| Обозначение: | ГОСТ Р 51992-2011 |
| Обозначение англ: | GOST R 51992-2011 |
| Статус: | действует |
| Название рус.: | Устройства защиты от импульсных перенапряжений низковольтные. Часть 1. Устройства защиты от импульсных перенапряжений в низковольтных силовых распределительных системах. Технические требования и методы испытаний |
| Название англ.: | Low-voltage surge protective devices. Part 1. Surge protective devices connected to low-voltage power distribution systems. Requirements and test methods |
| Дата добавления в базу: | 01.09.2013 |
| Дата актуализации: | 05.05.2017 |
| Дата введения: | 01.07.2012 |
| Область применения: | Стандарт распространяется на устройства защиты электрических сетей и электрооборудования при прямом или косвенном воздействии грозовых или иных переходных перенапряжений. Данные устройства предназначены для подсоединения к силовым цепям переменного тока частотой 50 - 60 Гц или постоянного тока и к оборудованию с номинальным напряжением до 1000 В (действующее значение) или 1500 В постоянного тока. Рабочие характеристики, стандартные методы испытаний и номинальные параметры установлены для таких устройств, которые содержат по крайней мере один нелинейный элемент, предназначенный для ограничения перенапряжений и отвода импульсных токов. |
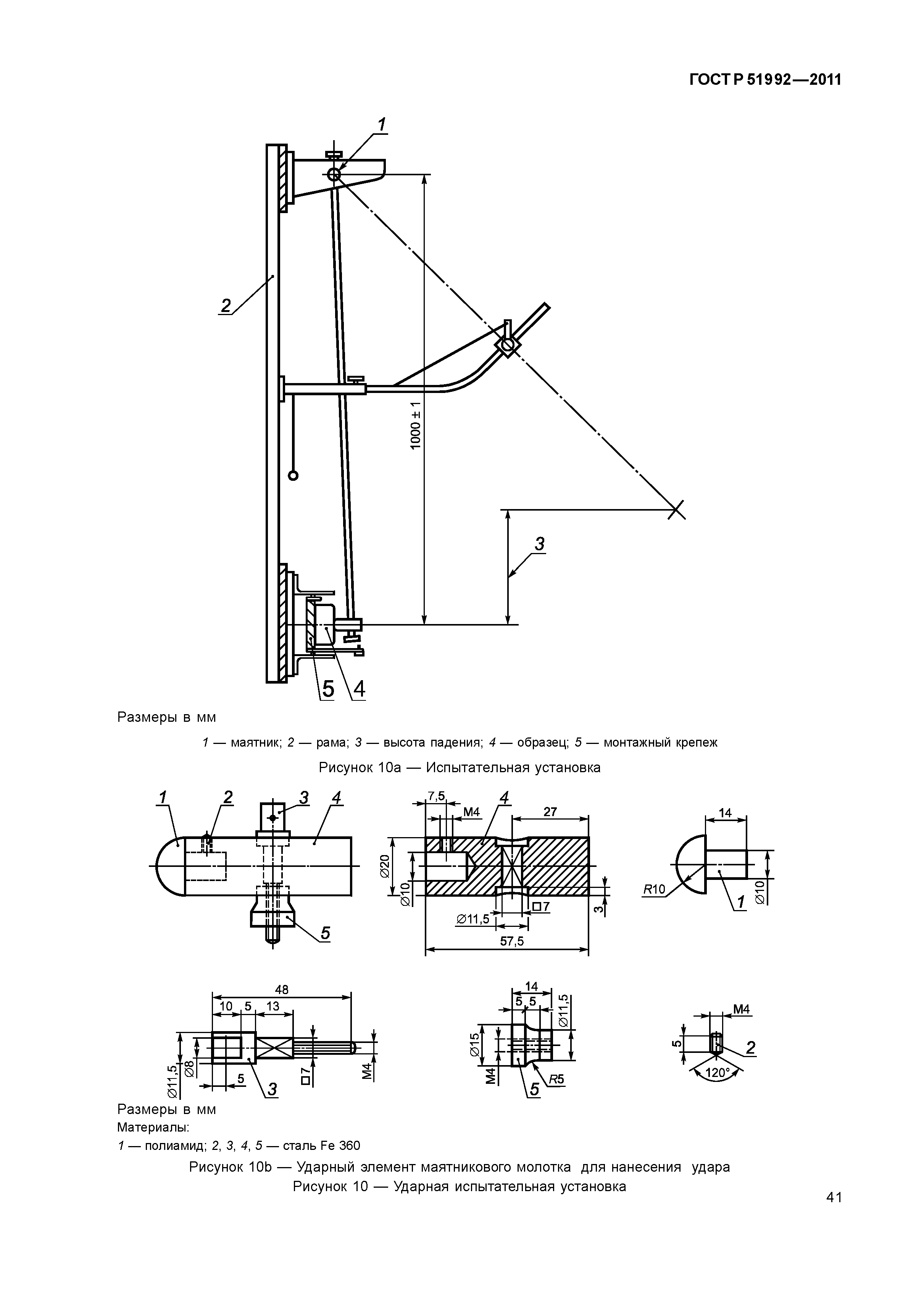
| Оглавление: | 1 Общие положения 1.1 Область применения 1.2 Нормативные ссылки 2 Условия эксплуатации 2.1 Нормальные условия эксплуатации 2.2 Аномальные условия эксплуатации 3 Термины и определения 4 Классификация 5 Стандартные параметры 6 Требования 6.1 Общие требования 6.2 Требования к электрической части 6.3 Требования к механической части 6.4 Требования к условиям окружающей среды 6.5 Требования безопасности 6.6 Дополнительные требования к испытаниям двухвводных УЗИП и одновводных УЗИП с раздельными вводным и выводным выводами 7 Типовые испытания 7.1 Общие условия испытаний 7.2 Идентификация и маркировка 7.3 Выводы и соединения 7.4 Испытание защиты от прямого прикосновения 7.5 Определение измеренного предельного напряжения 7.6 Испытание в рабочем режиме 7.7 Разъединители УЗИП и безопасная работоспособность УЗИП при перегрузке 7.8 Испытание двух- и одновводных УЗИП с раздельными вводными и выводными выводами 7.9 Дополнительные испытания 8 Контрольные и приемочные испытания 8.1 Контрольные испытания 8.2 Приемочные испытания Приложение А (рекомендуемое) Пример проведения испытаний УЗИП класса 1 Приложение В (обязательное) Значения временного перенапряжения (ВПН) Приложение ДА (обязательное) Дополнительные требования, учитывающие потребности экономики страны и требования национальных стандартов на электротехнические изделия Приложение ДБ (справочное) Сведения о соответствии ссылочных национальных и межгосударственных стандартов международным стандартам, использованным в качестве ссылочных в примененном международном стандарте Библиография |
| Разработан: | ООО ВНИИэлектроаппарат
|
| Утверждён: | 13.09.2011 Федеральное агентство по техническому регулированию и метрологии (295-ст)
|
| Издан: | Стандартинформ (2012 г. )
|
| Расположен в: |
|
| Заменяет собой: | |
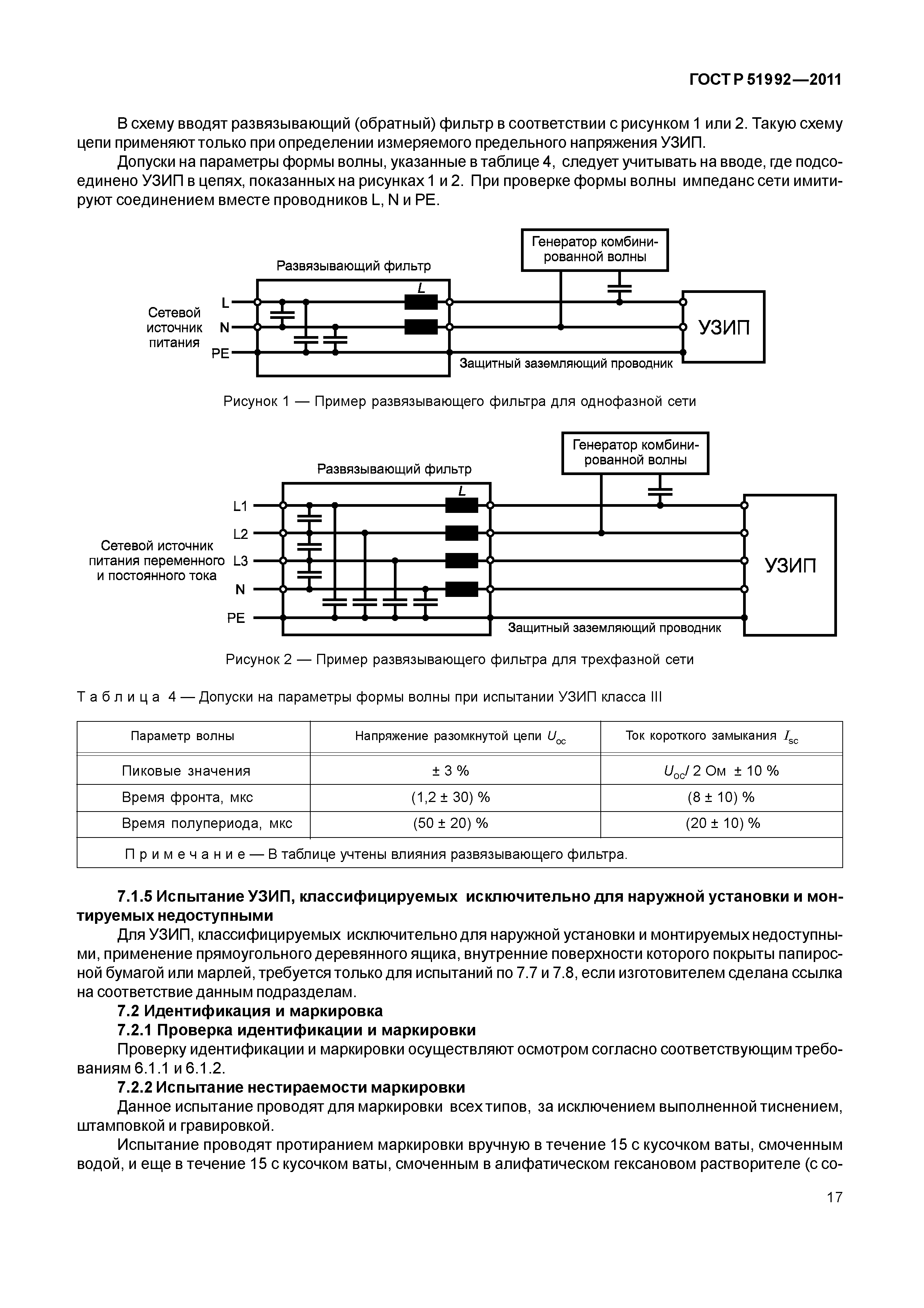
| Нормативные ссылки: |   ГОСТ 15150-69 «Машины, приборы и другие технические изделия. Исполнения для различных климатических районов. Категории, условия эксплуатации, хранения и транспортирования в части воздействия климатических факторов внешней среды»  ГОСТ 16504-81 «Система государственных испытаний продукции. Испытания и контроль качества продукции. Основные термины и определения»  ГОСТ 14254-96 «Степени защиты, обеспечиваемые оболочками (код IP)»  ГОСТ 9.005-72 «Единая система защиты от коррозии и старения. Металлы, сплавы, металлические и неметаллические неорганические покрытия. Допустимые и недопустимые контакты с металлами и неметаллами»  ГОСТ 27483-87 «Испытания на пожароопасность. Методы испытаний. Испытания нагретой проволокой»  ГОСТ 27473-87 «Материалы электроизоляционные твердые. Метод определения сравнительного и контрольного индексов трекингостойкости во влажной среде»  ГОСТ Р 15.201-2000 «Система разработки и постановки продукции на производство. Продукция производственно-технического назначения. Порядок разработки и постановки продукции на производство»  ГОСТ 17441-84 «Соединения контактные электрические. Приемка и методы испытаний»  ГОСТ 18620-86 «Изделия электротехнические. Маркировка»  ГОСТ 12.2.007.6-75 «Система стандартов безопасности труда. Аппараты электрические коммутационные на напряжение до 1000 В. Требования безопасности»  ГОСТ 16962.1-89 «Изделия электротехнические. Методы испытаний на устойчивость к климатическим внешним воздействующим факторам» ГОСТ 16962.2-90 «Изделия электротехнические. Методы испытаний на стойкость к механическим внешним воздействующим факторам»  ГОСТ 17516.1-90 «Изделия электротехнические. Общие требования в части стойкости к механическим внешним воздействующим факторам» ГОСТ 23216-78 «Изделия электротехнические. Хранение, транспортирование, временная противокоррозионная защита, упаковка. Общие требования и методы испытаний»  ГОСТ 24622-91 «Пластмассы. Определение твердости. Твердость по Роквеллу» ГОСТ Р 51322.1-99 «Соединители электрические штепсельные бытового и аналогичного назначения. Часть 1. Общие требования и методы испытаний»  ГОСТ Р 50571.26-2002 «Электроустановки зданий. Часть 5. Выбор и монтаж электрооборудования. Раздел 534. Устройство для защиты от импульсивных перенапряжений»  ГОСТ Р 51686.1-2000 «Соединительные устройства. Требования безопасности к контактным зажимам. Часть 1. Требования к винтовым и безвинтовым контактным зажимам для соединения медных проводников с номинальным сечением от 0,2 до 35 мм кв.»  ГОСТ Р 51686.2-2000 «Соединительные устройства. Требования безопасности к контактным зажимам. Часть 2. Дополнительные требования к винтовым и безвинтовым контактным зажимам для соединения медных проводников с номинальным сечением от 35 до 300 мм2»  ГОСТ Р 50030.1-2007 «Аппаратура распределения и управления низковольтная. Часть 1. Общие требования»  ГОСТ Р 50345-2010 «Аппаратура малогабаритная электрическая. Автоматические выключатели для защиты от сверхтоков бытового и аналогичного назначения. Часть 1. Автоматические выключатели для переменного тока»  ГОСТ Р 1.0-2004 «Стандартизация в Российской Федерации. Основные положения»  ГОСТ Р 50030.5.1-2005 «Аппаратура распределения и управления низковольтная. Часть 5. Аппараты и коммутационные элементы цепей управления. Глава 1. Электромеханические аппараты для цепей управления»  ГОСТ Р 52997-2008 «Хризотил. Правила приемки, методы отбора и подготовки проб для испытаний»  ГОСТ Р 51322.1-2011 «Соединители электрические штепсельные бытового и аналогичного назначения. Часть 1. Общие требования и методы испытаний» ГОСТ Р 51992-2002 «Устройства для защиты от импульсных перенапряжений в низковольтных силовых распределительных системах. Часть 1. Требования к работоспособности и методы испытаний»  ГОСТ 15543.1-89 «Изделия электротехнические и другие технические изделия. Общие требования в части стойкости к климатическим внешним воздействующим факторам» Федеральный закон 184-ФЗ «О техническом регулировании»
|