Скачать Сборник 6. Технологические карты на осуществление контроля качества работ при монтаже металлических конструкций (к Практическому пособию по организации и осуществлению строительного контроля заказчика (технического надзора) за строительством объектов капитального строительства). Книга 2 (приложения)Дата актуализации: 10.08.2017
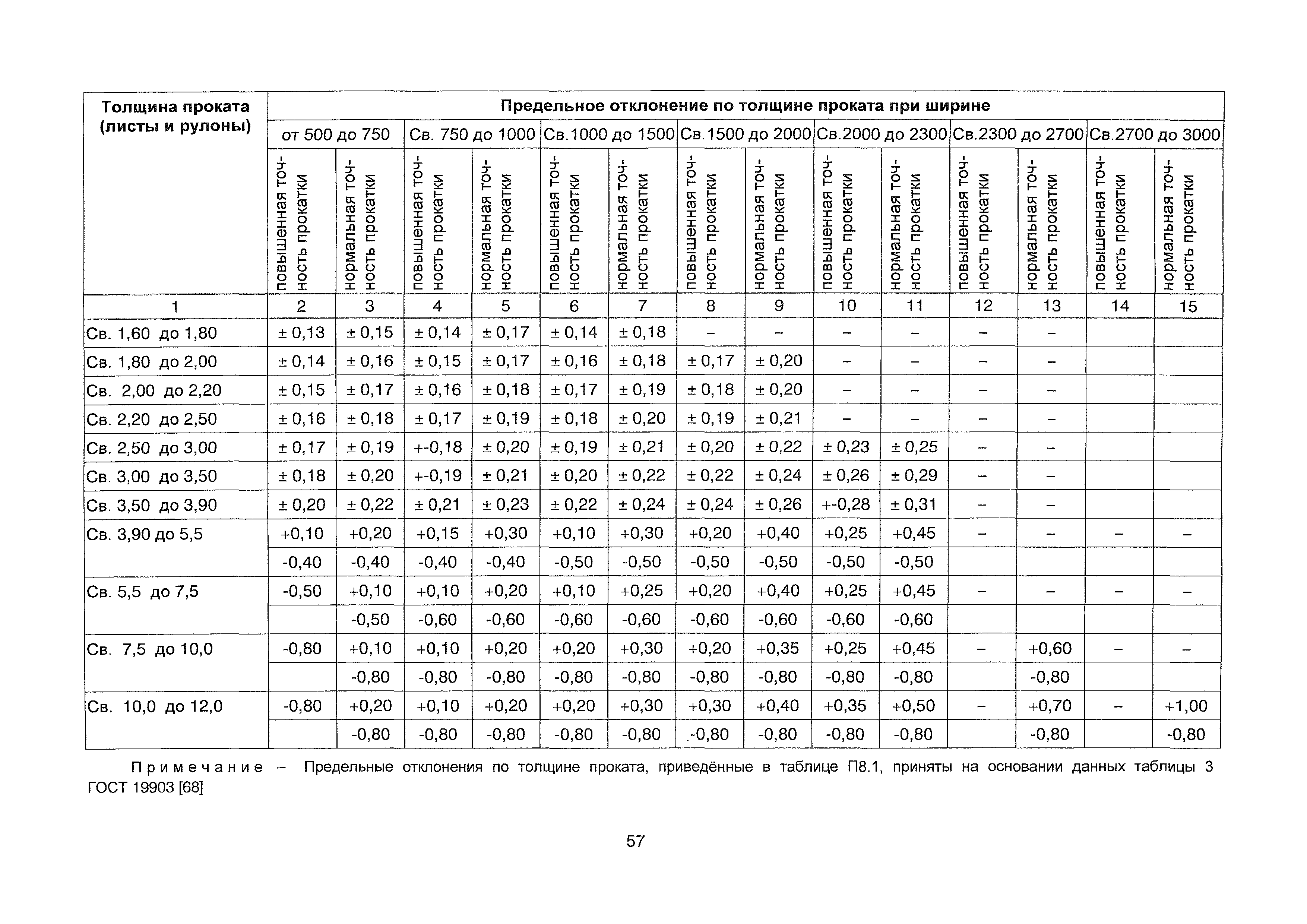
Сборник 6. Технологические карты на осуществление контроля качества работ при монтаже металлических конструкций (к Практическому пособию по организации и осуществлению строительного контроля заказчика (технического надзора) за строительством объектов капитального строительства). Книга 2 (приложения)| Статус: | не установлен срок действия | | Название рус.: | Сборник 6. Технологические карты на осуществление контроля качества работ при монтаже металлических конструкций (к Практическому пособию по организации и осуществлению строительного контроля заказчика (технического надзора) за строительством объектов капитального строительства). Книга 2 (приложения) | | Дата добавления в базу: | 01.09.2013 | | Дата актуализации: | 05.05.2017 | | Область применения: | В Сборнике рассмотрены общие вопросы контроля качества работ основных видов работ по монтажу стальных строительных конструкций, а также по монтажу вертикальных цилиндрических стальных резервуаров для нефти и нефтепродуктов. Сборник предназначен для специалистов служб заказчика (застройщика), осуществляющих технический надзор за строительством объектов капитального строительства, и может быть полезен для иных субъектов инвестиционной деятельности (проектировщиков, строительных подрядчиков), принимающих участие в разработке и реализации инвестиционных проектов. | | Оглавление: | Приложение 1. Технологические карты на осуществление контроля качества работ при монтаже металлических конструкций Приложение 2. Классификация дефектов по основным видам работ при монтаже стальных конструкций и при их изготовлении на предприятиях строительной индустрии Приложение 3. Форма журнала учёта результатов входного контроля Приложение 4. Форма документа о качестве стальных строительных конструкций Приложение 5. Предельные отклонения от проектных размеров в конструкциях каркасов зданий и сооружений Приложение 6. Технические требования к качеству лакокрасочного покрытия Приложение 7. Методы определения блеска и дефектов покрытий Приложение 8. Предельные отклонения по толщине проката, изготовляемого в листах и рулонах Приложение 9. Состав и содержание документа о качестве металлопродукции Приложение 10. Предельные отклонения по размерам и форме поперечного сечения фасонного проката (уголки, двутавры, швеллеры) Приложение 11. Состав и содержание документа о качестве электродов Приложение 12. Форма журнала пооперационного контроля монтажно-сварочных работ при сооружении вертикального цилиндрического резервуара Приложение 13. Форма протокола качества на конструкции резервуара Приложение 14. Форма акта приёмки металлоконструкций резервуара в монтаже Приложение 15. Форма акта на приёмку оснований и фундаментов резервуара Приложение 16. Виды сварных соединений, швов, а также характерные виды дефектов, выявляемых при визуальном и измерительном контроле Приложение 17. Методы контроля сварных соединений металлоконструкций резервуаров Приложение 18. Перечень документации, представляемой при предъявлении резервуара к прочностным испытаниям Приложение 19. Форма акта контроля качества смонтированных (собранных) конструкций резервуара Приложение 20. Форма заключения о качестве сварных соединений по результатам радиографического контроля Приложение 21. Форма акта гидравлического испытания резервуара Приложение 22. Форма акта испытания резервуара на внутреннее избыточное давление и вакуум Приложение 23. Форма акта завершения монтажа (сборки) конструкций Приложение 24. Предельные отклонения фактического положения смонтированных конструкций Приложение 25. Рекомендуемая технологическая последовательность процедур осуществления контроля качества сварных соединений резервуара Приложение 26. Форма паспорта стального вертикального цилиндрического резервуара Библиография | | Разработан: | ОАО Центринвестпроект
| | Утверждён: | ОАО ЦЕНТРИНВЕСТпроект
| | Издан: | ОАО Центринвестпроект (2012 г. )
| | Расположен в: |
| | Нормативные ссылки: |   СНиП 3.01.03-84 «Геодезические работы в строительстве»  СНиП 2.03.11-85 «Защита строительных конструкций от коррозии»  СНиП 3.04.03-85 «Защита строительных конструкций и сооружений от коррозии»  СНиП 3.03.01-87 «Несущие и ограждающие конструкции»  ГОСТ 21779-82 «Система обеспечения точности геометрических параметров в строительстве. Технологические допуски»  ГОСТ 23616-79 «Система обеспечения точности геометрических параметров в строительстве. Контроль точности»  ГОСТ 26047-83 «Конструкции строительные стальные. Условные обозначения (марки)»  ГОСТ 2246-70 «Проволока стальная сварочная. Технические условия»  ГОСТ 3242-79 «Соединения сварные. Методы контроля качества»  ГОСТ 5264-80 «Ручная дуговая сварка. Соединения сварные. Основные типы, конструктивные элементы и размеры»  ГОСТ 6996-66 «Сварные соединения. Методы определения механических свойств»  ГОСТ 7511-73 «Профили стальные для оконных и фонарных переплетов и оконных панелей промышленных зданий. Технические условия»  ГОСТ 7512-82 «Контроль неразрушающий. Соединения сварные. Радиографический метод»  ГОСТ 7566-94 «Металлопродукция. Приемка, маркировка, упаковка, транспортирование и хранение»  ГОСТ 8239-89 «Двутавры стальные горячекатаные. Сортамент»  ГОСТ 8509-93 «Уголки стальные горячекатаные равнополочные. Сортамент»  ГОСТ 8510-86 «Уголки стальные горячекатаные неравнополочные. Сортамент»  ГОСТ 8568-77 «Листы стальные с ромбическим и чечевичным рифлением. Технические условия»  ГОСТ 8713-79 «Сварка под флюсом. Соединения сварные. Основные типы, конструктивные элементы и размеры»  ГОСТ 9466-75 «Электроды покрытые металлические для ручной дуговой сварки сталей и наплавки. Классификация и общие технические условия»  ГОСТ 9467-75 «Электроды покрытые металлические для ручной дуговой сварки конструкционных и теплоустойчивых сталей. Типы»  ГОСТ 11474-76 «Профили стальные гнутые. Технические условия»  ГОСТ 14637-89 «Прокат толстолистовой из углеродистой стали обыкновенного качества. Технические условия»  ГОСТ 14782-86 «Контроль неразрушающий. Соединения сварные. Методы ультразвуковые»  ГОСТ 16523-97 «Прокат тонколистовой из углеродистой стали качественной и обыкновенного качества общего назначения. Технические условия»  ГОСТ 19425-74 «Балки двутавровые и швеллеры стальные специальные. Сортамент»  ГОСТ 19903-74 «Прокат листовой горячекатаный. Сортамент»  ГОСТ 19904-90 «Прокат листовой холоднокатаный. Сортамент»  ГОСТ 20426-82 «Контроль неразрушающий. Методы дефектоскопии радиационные. Область применения»  ГОСТ 26020-83 «Двутавры стальные горячекатаные с параллельными гранями полок. Сортамент»  ГОСТ 26271-84 «Проволока порошковая для дуговой сварки углеродистых и низколегированных сталей. Общие технические условия»  ГОСТ 27772-88 «Прокат для строительных стальных конструкций. Общие технические условия»  ГОСТ 15150-69 «Машины, приборы и другие технические изделия. Исполнения для различных климатических районов. Категории, условия эксплуатации, хранения и транспортирования в части воздействия климатических факторов внешней среды»  ГОСТ 18160-72 «Изделия крепежные. Упаковка. Маркировка. Транспортирование и хранение»  ГОСТ 15467-79 «Управление качеством продукции. Основные понятия. Термины и определения»  ГОСТ 18442-80 «Контроль неразрушающий. Капиллярные методы. Общие требования»  ГОСТ 24297-87 «Входной контроль продукции. Основные положения»  ГОСТ 11534-75 «Ручная дуговая сварка. Соединения сварные под острыми и тупыми углами. Основные типы, конструктивные элементы и размеры»  ГОСТ 14771-76 «Дуговая сварка в защитном газе. Соединения сварные. Основные типы. Конструктивные элементы и размеры»  ГОСТ 9.032-74 «Единая система защиты от коррозии и старения. Покрытия лакокрасочные. Группы, технические требования и обозначения»  ГОСТ 9.301-86 «Единая система защиты от коррозии и старения. Покрытия металлические и неметаллические неорганические. Общие требования»  ГОСТ 9.302-88 «Единая система защиты от коррозии и старения. Покрытия металлические и неметаллические неорганические. Методы контроля»  ГОСТ 9.306-85 «Единая система защиты от коррозии и старения. Покрытия металлические и неметаллические неорганические. Обозначения»  ГОСТ 23118-99 «Конструкции стальные строительные. Общие технические условия»  ПБ 03-273-99 «Правила аттестации сварщиков и специалистов сварочного производства»  ГОСТ 11533-75 «Автоматическая и полуавтоматическая дуговая сварка под флюсом. Соединения сварные под острыми и тупыми углами. Основные типы, конструктивные элементы и размеры»  ГОСТ 15164-78 «Электрошлаковая сварка. Соединения сварные. Основные типы, конструктивные элементы и размеры»  ГОСТ 23055-78 «Контроль неразрушающий. Сварка металлов плавлением. Классификация сварных соединений по результатам радиографического контроля»  ГОСТ 21105-87 «Контроль неразрушающий. Магнитопорошковый метод»  СНиП 12-03-2001 «Безопасность труда в строительстве. Часть 1. Общие требования»  ГОСТ 9087-81 «Флюсы сварочные плавленые. Технические условия»  ГОСТ 8240-97 «Швеллеры стальные горячекатаные. Сортамент»  ГОСТ 23518-79 «Дуговая сварка в защитных газах. Соединения сварные под острыми и тупыми углами. Основные типы, конструктивные элементы и размеры»  ГОСТ 1759.0-87 «Болты, винты, шпильки и гайки. Технические условия»  МДС 53-1.2001 «Рекомендации по монтажу стальных строительных конструкций»  ГОСТ Р 51872-2002 «Документация исполнительная геодезическая. Правила выполнения»  ГОСТ Р 51634-2000 «Масла моторные автотракторные. Общие технические требования»  РД 03-495-02 «Технологический регламент проведения аттестации сварщиков и специалистов сварочного производства» ГОСТ Р 51254-99 «Инструмент монтажный для нормированной затяжки резьбовых соединений. Ключи моментные. Общие технические условия»  ПБ 03-605-03 «Правила устройства вертикальных цилиндрических стальных резервуаров для нефти и нефтепродуктов»  РД 03-606-03 «Инструкция по визуальному и измерительному контролю» Технологическая карта 7.05.01.21 «Типовая технологическая карта на монтаж воздуховодов в межферменном пространстве из укрупненных блоков, проходящих параллельно и перпендикулярно фермам»  Кодекс 190-ФЗ «Градостроительный кодекс Российской Федерации»  ГОСТ Р 9.316-2006 «Единая система защиты от коррозии и старения. Покрытия термодиффузионные цинковые. Общие требования и методы контроля»  РД 11-05-2007 «Порядок ведения общего и (или) специального журнала учета выполнения работ при строительстве, реконструкции, капитальном ремонте объектов капитального строительства»  РД 11-02-2006 «Требования к составу и порядку ведения исполнительной документации при строительстве, реконструкции, капитальном ремонте объектов капитального строительства и требования, предъявляемые к актам освидетельствования работ, конструкций, участков сетей инженерно-технического обеспечения»  ГОСТ Р 52643-2006 «Болты и гайки высокопрочные и шайбы для металлических конструкций. Общие технические условия»  ГОСТ Р 52644-2006 «Болты высокопрочные с шестигранной головкой с увеличенным размером под ключ для металлических конструкций. Технические условия»  ГОСТ Р 52645-2006 «Гайки высокопрочные шестигранные с увеличенным размером под ключ для металлических конструкций. Технические условия»  ГОСТ Р 52646-2006 «Шайбы к высокопрочным болтам для металлических конструкций. Технические условия»  ГОСТ 535-2005 «Прокат сортовой и фасонный из стали углеродистой обыкновенного качества. Общие технические условия» Федеральный закон 384-ФЗ «Технический регламент о безопасности зданий и сооружений»  ГОСТ Р 21.1001-2009 «Система проектной документации для строительства. Общие положения»  ГОСТ 31385-2008 «Резервуары вертикальные цилиндрические стальные для нефти и нефтепродуктов. Общие технические условия»  «Перечень видов работ по инженерным изысканиям, по подготовке проектной документации, по строительству, реконструкции, капитальному ремонту объектов капитального строительства, которые оказывают влияние на безопасность объектов капитального строительства» «Положение о проведении строительного контроля при осуществлении строительства, реконструкции и капитального ремонта объектов капитального строительства»  Распоряжение 1047-р «Перечень национальных стандартов и сводов правил (частей таких стандартов и сводов правил), в результате применения которых на обязательной основе обеспечивается соблюдение требований Федерального закона "Технический регламент о безопасности зданий и сооружений"»  ГОСТ Р ИСО 6157-1-2009 «Изделия крепежные. Дефекты поверхности. Часть 1. Болты, винты и шпильки общего назначения»  ГОСТ Р ИСО 6157-2-2009 «Изделия крепежные. Дефекты поверхности. Часть 2. Гайки» Кодекс «Гражданский кодекс Российской Федерации»  СП 48.13330.2011 «Организация строительства»  СП 16.13330.2011 «Стальные конструкции»  СП 14.13330.2011 «Строительство в сейсмических районах»  СП 20.13330.2011 «Нагрузки и воздействия»  ГОСТ 24045-2010 «Профили стальные листовые гнутые с трапециевидными гофрами для строительства. Технические условия»
|
                                                                                                         
|