| ||||||||||||||||||||||||||||||||||||
Скачать ГОСТ 33662.1-2015 Холодильные системы и тепловые насосы. Требования безопасности и охраны окружающей среды. Часть 1. Определения, классификация и критерии выбораДата актуализации: 10.08.2017
|
| Обозначение: | ГОСТ 33662.1-2015 |
| Обозначение англ: | GOST 33662.1-2015 |
| Статус: | принят |
| Название рус.: | Холодильные системы и тепловые насосы. Требования безопасности и охраны окружающей среды. Часть 1. Определения, классификация и критерии выбора |
| Название англ.: | Refrigerating systems and heat pumps. Safety and environmental requirements. Part 1. Definitions, classification and selection criteria |
| Дата добавления в базу: | 01.02.2017 |
| Дата актуализации: | 05.05.2017 |
| Дата введения: | 02.06.2016 |
| Дата окончания срока действия: | 01.07.2017 |
| Область применения: | Стандарт устанавливает требования к безопасности людей и имущества, предоставляет рекомендации по охране окружающей среды и определяет порядок действий при эксплуатации, техническом обслуживании и ремонте холодильных систем, а также при восстановлении хладагентов. |
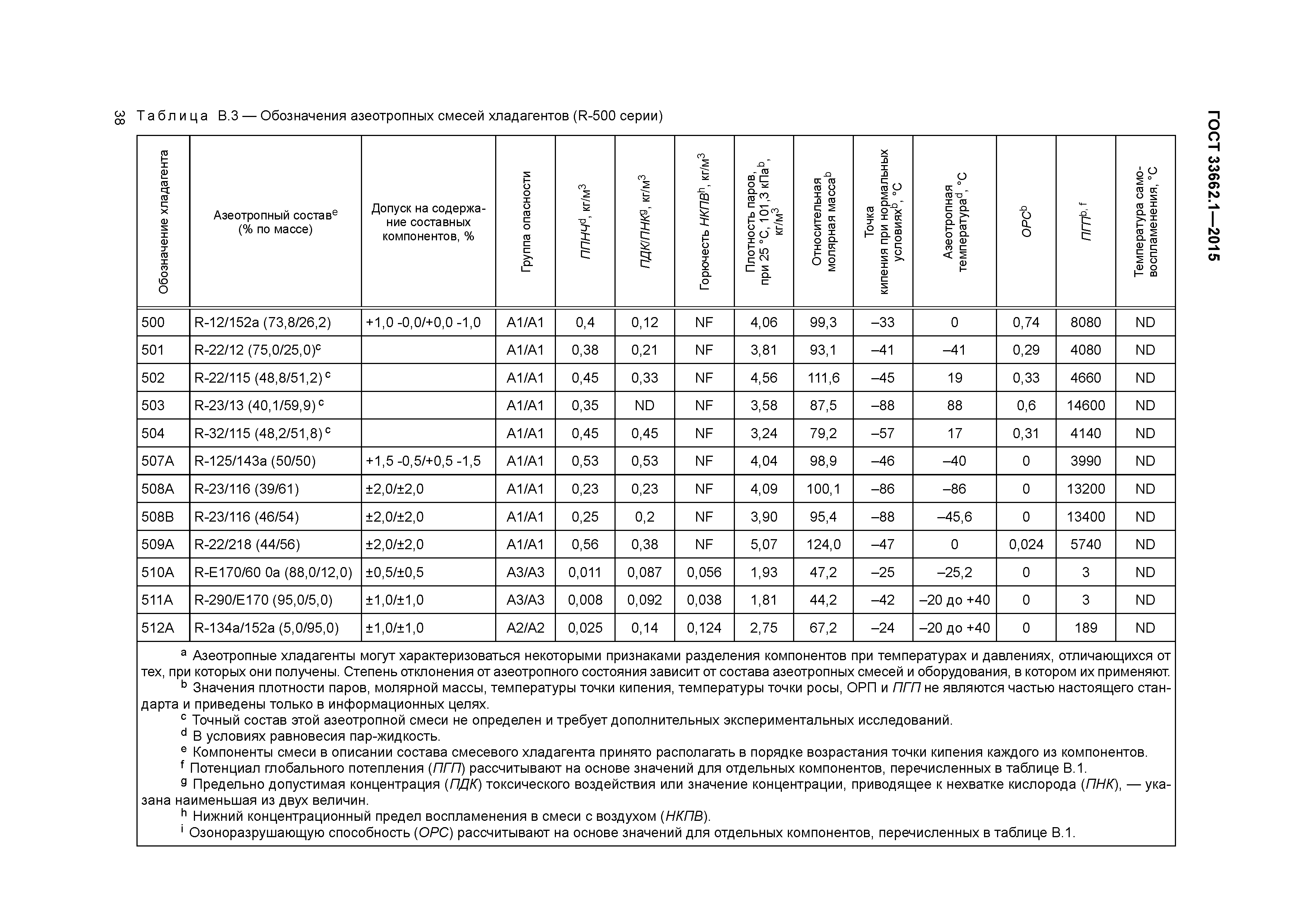
| Оглавление: | 1 Область применения 2 Нормативные ссылки 3 Термины и определения 4 Обозначения 5 Классификация 5.1 Классификация помещений 5.2 Классификация холодильных систем 5.3 Размещение оборудования 5.4 Классификация хладагентов 6 Количество хладагента в охлаждаемом (обогреваемом) помещении 7 Расчет объема помещения 8 Теплоноситель 8.1 Общие положения 8.2 Пищевая безопасность 8.3 Загрязнение воды и почвы 8.4 Воздействие на человека (токсичность) 8.5 Давление 8.6 Маркировка 8.7 Точка замерзания 8.8 Точка разложения 8.9 Точка воспламенения 8.10 Температура самовоспламенения 8.11 Тепловое расширение 8.12 Защита от коррозии Приложение А (обязательное) Размещение холодильных систем Приложение В (обязательное) Классификация хладагентов по группам опасности и сведения об их свойствах Приложение С (справочное) Возможные опасности в холодильных системах Приложение D (справочное) Соответствие терминов на русском и английском языках Приложение ДА (справочное) Сведения о соответствии ссылочных международных стандартов ссылочным межгосударственным стандартам Библиография |
| Разработан: | ВНИИНМАШ ТК 271 Установки холодильные ТК 061 Вентиляция и кондиционирование |
| Утверждён: | 10.12.2015 Межгосударственный Совет по стандартизации, метрологии и сертификации (Inter-Governmental Council on Standardization, Metrology, and Certification 48-2015) 02.06.2016 Федеральное агентство по техническому регулированию и метрологии (504-ст) |
| Издан: | Стандартинформ (2016 г. ) |
| Расположен в: | |
| Нормативные ссылки: |
|



















































