Информационная система
«Ёшкин Кот»

Скачать базу одним архивом
Скачать обновления
История создания базы
Карта сайта

Скачать Технологическая карта К-9-2 Перекладка проводов из поддерживающих зажимов при демонтаже ВЛ 35 кВ

Дата актуализации: 10.08.2017

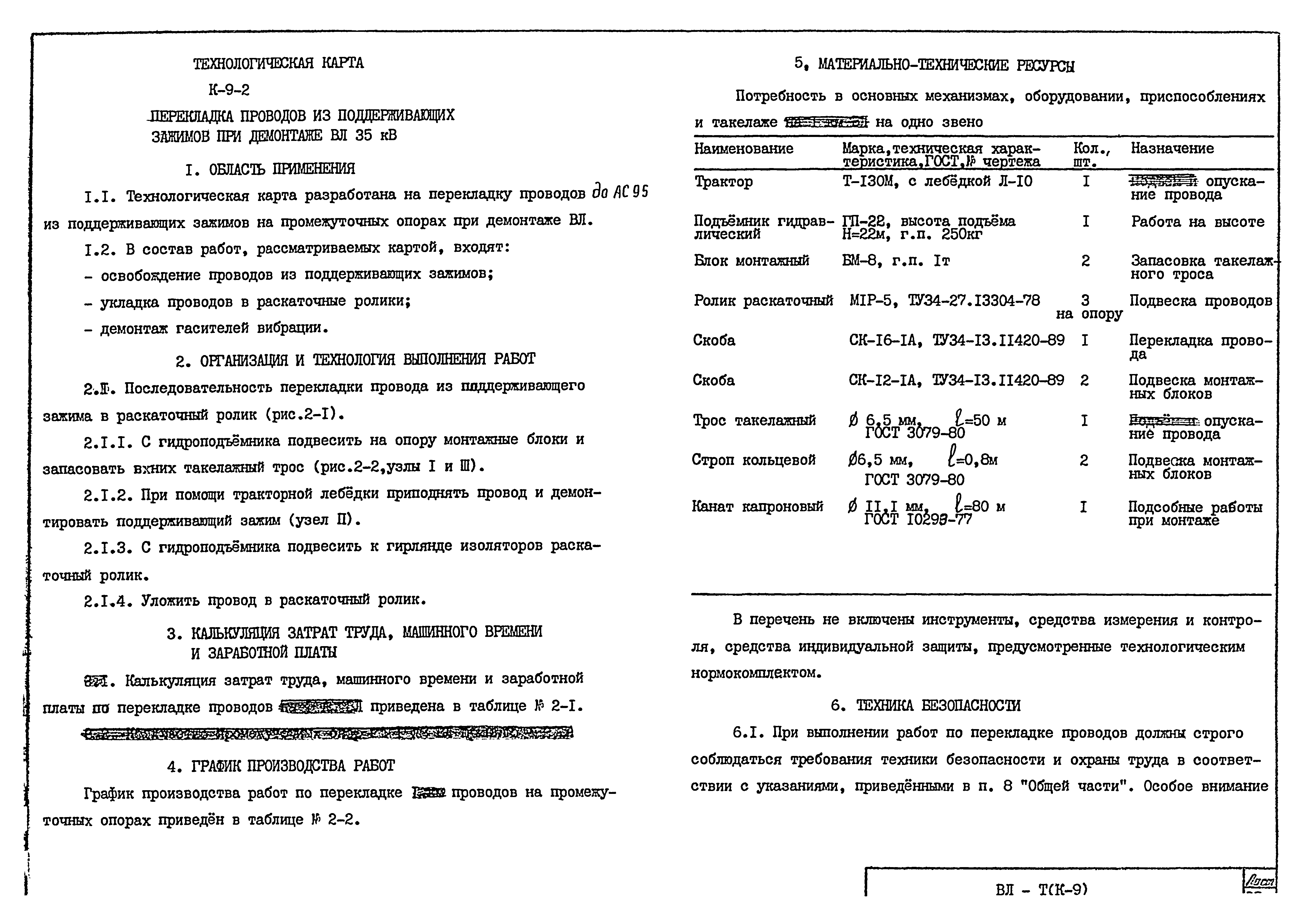
Технологическая карта К-9-2

Перекладка проводов из поддерживающих зажимов при демонтаже ВЛ 35 кВ

Обозначение: Технологическая карта К-9-2
Обозначение англ: К-9-2
Статус:cправочные материалы, мп, тпр
Название рус.:Перекладка проводов из поддерживающих зажимов при демонтаже ВЛ 35 кВ
Дата добавления в базу:01.09.2013
Дата актуализации:05.05.2017
Область применения:Технологическая карта разработана на перекладку проводов до АС 95 из поддерживающих зажимов на промежуточных опорах при демонтаже ВЛ
Оглавление:1. Область применения
2. Организация и технология выполнения работ
3. Калькуляция затрат труда, машинного времени и заработной платы
4. График производства работ
5. Материально-технические ресурсы
6. Техника безопасности
7. Технико-экономические показатели на перекладку проводов и грозозащитных тросов (на 1 опору)
Калькуляция затрат труда, машинного времени и заработной платы по перекладке проводов и грозозащитных тросов (при демонтаже ВЛ)
График производства работ по перекладке проводов и грозозащитных тросов
Рисунки
Разработан: Оргэнергострой
Утверждён:05.11.1991 Оргэнергострой
Расположен в:Техническая документация Строительство Справочные документы Технологические карты Линии электропередачи
Нормативные ссылки:
Технологическая карта К-9-2Технологическая карта К-9-2Технологическая карта К-9-2Технологическая карта К-9-2Технологическая карта К-9-2Технологическая карта К-9-2Технологическая карта К-9-2Технологическая карта К-9-2Технологическая карта К-9-2Технологическая карта К-9-2Технологическая карта К-9-2Технологическая карта К-9-2Технологическая карта К-9-2Технологическая карта К-9-2Технологическая карта К-9-2Технологическая карта К-9-2Технологическая карта К-9-2Технологическая карта К-9-2Технологическая карта К-9-2Технологическая карта К-9-2

© 2013 Ёшкин Кот :-) Карта сайта