Информационная система
«Ёшкин Кот»

Скачать базу одним архивом
Скачать обновления
История создания базы
Карта сайта

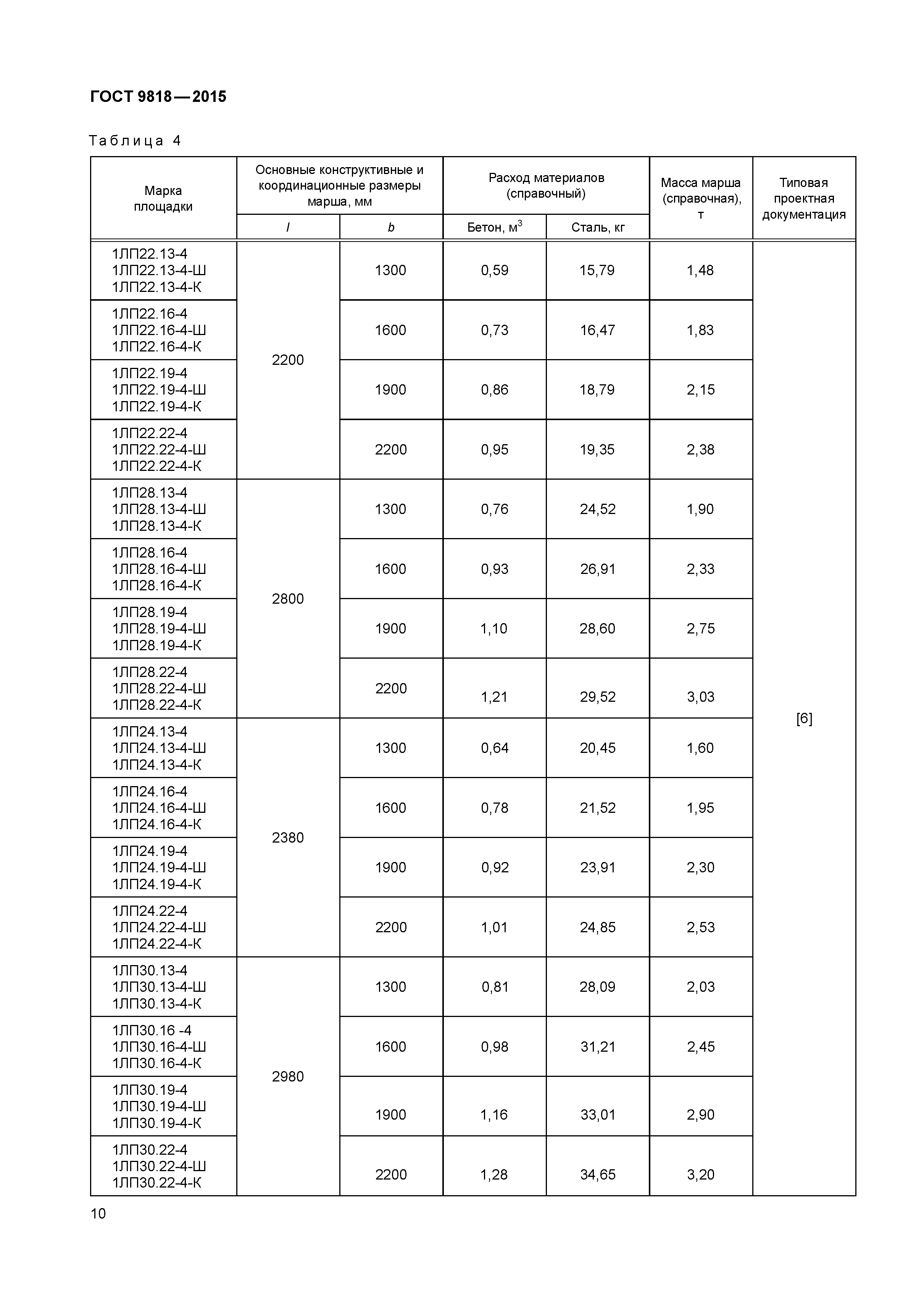
Скачать ГОСТ 9818-2015 Марши и площадки лестниц железобетонные. Технические условия

Дата актуализации: 10.08.2017

ГОСТ 9818-2015

Марши и площадки лестниц железобетонные. Технические условия

Обозначение: ГОСТ 9818-2015
Обозначение англ: GOST 9818-2015
Статус:взамен
Название рус.:Марши и площадки лестниц железобетонные. Технические условия
Название англ.:Reinforced concrete flights of steps and stair landings. General specifications
Дата добавления в базу:12.02.2016
Дата актуализации:05.05.2017
Дата введения:01.01.2016
Область применения:Стандарт устанавливает типы, основные параметры маршей и площадок лестниц, общие технические требования к ним, общие правила их приемки, методы контроля испытаний, маркировку, правила транспортирования и хранения. Стандарт распространяется на железобетонные марши, площадки и накладные проступи, изготовляемые из тяжелого бетона или легкого бетона (средней плотности от 1600 до 2000 кг/м куб. включительно) и предназначенные для устройства лестниц в зданиях различного назначения.
Оглавление:1 Область применения
2 Нормативные ссылки
3 Термины и определения
4 Типы, основные параметры и размеры
5 Технические требования
6 Правила приемки
7 Методы контроля и испытаний
8 Маркировка, транспортирование и хранение
Библиография
Разработан: АО ЦНИИЭП жилища - институт комплексного проектирования жилых и общественных зданий
Утверждён:29.05.2015 Межгосударственный Совет по стандартизации, метрологии и сертификации (Inter-Governmental Council on Standardization, Metrology, and Certification 77-П)
29.07.2015 Федеральное агентство по техническому регулированию и метрологии (1015-ст)
Издан: Стандартинформ (2015 г. )
Расположен в:Техническая документация Электроэнергия СТРОИТЕЛЬНЫЕ МАТЕРИАЛЫ И СТРОИТЕЛЬСТВО Конструкции зданий Бетонные конструкции Экология СТРОИТЕЛЬНЫЕ МАТЕРИАЛЫ И СТРОИТЕЛЬСТВО Конструкции зданий Бетонные конструкции Строительство Стандарты Другие государственные стандарты, применяемые в строительстве Строительные материалы и строительство Нормативные документы Документы Системы нормативных документов в строительстве Нормативные документы на строительные конструкции и изделия к.52 Железобетонные и бетонные конструкции
Заменяет собой:
Нормативные ссылки:
ГОСТ 9818-2015ГОСТ 9818-2015ГОСТ 9818-2015ГОСТ 9818-2015ГОСТ 9818-2015ГОСТ 9818-2015ГОСТ 9818-2015ГОСТ 9818-2015ГОСТ 9818-2015ГОСТ 9818-2015ГОСТ 9818-2015ГОСТ 9818-2015ГОСТ 9818-2015ГОСТ 9818-2015ГОСТ 9818-2015ГОСТ 9818-2015ГОСТ 9818-2015ГОСТ 9818-2015ГОСТ 9818-2015ГОСТ 9818-2015ГОСТ 9818-2015ГОСТ 9818-2015ГОСТ 9818-2015ГОСТ 9818-2015ГОСТ 9818-2015ГОСТ 9818-2015ГОСТ 9818-2015

© 2013 Ёшкин Кот :-) Карта сайта