстве Нормативные документы на строительные конструкции и изделия к.52 Железобетонные и бетонные конструкции
Заменяет собой:
Нормативные ссылки:
ГОСТ 8717-2016ГОСТ 8717-2016ГОСТ 8717-2016ГОСТ 8717-2016ГОСТ 8717-2016ГОСТ 8717-2016ГОСТ 8717-2016ГОСТ 8717-2016ГОСТ 8717-2016ГОСТ 8717-2016ГОСТ 8717-2016ГОСТ 8717-2016ГОСТ 8717-2016ГОСТ 8717-2016ГОСТ 8717-2016ГОСТ 8717-2016ГОСТ 8717-2016ГОСТ 8717-2016ГОСТ 8717-2016ГОСТ 8717-2016ГОСТ 8717-2016ГОСТ 8717-2016ГОСТ 8717-2016ГОСТ 8717-2016ГОСТ 8717-2016ГОСТ 8717-2016ГОСТ 8717-2016ГОСТ 8717-2016ГОСТ 8717-2016ГОСТ 8717-2016ГОСТ 8717-2016ГОСТ 8717-2016ГОСТ 8717-2016ГОСТ 8717-2016ГОСТ 8717-2016ГОСТ 8717-2016ГОСТ 8717-2016ГОСТ 8717-2016ГОСТ 8717-2016ГОСТ 8717-2016ГОСТ 8717-2016ГОСТ 8717-2016ГОСТ 8717-2016ГОСТ 8717-2016ГОСТ 8717-2016ГОСТ 8717-2016ГОСТ 8717-2016ГОСТ 8717-2016ГОСТ 8717-2016ГОСТ 8717-2016ГОСТ 8717-2016ГОСТ 8717-2016ГОСТ 8717-2016ГОСТ 8717-2016ГОСТ 8717-2016ГОСТ 8717-2016ГОСТ 8717-2016ГОСТ 8717-2016ГОСТ 8717-2016ГОСТ 8717-2016ГОСТ 8717-2016ГОСТ 8717-2016ГОСТ 8717-2016ГОСТ 8717-2016ГОСТ 8717-2016ГОСТ 8717-2016ГОСТ 8717-2016ГОСТ 8717-2016ГОСТ 8717-2016ГОСТ 8717-2016ГОСТ 8717-2016ГОСТ 8717-2016ГОСТ 8717-2016ГОСТ 8717-2016ГОСТ 8717-2016ГОСТ 8717-2016ГОСТ 8717-2016ГОСТ 8717-2016ГОСТ 8717-2016ГОСТ 8717-2016ГОСТ 8717-2016ГОСТ 8717-2016ГОСТ 8717-2016ГОСТ 8717-2016ГОСТ 8717-2016

© 2013 Ёшкин Кот :-) Карта сайта