Информационная система
«Ёшкин Кот»

Скачать базу одним архивом
Скачать обновления
История создания базы
Карта сайта

Скачать ГОСТ IEC 61107-2011 Обмен данными при считывании показаний счетчиков, тарификации и управлении нагрузкой. Прямой локальный обмен данными

Дата актуализации: 10.08.2017

ГОСТ IEC 61107-2011

Обмен данными при считывании показаний счетчиков, тарификации и управлении нагрузкой. Прямой локальный обмен данными

Обозначение: ГОСТ IEC 61107-2011
Обозначение англ: 61107-2011
Статус:действует
Название рус.:Обмен данными при считывании показаний счетчиков, тарификации и управлении нагрузкой. Прямой локальный обмен данными
Название англ.:Data exchange for meter reading, tariff and load control. Direct local data exchange
Дата добавления в базу:01.10.2014
Дата актуализации:05.05.2017
Дата введения:01.01.2013
Область применения:Стандарт устанавливает требования, предъявляемые к аппаратным средствам и протоколам для локальных систем. Требования стандарта не распространяются на дистанционные системы. Стандарт распространяется на прямые локальные системы, в которых портативное считывающее устройство (ПСУ) соединяется с одним или группой тарифных устройств. Соединение может быть постоянным или разъемным. Возможны как электрические, так и оптические соединители. Электрический контакт рекомендуется использовать при постоянном соединении. Оптический соединитель должен быть легко отключаемым, чтобы обеспечить сбор данных с помощью ПСУ.
Оглавление:1 Общие положения
   1.1 Область применения
   1.2 Нормативные ссылки
2 Термины и определения
3 Физические свойства
   3.1 Электрический интерфейс
   3.2 Оптический интерфейс
4 Передача символов
   4.1 Тип передачи
   4.2 Скорость передачи
   4.3 Качество сигнала
   4.4 Формат символов
   4.5 Код символов
   4.6 Защита символов
5 Протокол передачи данных
   5.1 Общие положения
   5.2 Вычисление контрольного символа блока
   5.3 Форматы сообщений
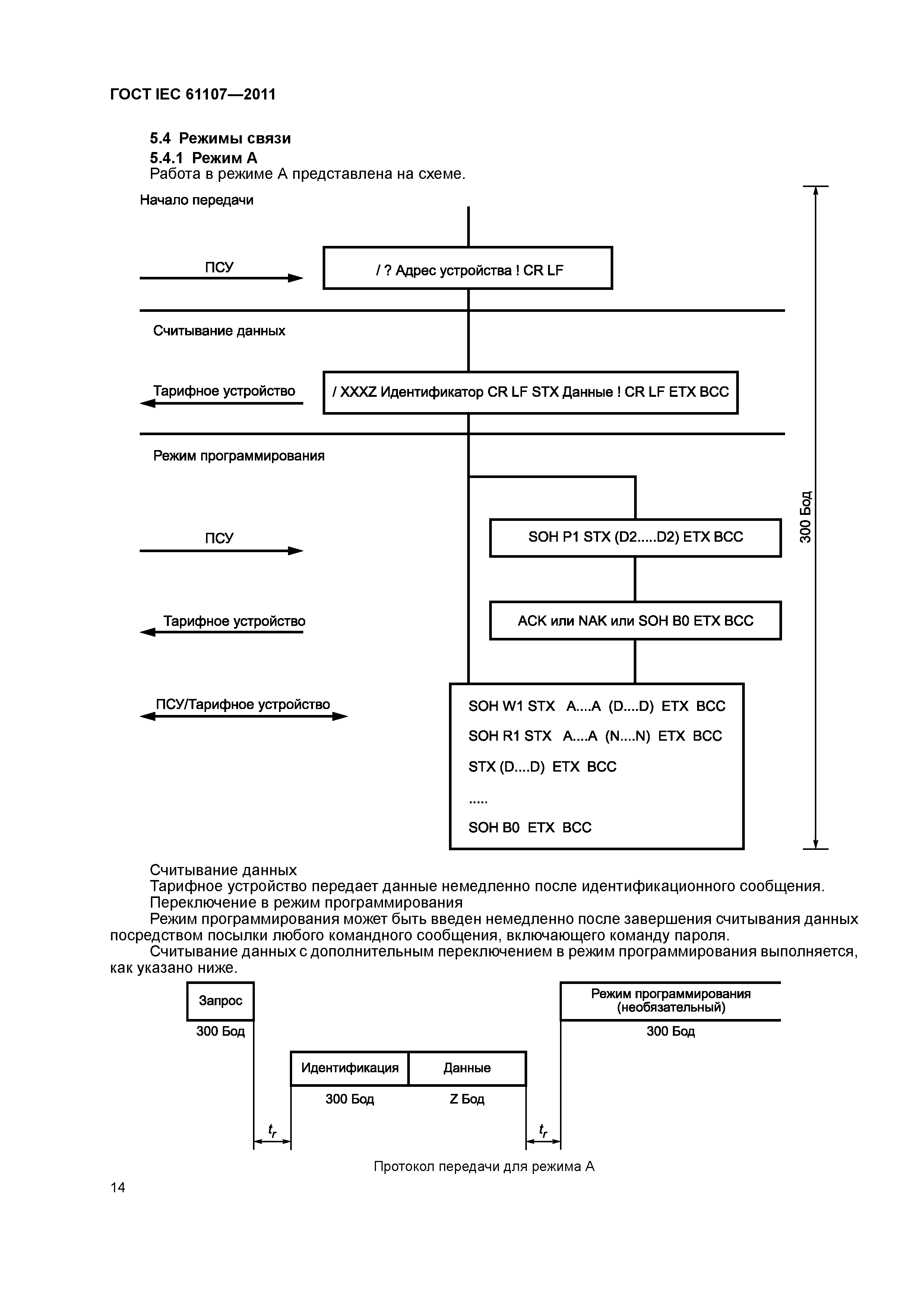
   5.4 Режимы связи
   5.5 Синтаксические диаграммы
   5.6 Структура набора данных
Приложение А (обязательное) Блок-схема алгоритма для протокола прямого локального обмена данными, режим С
Приложение В (обязательное) Требования к тарифным устройствам, питаемым от батарей
Приложение С (справочное) Сформатированные коды
Приложение ДА (справочное) Сведения о соответствии межгосударственных стандартов ссылочным международным стандартам
Разработан: ФГУП ВНИИНМАШ
Утверждён:29.11.2011 Межгосударственный Совет по стандартизации, метрологии и сертификации (Inter-Governmental Council on Standardization, Metrology, and Certification 40)
13.12.2011 Федеральное агентство по техническому регулированию и метрологии (1235-ст)
Издан: Стандартинформ (2014 г. )
Расположен в:Техническая документация Электроэнергия СТРОИТЕЛЬНЫЕ МАТЕРИАЛЫ И СТРОИТЕЛЬСТВО Установки в зданиях Системы электроснабжения ТЕЛЕКОММУНИКАЦИИ. АУДИО-И ВИДЕОТЕХНИКА Телекоммуникационные системы Сети передачи данных МЕТРОЛОГИЯ И ИЗМЕРЕНИЯ. ФИЗИЧЕСКИЕ ЯВЛЕНИЯ Электричество. Магнетизм. Электрические и магнитные измерения Измерения электрических и магнитных величин Экология СТРОИТЕЛЬНЫЕ МАТЕРИАЛЫ И СТРОИТЕЛЬСТВО Установки в зданиях Системы электроснабжения ТЕЛЕКОММУНИКАЦИИ. АУДИО-И ВИДЕОТЕХНИКА Телекоммуникационные системы Сети передачи данных МЕТРОЛОГИЯ И ИЗМЕРЕНИЯ. ФИЗИЧЕСКИЕ ЯВЛЕНИЯ Электричество. Магнетизм. Электрические и магнитные измерения Измерения электрических и магнитных величин Строительство Стандарты Другие государственные стандарты, применяемые в строительстве Метрология и измерения. Физические явления
Нормативные ссылки:
ГОСТ IEC 61107-2011ГОСТ IEC 61107-2011ГОСТ IEC 61107-2011ГОСТ IEC 61107-2011ГОСТ IEC 61107-2011ГОСТ IEC 61107-2011ГОСТ IEC 61107-2011ГОСТ IEC 61107-2011ГОСТ IEC 61107-2011ГОСТ IEC 61107-2011ГОСТ IEC 61107-2011ГОСТ IEC 61107-2011ГОСТ IEC 61107-2011ГОСТ IEC 61107-2011ГОСТ IEC 61107-2011ГОСТ IEC 61107-2011ГОСТ IEC 61107-2011ГОСТ IEC 61107-2011ГОСТ IEC 61107-2011ГОСТ IEC 61107-2011ГОСТ IEC 61107-2011ГОСТ IEC 61107-2011ГОСТ IEC 61107-2011ГОСТ IEC 61107-2011ГОСТ IEC 61107-2011ГОСТ IEC 61107-2011ГОСТ IEC 61107-2011ГОСТ IEC 61107-2011ГОСТ IEC 61107-2011ГОСТ IEC 61107-2011ГОСТ IEC 61107-2011ГОСТ IEC 61107-2011ГОСТ IEC 61107-2011ГОСТ IEC 61107-2011ГОСТ IEC 61107-2011ГОСТ IEC 61107-2011ГОСТ IEC 61107-2011ГОСТ IEC 61107-2011ГОСТ IEC 61107-2011ГОСТ IEC 61107-2011ГОСТ IEC 61107-2011ГОСТ IEC 61107-2011ГОСТ IEC 61107-2011ГОСТ IEC 61107-2011ГОСТ IEC 61107-2011ГОСТ IEC 61107-2011ГОСТ IEC 61107-2011ГОСТ IEC 61107-2011ГОСТ IEC 61107-2011ГОСТ IEC 61107-2011

© 2013 Ёшкин Кот :-) Карта сайта