| ||||||||||||||||||||||||||||||||||||
Скачать ГОСТ IEC 60065-2011 Аудио-, видео- и аналогичная электронная аппаратура. Требования безопасностиДата актуализации: 10.08.2017
|
| Обозначение: | ГОСТ IEC 60065-2011 |
| Обозначение англ: | 60065-2011 |
| Статус: | заменен |
| Название рус.: | Аудио-, видео- и аналогичная электронная аппаратура. Требования безопасности |
| Название англ.: | Audio, video and similar electronic apparatus. Safety requirements |
| Дата добавления в базу: | 01.10.2014 |
| Дата актуализации: | 05.05.2017 |
| Дата введения: | 01.09.2015 |
| Область применения: | Стандарт распространяется на электронную аппаратуру, спроектированную для питания от сети, сетевых аппаратов, батарей или источников удаленного электропитания и предназначенную для приема, генерации, записи или воспроизведения соответственно звуковых, видео- и других подобных сигналов. Стандарт также распространяется на аппаратуру, спроектированную для применения только совместно с перечисленной выше аппаратурой. Стандарт устанавливает только требования безопасности указанной выше аппаратуры и не устанавливает других требований, таких как требования к конструкции или эксплуатационным характеристикам. Стандарт в основном распространяется на аппаратуру, предназначенную для бытового или аналогичного применения, но которая может также быть использована в местах массового скопления людей, таких как школы, театры, места паломничества и производственные помещения. На профессиональную аппаратуру, предназначенную для использования, как указано выше, также распространяются требования стандарта до тех пор, пока на нее не распространяются частные требования других стандартов. Стандарт распространяется на указанную выше аппаратуру, предназначенную для подключения к телекоммуникационной сети или аналогичным сетям, например с помощью встроенного модема. |
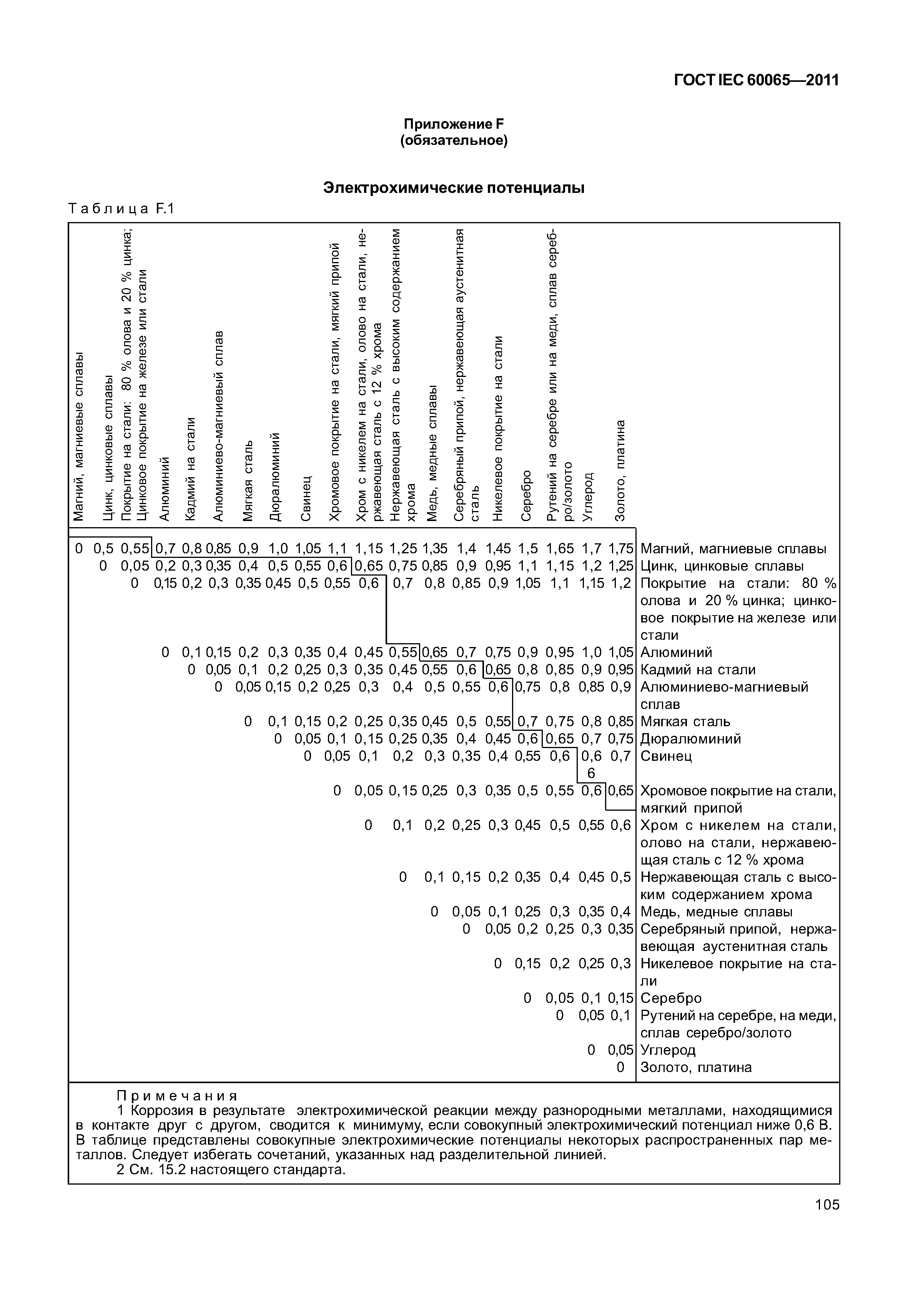
| Оглавление: | 1 Общие положения 1.1 Область применения 1.2 Нормативные ссылки 2 Термины и определения 3 Общие требования 4 Общие условия испытаний 5 Маркировка и инструкции 6 Опасные излучения 7 Нагрев при нормальных условиях работы 8 Требования к конструкции, обеспечивающие защиту от поражения электрическим током 9 Опасность поражения электрическим током при нормальных условиях эксплуатации 10 Требования к изоляции 11 Условия неисправностей 12 Механическая прочность 13 Зазоры и пути утечки 14 Компоненты 15 Соединители 16 Наружные гибкие шнуры 17 Электрические соединения и механические крепления 18 Механическая прочность кинескопа и защита от последствий взрыва 19 Устойчивость и механические опасности 20 Огнестойкость Приложение А (обязательное) дополнительные требования к аппаратуре, оснащенной защитой от брызг Приложение В (обязательное) Аппаратура, предназначенная для подключения к телекоммуникационным сетям Приложение С (обязательное) Полосовой фильтр для измерения широкополосного шума Приложение D (обязательное) Схема для измерения тока от прикосновения Приложение Е (обязательное) Измерение зазоров и путей утечки Приложение F (обязательное) Электрохимические потенциалы Приложение G (обязательное) Методы испытания на огнестойкость Приложение Н (обязательное) Изолированные намоточные провода для использования без межслоевой изоляции Приложение J (обязательное) Альтернативный метод определения минимальных зазоров Приложение К (обязательное) Испытательный генератор импульсов Приложение L (обязательное) Дополнительные требования к электронным лампам-вспышкам для фотографирования Приложение М (справочное) Примеры требований к программам контроля качества Приложение N (справочное) Периодические испытания Приложение ДА (справочное) Сведения о соответствии межгосударственных стандартов ссылочным международным стандартам Библиография |
| Разработан: | АНО НТЦ СЭ ИСЭП |
| Утверждён: | 29.11.2011 Межгосударственный Совет по стандартизации, метрологии и сертификации (Inter-Governmental Council on Standardization, Metrology, and Certification 40) 22.12.2011 Федеральное агентство по техническому регулированию и метрологии (1650-ст) |
| Издан: | Стандартинформ (2013 г. ) |
| Расположен в: | |
| Чем заменён: | |
| Нормативные ссылки: |
|


































































































































