| 
 Скачать СТО НОСТРОЙ 2.25.101-2013 Автомобильные дороги. Устройство, реконструкция и капитальный ремонт водопроводных труб. Часть 3. Трубы металлические. Устройство и реконструкцияДата актуализации: 10.08.2017   СТО НОСТРОЙ 2.25.101-2013
Автомобильные дороги. Устройство, реконструкция и капитальный ремонт водопроводных труб. Часть 3. Трубы металлические. Устройство и реконструкция| Обозначение: |  СТО НОСТРОЙ 2.25.101-2013 |  | Обозначение англ: |  2.25.101-2013 |  | Статус: | действует |  | Название рус.: | Автомобильные дороги. Устройство, реконструкция и капитальный ремонт водопроводных труб. Часть 3. Трубы металлические. Устройство и реконструкция |  | Название англ.: | Roads. Construction, reconstruction and major repair of water pipes. Part 3. Metal pipes. Construction and reconstruction |  | Дата добавления в базу: | 01.10.2014 |  | Дата актуализации: | 05.05.2017 |  | Область применения: | Стандарт распространяется на водопропускные металлические трубы на автомобильных дорогах во II — IУ дорожно-климатических зонах страны и устанавливает требования к выполнению работ по их устройству и реконструкции открытым способом. |  | Оглавление: | Введение 1 Область применения
 2 Нормативные ссылки
 3 Термины и определения
 4 Требования к материалам и изделиям
 4.1 Требования к металлическим конструкциям водопропускных труб
 4.2 Требования к материалам основания и обратной засыпки
 4.3 Требования к материалу защитного покрытия металлических водопропускных труб
 4.4 Требования к материалам оголовков и лотков труб
 5 Транспортирование и складирование элементов труб
 6 Технология устройства металлических водопропускных труб
 6.1 Общие положения
 6.2 Геодезические и разбивочные работы
 6.3 Устройство котлованов, противофильтрационных экранов и подготовка оснований
 6.4 Монтаж металлических конструкций трубы
 6.5 Устройство дополнительного защитного покрытия
 6.6 Устройство грунтовой обоймы и засыпка металлических водопропускных труб
 6.7 Устройство лотков
 6.8 Устройство оголовков, укрепление русла
 6.9 Особенности устройства многоочковых труб и труб с сечением, отличным от круглого
 6.10 Завершающие работы
 7 Реконструкция металлических водопропускных труб
 7.1 Общие требования
 7.2 Технологические и конструктивные особенности выполнения работ по реконструкции металлических водопропускных труб
 7.3 Технологические и конструктивные особенности выполнения работ по удлинению металлических водопропускных труб
 8 Контроль выполнения работ при устройстве и реконструкции металлических водопропускных труб
 9 Требования к безопасному выполнению работ
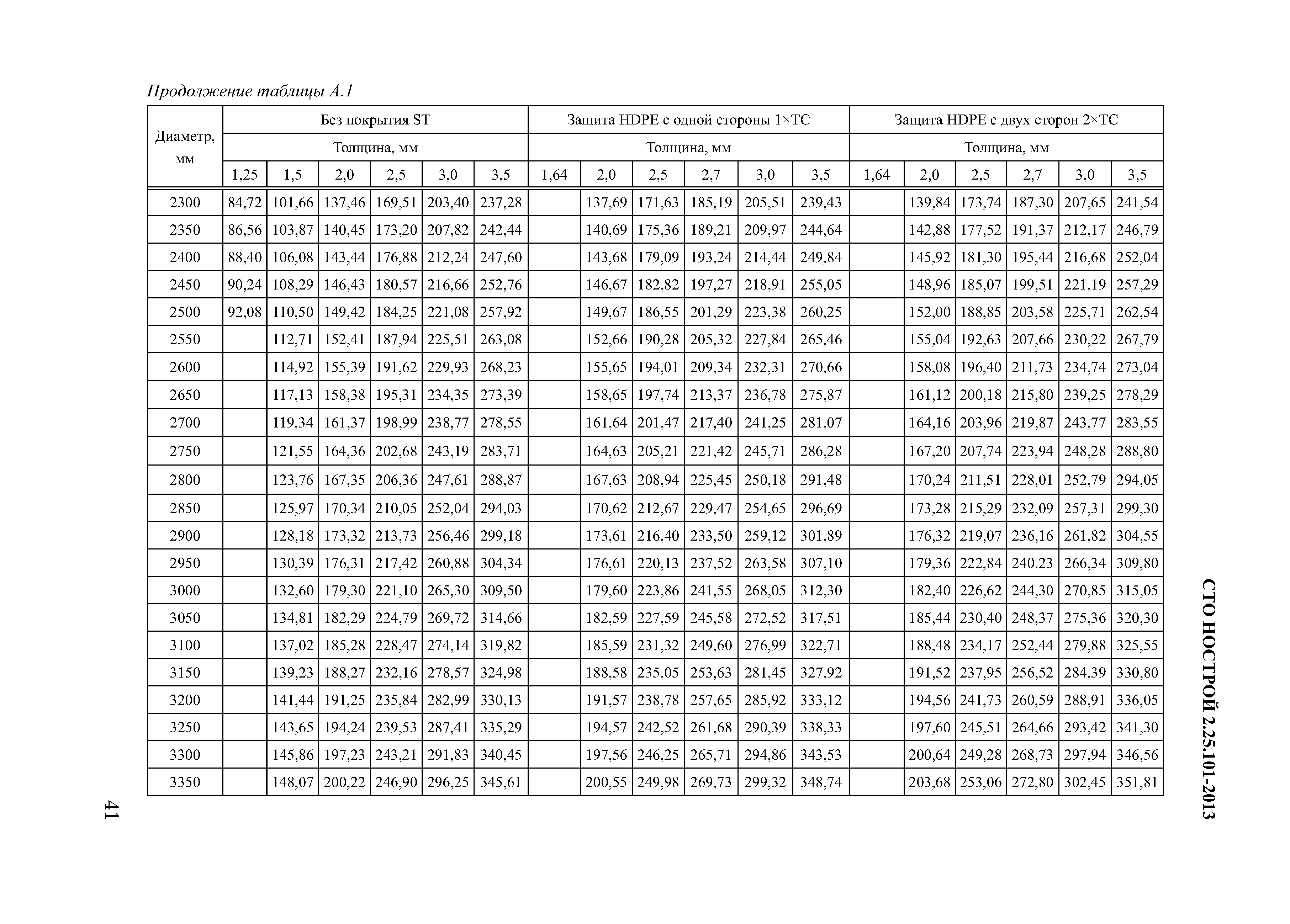
 Приложение А (справочное) Основные параметры и размеры металлических труб
 Приложение Б (рекомендуемое) Перечень основных машин, механизмов и инструмента для оснащения организации, строящей металлические трубы
 Приложение В (справочное) Определение влажности и плотности грунта
 Приложение Г (обязательное) Технологическая последовательность и схемы послойного уплотнения грунта засыпки металлических труб
 Приложение Д (справочное) Схемы арочно-лотковых металлических гофрированных труб
 Приложение Е (обязательное) Контролируемые параметры при устройстве и реконструкции металлических водопропускных труб
 Приложение Ж (обязательное) Правила безопасности при устройстве и реконструкции металлических водопропускных труб
 Библиография
 |  | Разработан: | НП МОД СОЮЗДОРСТРОЙ 
 |  | Утверждён: | 24.06.2013 Совет Национального объединения строителей (43) 
 |  | Издан: | Издательство БСТ (2013 г. ) 
 |  | Расположен в: | 
 |  | Список изменений: |  |  | Нормативные ссылки: |  | 
                                                                          
  Текстовое изменение дополнение
                          |