| ||||||||||||||||||||||||||||||||||
Скачать ГОСТ 30804.4.30-2013 Электрическая энергия. Совместимость технических средств электромагнитная. Методы измерений показателей качества электрической энергииДата актуализации: 10.08.2017
|
| Обозначение: | ГОСТ 30804.4.30-2013 |
| Обозначение англ: | GOST 30804.4.30-2013 |
| Статус: | действует |
| Название рус.: | Электрическая энергия. Совместимость технических средств электромагнитная. Методы измерений показателей качества электрической энергии |
| Название англ.: | Electric energy. Electromagnetic compatibility of technical equipment. Power quality measurement methods |
| Дата добавления в базу: | 01.10.2014 |
| Дата актуализации: | 05.05.2017 |
| Дата введения: | 01.01.2014 |
| Область применения: | Стандарт устанавливает методы измерений показателей качества электрической энергии (КЭ) в электрических сетях систем электроснабжения переменного тока частотой 50/60 Гц и порядок оценки результатов измерений. Настоящий стандарт применяют при измерениях показателей КЭ в электрических сетях: - систем электроснабжения общего назначения, присоединенных к Единой энергетической системе; - изолированных систем электроснабжения общего назначения; - систем электроснабжения промышленных предприятий и других объектов народного хозяйства, не относящихся к системам общего назначения, а также в электрических сетях, находящихся в собственности потребителей электрической энергии, подключенных к указанным системам электроснабжения. |
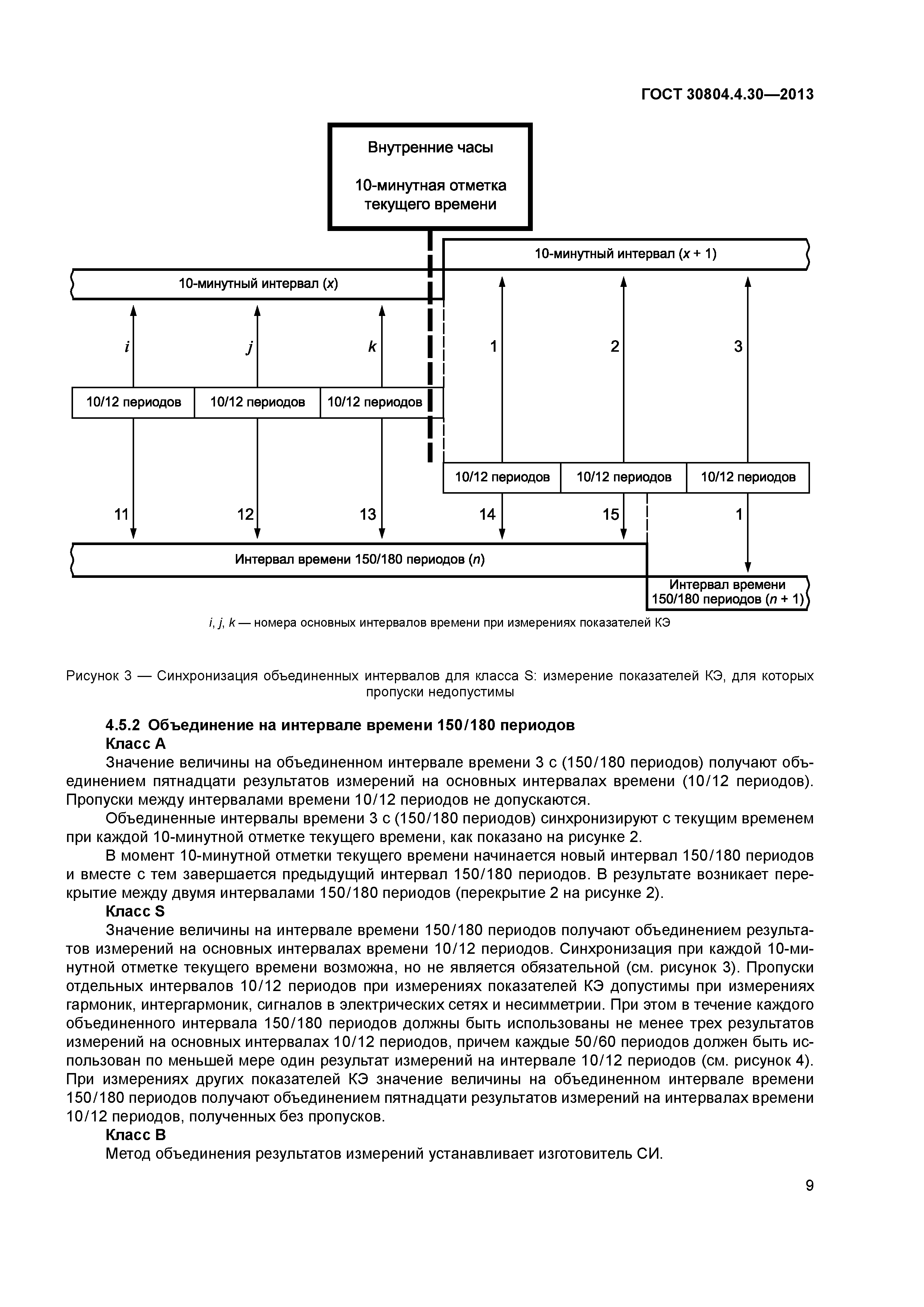
| Оглавление: | 1 Область применения 2 Нормативные ссылки 3 Термины и определения 4 Общие положения 4.1 Классы характеристик процесса измерений 4.2 Организация измерений 4.3 Измеряемые электрические величины 4.4 Объединение результатов измерений по времени 4.5 Алгоритм объединения результатов измерений 4.6 Неопределенность измерения текущего времени 4.7 Концепция маркирования 5 Показатели качества электрической энергии 5.1 Частота 5.2 Значение напряжения 5.3 Фликер 5.4 Провалы напряжения и перенапряжения 5.5 Прерывания напряжения 5.6 Переходные процессы напряжения 5.7 Несимметрия напряжений 5.8 Гармоники напряжения 5.9 Интергармоники напряжения 5.10 Напряжения сигналов в электрических сетях 5.11 Быстрые изменения напряжения 5.12 Измерения отрицательного и положительного отклонений напряжения 5.13 Установившееся отклонение напряжения в системах электроснабжения частотой 50 Гц 6 Область значений влияющих величин и подтверждение выполнения требований при неизменяющихся сигналах 6.1 Область значений влияющих величин 6.2 Подтверждение выполнения требований при неизменяющихся сигналах Приложение А (справочное) Измерение показателей качества электрической энергии - вопросы и рекомендации Приложение В (справочное) Измерения показателей качества электрической энергии - руководство по проведению Приложение С (справочное) Рекомендации по характеристикам средств измерений Приложение ДА (справочное) Сведения о соответствии межгосударственных стандартов ссылочным международным стандартам Библиография |
| Разработан: | ЗАО НИЦ САМТЭС |
| Утверждён: | 25.03.2013 Межгосударственный Совет по стандартизации, метрологии и сертификации (Inter-Governmental Council on Standardization, Metrology, and Certification 55-П) 22.07.2013 Федеральное агентство по техническому регулированию и метрологии (418-ст) |
| Издан: | Стандартинформ (2014 г. ) |
| Расположен в: | |
| Нормативные ссылки: |
|
























































