Скачать ПНСТ 118-2016 Атомные станции. Контроль и управление, важные для безопасности. Использование программируемых интегральных схем для применения в системах, выполняющих функции категории АДата актуализации: 10.08.2017 ПНСТ 118-2016
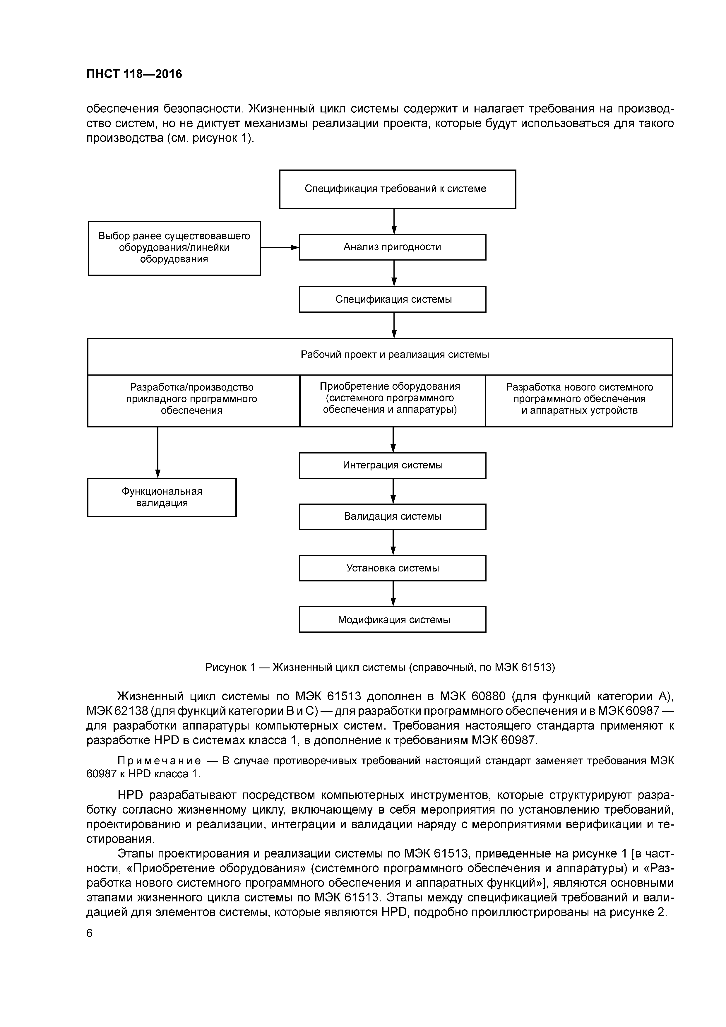
Атомные станции. Контроль и управление, важные для безопасности. Использование программируемых интегральных схем для применения в системах, выполняющих функции категории АОбозначение: | ПНСТ 118-2016 | Обозначение англ: | 118-2016 | Статус: | введен впервые | Название рус.: | Атомные станции. Контроль и управление, важные для безопасности. Использование программируемых интегральных схем для применения в системах, выполняющих функции категории А | Название англ.: | Nuclear power plants. Instrumentation and control important to safety. Development of HDL-programmed integrated circuits for systems performing category A functions | Дата добавления в базу: | 01.02.2017 | Дата актуализации: | 05.05.2017 | Дата введения: | 01.04.2017 | Дата окончания срока действия: | 01.04.2018 | Область применения: | Стандарт устанавливает требования к разработке высоконадежных HPD, применяемых в системах I&C (в ОПБ-88/97 используются следующие термины: «управляющие системы нормальной эксплуатации», «управляющие системы безопасности» и «управляющие системы, важные для безопасности») АС, выполняющих функции безопасности категории А согласно классификации по МЭК 61226. Стандарт устанавливает требования к: a) специализированному жизненному циклу разработки, включающему в себя все этапы разработки HPD, такие как разработка спецификации требований, проектирование, реализацию, верификацию, интеграцию и валидацию; b) планированию и дополнительным мероприятиям, таким как модификация и производство; c) выбору предварительно разработанных элементов, включающих в себя микроэлектронные ресурсы (такие как заготовка программируемой пользователем вентильной матрицы или программируемой логической интегральной схемы) и операторы HDL, представляющие собой PDB; d) использованию принципов простоты и детерминистских принципов, признанных первостепенно важными для достижения «безотказной» реализации функций категории А; e) инструментам для проектирования, реализации и HPD. Стандарт не устанавливает требований к разработке микроэлектронных ресурсов, которые доступны как «серийные готовые» изделия и не разработаны по стандартам обеспечения качества на ядерных установках. Стандарт рассматривает разработки, выполненные с использованием данных микроэлектронных ресурсов в проекте по I&C с помощью HDL и сопутствующих инструментов. | Оглавление: | 1 Область применения 1.1 Общие положения 1.2 Применение настоящего стандарта 2 Нормативные ссылки 3 Термины и определения 4 Обозначения и сокращения 5 Общие требования к проектам HDL-программируемых устройств 5.1 Общие положения 5.2 Жизненный цикл 5.3 Управление проектом HDL-программируемого устройства 5.4 План обеспечения качества HDL-программируемого устройства 5.5 Управление конфигурацией 6 Спецификация требований к HDL-программируемому устройству 6.1 Общие положения 6.2 Функциональные аспекты спецификации требований 6.3 Детерминированное проектирование 6.4 Обнаружение отказов и устойчивость к неисправностям 6.5 Определение требований с помощью инструментов проектирования на уровне электронных систем 6.6 Анализ и обзор требований 7 Процесс обоснования применения для программируемых интегральных схем, конфигурируемых блоков и предварительно разработанных блоков 7.1 Общие положения 7.2 Спецификация требований к элементам 7.3 Правила использования 7.4 Выбор 7.5 Подтверждение обоснования применения 7.6 Модификация для обоснования применения 7.7 Модификация после обоснования применения 7.8 Документация для обоснования применения 8 Проектирование и реализация HDL-программируемого устройства 8.1 Общие положения 8.2 Языки описания аппаратуры и сопутствующие инструменты 8.3 Проектирование 8.4 Реализация 8.5 Инструменты системного уровня и автоматизированного кода 8.6 Документация 8.7 Экспертиза проекта и реализации 9 Верификация Н01-программируемого устройства 9.1 Общие положения 9.2 План верификации 9.3 Верификация использования предварительно разработанных элементов 9.4 Верификация проекта и реализации 9.5 Испытательные стенды 9.6 Тестовое покрытие 9.7 Выполнение испытаний 9.8 Статическая верификация 10 Аспекты системной интеграции HDL-программируемого устройства 10.1 Общие положения 10.2 Аспекты плана системной интеграции для HDL-программируемого устройства 10.3 Специфические аспекты системной интеграции 10.4 Верификация интегрированной системы 10.5 Процедуры устранения отказа 10.6 Аспекты отчета об испытании интегрированной системы с HDL-программируемым устройством 11 Аспекты валидации системы с HDL-программируемыми устройствами 11.1 Общие положения 11.2 Аспекты плана валидации системы с HDL-программируемыми устройствами 11.3 Валидация системы 11.4 Аспекты отчета о валидации системы с HDL-программируемыми устройствами 11.5 Процедуры устранения отказа 12 Модификация 12.1 Модификация требований, конструкции или реализации 12.2 Модификация микроэлектронной технологии 13 Производство HDL-программируемого устройства 13.1 Общие положения 13.2 Производственные испытания 13.3 Программирующие файлы и программирование 14 Аспекты монтажа, ввода в эксплуатацию и эксплуатации HDL-программируемого устройства . 15 Инструментальные программы для разработки HDL-программируемых устройств 15.1 Общие положения 15.2 Дополнительные требования к инструментам проектирования, реализации и моделирования 16 Сегментация или разделение конструкции 16.1 Вводные сведения 16.2 Вспомогательные функции или функции поддержки 17 Защита от отказа по общей причине в HDL-программируемом устройстве 17.1 Вводные сведения 17.2 Требования Приложение А (справочное) Документация Приложение В (справочное) Разработка HDL-программируемых устройств Приложение ДА (справочное) Сведения о соответствии ссылочных международных стандартов национальным стандартам Библиография | Разработан: | НОЧУ НИШ МЭК/ТК 45
| Утверждён: | 08.06.2016 Федеральное агентство по техническому регулированию и метрологии (40-пнст)
| Издан: | Стандартинформ (2016 г. )
| Расположен в: |
| Нормативные ссылки: | |
                                            
|