Информационная система
«Ёшкин Кот»

Скачать базу одним архивом
Скачать обновления
История создания базы
Карта сайта

Скачать ГОСТ 28301-2015 Комбайны зерноуборочные. Методы испытаний

Дата актуализации: 10.08.2017

ГОСТ 28301-2015

Комбайны зерноуборочные. Методы испытаний

Обозначение: ГОСТ 28301-2015
Обозначение англ: GOST 28301-2015
Статус:принят
Название рус.:Комбайны зерноуборочные. Методы испытаний
Название англ.:Grain harvesters. Test methods
Дата добавления в базу:01.02.2017
Дата актуализации:05.05.2017
Дата введения:12.07.2016
Дата окончания срока действия:01.07.2017
Область применения:Стандарт распространяется на комбайны зерноуборочные, предназначенные для уборки зерновых колосовых культур, зернобобовых и риса прямым и раздельным комбайнированием и устанавливает методы их испытаний.
Оглавление:1 Область применения
2 Нормативные ссылки
3 Термины и определения
4 Общие положения
5 Подготовка к испытаниям
6 Методы оценки технических параметров
7 Методы агротехнической оценки
8 Методы энергетической оценки
9 Методы оценки безопасности и эргономичности конструкции
10 Методы оценки надежности
11 Методы эксплуатационно-технологической оценки
12 Методы экономической оценки
13 Обработка и анализ результатов испытаний
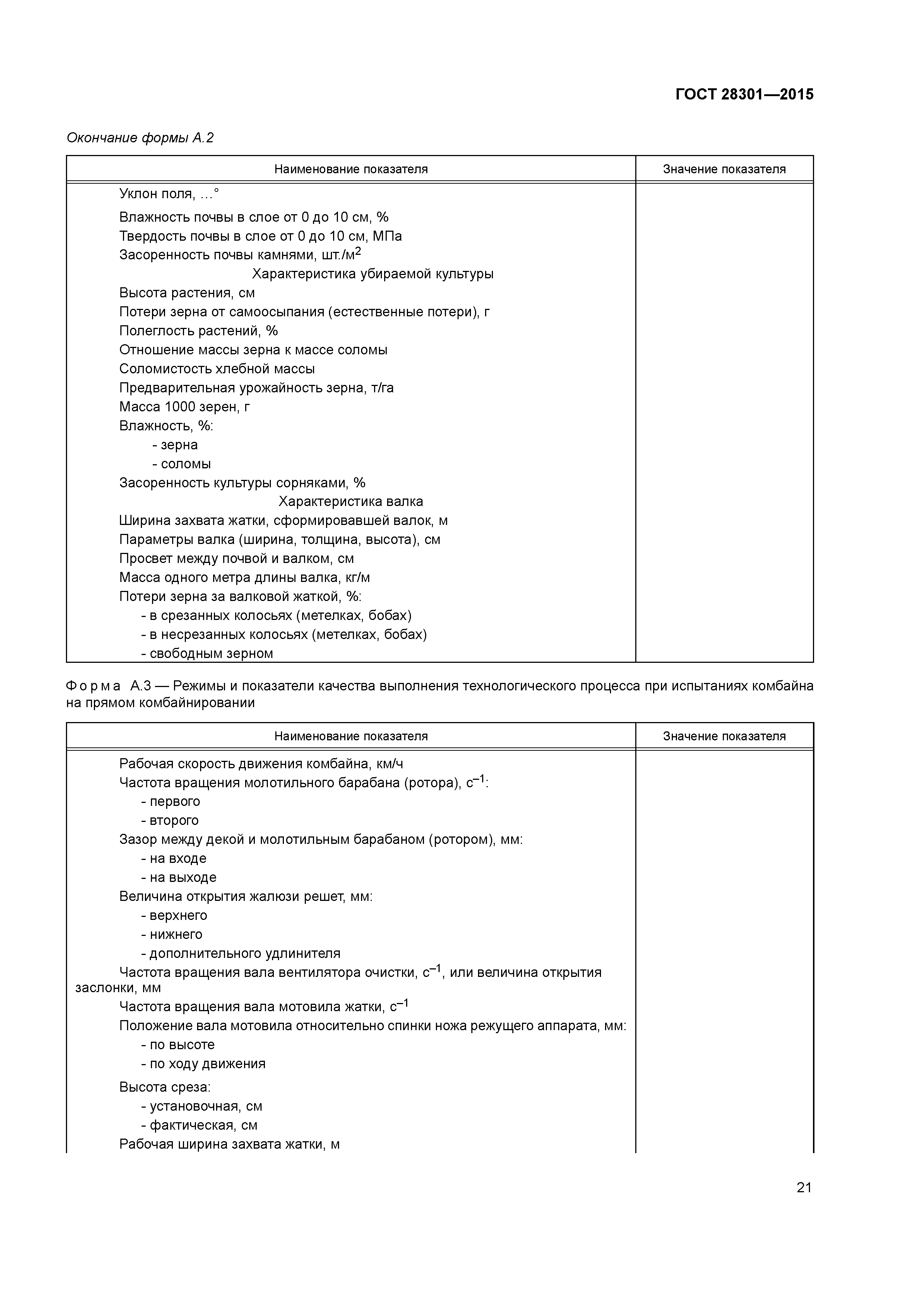
Приложение А (рекомендуемое) Оформление результатов испытаний
Приложение Б (рекомендуемое) Формы рабочих ведомостей результатов испытаний
Приложение В (справочное) Описание пробоотборников
Приложение Г (рекомендуемое) Формы ведомостей исходных данных для обработки результатов испытаний на ЭВМ
Приложение Д (рекомендуемое) Перечень средств измерений и оборудования, применяемых при определении показателей агротехнической оценки
Библиография
Разработан: КубНИИТиМ
Утверждён:10.12.2015 Межгосударственный Совет по стандартизации, метрологии и сертификации (Inter-Governmental Council on Standardization, Metrology, and Certification 48-2015)
12.07.2016 Федеральное агентство по техническому регулированию и метрологии (830-ст)
Издан: Стандартинформ (2016 г. )
Расположен в:Техническая документация Электроэнергия СЕЛЬСКОЕ ХОЗЯЙСТВО Сельскохозяйственные машины, инвентарь и оборудование Оборудование для уборки урожая Экология СЕЛЬСКОЕ ХОЗЯЙСТВО Сельскохозяйственные машины, инвентарь и оборудование Оборудование для уборки урожая
Заменяет собой:
Нормативные ссылки:
ГОСТ 28301-2015ГОСТ 28301-2015ГОСТ 28301-2015ГОСТ 28301-2015ГОСТ 28301-2015ГОСТ 28301-2015ГОСТ 28301-2015ГОСТ 28301-2015ГОСТ 28301-2015ГОСТ 28301-2015ГОСТ 28301-2015ГОСТ 28301-2015ГОСТ 28301-2015ГОСТ 28301-2015ГОСТ 28301-2015ГОСТ 28301-2015ГОСТ 28301-2015ГОСТ 28301-2015ГОСТ 28301-2015ГОСТ 28301-2015ГОСТ 28301-2015ГОСТ 28301-2015ГОСТ 28301-2015ГОСТ 28301-2015ГОСТ 28301-2015ГОСТ 28301-2015ГОСТ 28301-2015ГОСТ 28301-2015ГОСТ 28301-2015ГОСТ 28301-2015ГОСТ 28301-2015ГОСТ 28301-2015ГОСТ 28301-2015ГОСТ 28301-2015ГОСТ 28301-2015ГОСТ 28301-2015ГОСТ 28301-2015ГОСТ 28301-2015ГОСТ 28301-2015ГОСТ 28301-2015ГОСТ 28301-2015ГОСТ 28301-2015ГОСТ 28301-2015

© 2013 Ёшкин Кот :-) Карта сайта