| ||||||||||||||||||||||||||||||||||
Скачать ГОСТ 33325-2015 Шум. Методы расчета уровней внешнего шума, излучаемого железнодорожным транспортомДата актуализации: 10.08.2017
|
| Обозначение: | ГОСТ 33325-2015 |
| Обозначение англ: | GOST 33325-2015 |
| Статус: | введен впервые |
| Название рус.: | Шум. Методы расчета уровней внешнего шума, излучаемого железнодорожным транспортом |
| Название англ.: | Noise. Calculation methods for external noise emitted by railway transport |
| Дата добавления в базу: | 01.02.2017 |
| Дата актуализации: | 05.05.2017 |
| Дата введения: | 01.03.2016 |
| Область применения: | Стандарт устанавливает методы расчета шума, создаваемого железнодорожным транспортом на местности, прилегающей к железно-дорожным путям, с учетом характеристик потоков железнодорожного транспорта, технического состояния пути, условий движения поездов и других условий, оказывающих влияние на распространение звука на местности. Стандарт распространяется на распространение звука по направлению ветра или при умеренной температурной инверсии ночью над землей. |
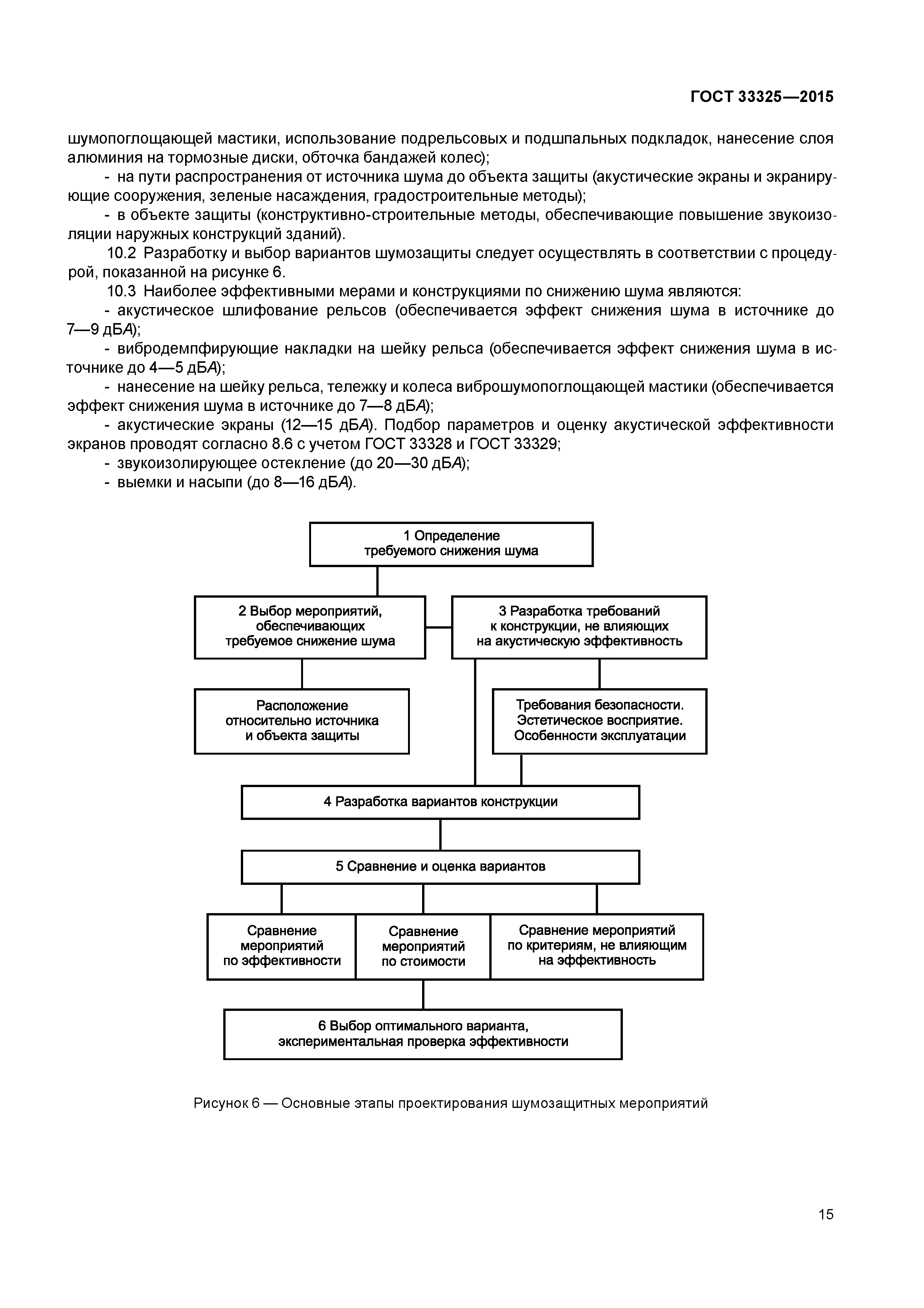
| Оглавление: | 1 Область применения 2 Нормативные ссылки 3 Термины и определения 4 Общие положения 5 Категории поездов, принимаемые в расчет 6 Расчет шумовых характеристик потоков железнодорожного транспорта в зависимости от категории поездов, их длины, скорости и интенсивности движения 6.1 Расчет эквивалентного уровня звука 6.2 Расчет максимального уровня звука 6.3 Расчет эквивалентных уровней звукового давления в октавных полосах частот 7 Коррекции в расчетах шумовых характеристик 7.1 Учет типа пути, наличия стыков и стрелок 7.2 Прохождение кривых участков пути 7.3 Ускорение, торможение и тип мостов 8 Расчет шума на примагистральной территории 8.1 Выбор расчетных точек 8.2 Оцениваемые параметры 8.3 Критерии оценки шума и определение требуемого снижения уровня шума 8.4 Снижение шума на пути распространения 8.5 Геометрическая дивергенция 8.6 Акустические экраны и экранирующие сооружения (здания, насыпи, выемки) 8.7 Отражение звука 9 Неопределенность задания шумовых характеристик и расчета шума 10 Выбор средств защиты от шума Приложение А (справочное) Примеры расчета шумовых характеристик поездов Приложение Б (справочное) Пример расчета максимального уровня звука поездов Библиография |
| Разработан: | НИИСФ РААСН ФГУП ВНИИНМАШ ООО Институт полимеров БГТУ ВОЕНМЕХ |
| Утверждён: | 18.06.2015 Межгосударственный Совет по стандартизации, метрологии и сертификации (Inter-Governmental Council on Standardization, Metrology, and Certification 47) 10.09.2015 Федеральное агентство по техническому регулированию и метрологии (1321-ст) |
| Издан: | Стандартинформ (2016 г. ) |
| Расположен в: | |
| Нормативные ссылки: |
|



























