| ||||||||||||||||||||||||||||||||||
Скачать СТ ЦКБА 103-2011 Арматура трубопроводная. Пассивирование заготовок, отливок, узлов и деталей из коррозионностойких сталей и сплавовДата актуализации: 10.08.2017
|
| Обозначение: | СТ ЦКБА 103-2011 |
| Обозначение англ: | 103-2011 |
| Статус: | действует |
| Название рус.: | Арматура трубопроводная. Пассивирование заготовок, отливок, узлов и деталей из коррозионностойких сталей и сплавов |
| Дата добавления в базу: | 01.09.2013 |
| Дата актуализации: | 05.05.2017 |
| Дата введения: | 01.01.2012 |
| Область применения: | Стандарт распространяется на процессы химического пассивирования и травления заготовок, отливок, деталей и узлов трубопроводной арматуры, изготовленных из коррозионностойких сталей и сплавов и устанавливает последовательность выполнения и параметры основных технологических операций, входящих в процесс химического пассивирования в зависимости от вида и материала заготовок, деталей и узлов, а также требования, предъявляемые к качеству обработанной поверхности, способы приготовления и корректировки растворов, меры, обеспечивающие экологическую безопасность применяемой технологии. |
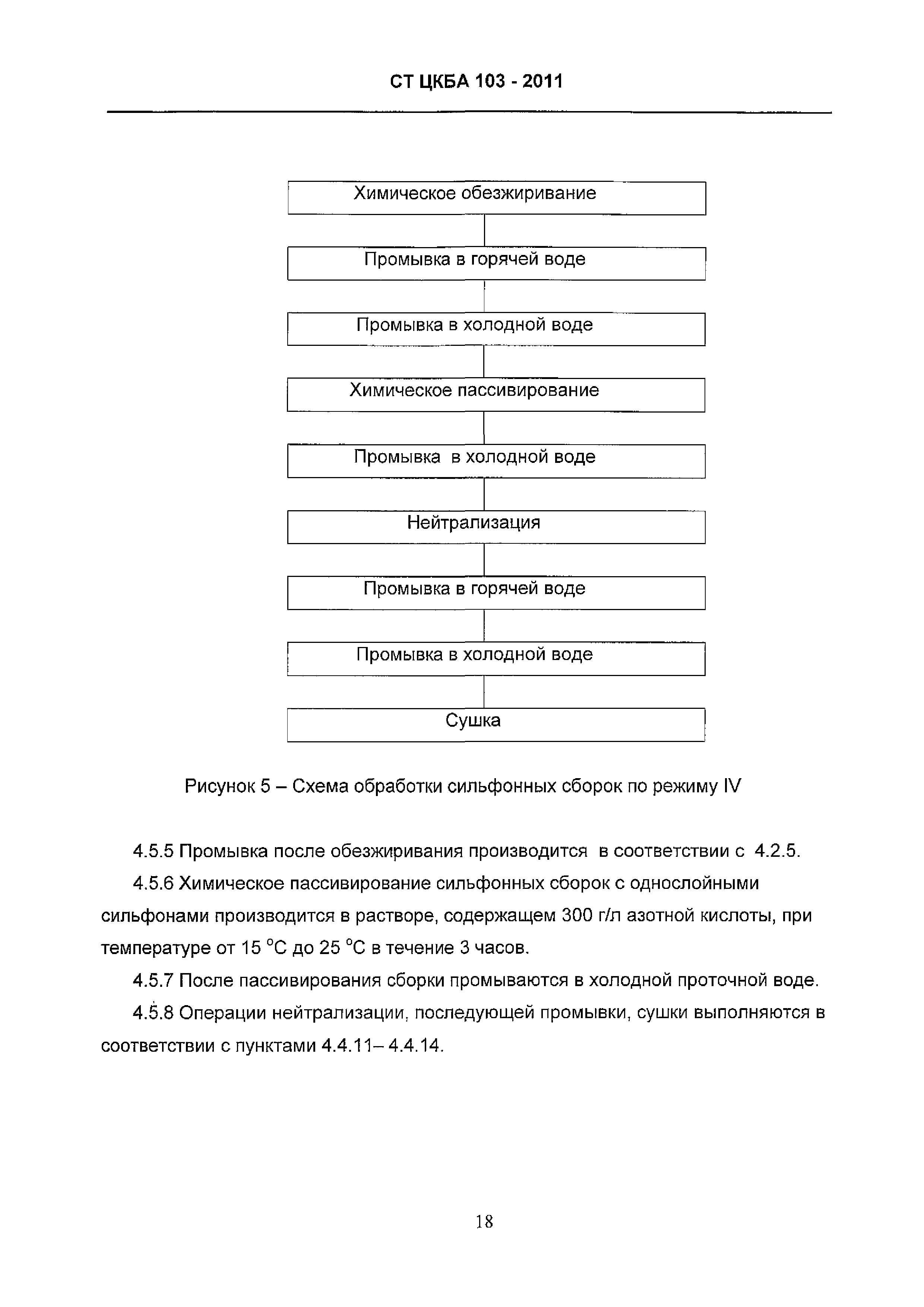
| Оглавление: | 1 Область применения 2 Нормативные ссылки 3 Общие положения 4 Химическое пассивирование деталей и узлов арматуры 4.1 Режимы химического пассивирования деталей и узлов арматуры 4.2 Режим I. Химическое пассивирование деталей и узлов арматуры из коррозионностойких сталей 4.3 Режим II. Химическое пассивирование деталей и узлов арматуры, предназначенной для спецпродуктов 4.4 Режим III. Химическое пассивирование сильфонных сборок с многослойными сильфонами 4.5 Режим IV. Химическое пассивирование сильфонных сборок с однослойными сильфонами 5 Оборудование для химической обработки деталей и узлов арматуры 6 Контроль и корректирование растворов 7 Технические требования к качеству обрабатываемой поверхности 8 Обезвреживание отработанных растворов пассивирования, травления и промывочных сточных вод 9 Требования безопасности |
| Разработан: | ЗАО НПФ ЦКБА |
| Утверждён: | 13.07.2011 ЗАО НПФ ЦКБА (44) |
| Принят: | ТК 259 Трубопроводная арматура и сильфоны |
| Издан: | ЗАО НПФ ЦКБА (2011 г. ) |
| Расположен в: | |
| Нормативные ссылки: |
|
























