Информационная система
«Ёшкин Кот»

Скачать базу одним архивом
Скачать обновления
История создания базы
Карта сайта

Скачать ГОСТ Р 54157-2010 Трубы стальные профильные для металлоконструкций. Технические условия

Дата актуализации: 10.08.2017

ГОСТ Р 54157-2010

Трубы стальные профильные для металлоконструкций. Технические условия

Обозначение: ГОСТ Р 54157-2010
Обозначение англ: GOST R 54157-2010
Статус:отменен
Название рус.:Трубы стальные профильные для металлоконструкций. Технические условия
Название англ.:Profile steel pipes for metal constructions. Specifications
Дата добавления в базу:01.09.2013
Дата актуализации:05.05.2017
Дата введения:01.09.2016
Область применения:Стандарт распространяется на круглые, квадратные, прямоугольные, овальные и плоскоовальные трубы для металлоконструкций из углеродистой и низколегированной стали.
Оглавление:1 Область применения
2 Нормативные ссылки
3 Термины и определения
4 Обозначения
5 Сортамент
6 Технические требования
   6.1 Способ производства
   6.2 Химический состав
   6.3 Механические свойства
   6.4 Предельные отклонения размеров, формы профиля и длины труб
   6.5 Параметры сварного шва
   6.6 Качество поверхности
   6.7 Сплошность металла
   6.8 Отделка концов
   6.9 Маркировка и упаковка
7 Требования безопасности и охраны окружающей среды
8 Правила приемки
9 Методы контроля и испытаний
10 Транспортирование и хранение
11 Гарантии изготовителя
Приложение А (обязательное) Квадратные трубы. Форма профиля и размеры труб
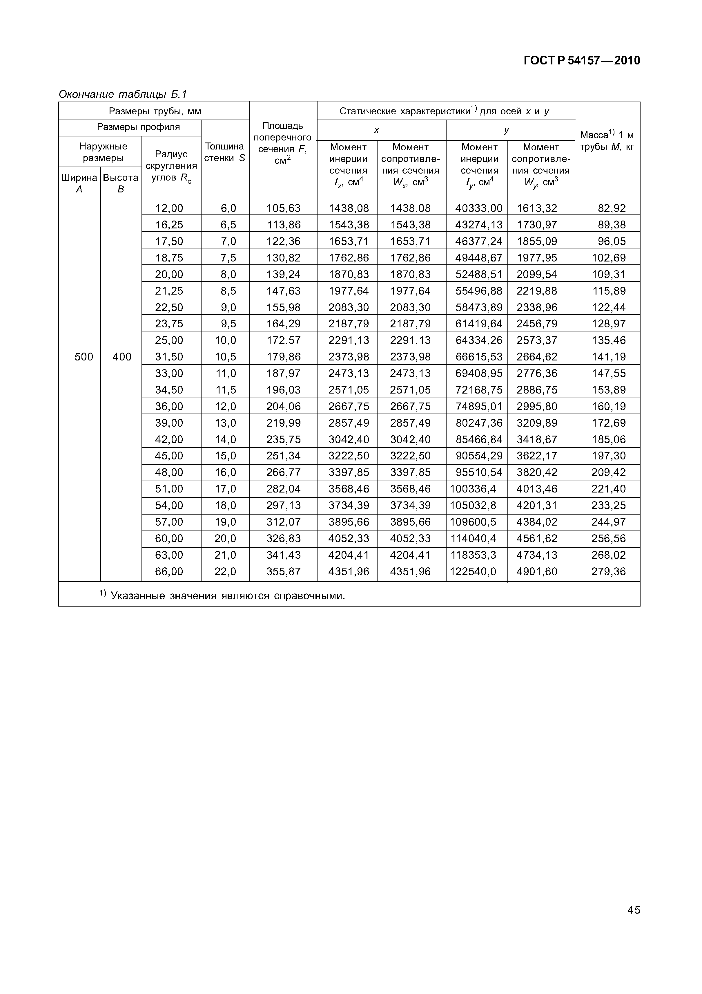
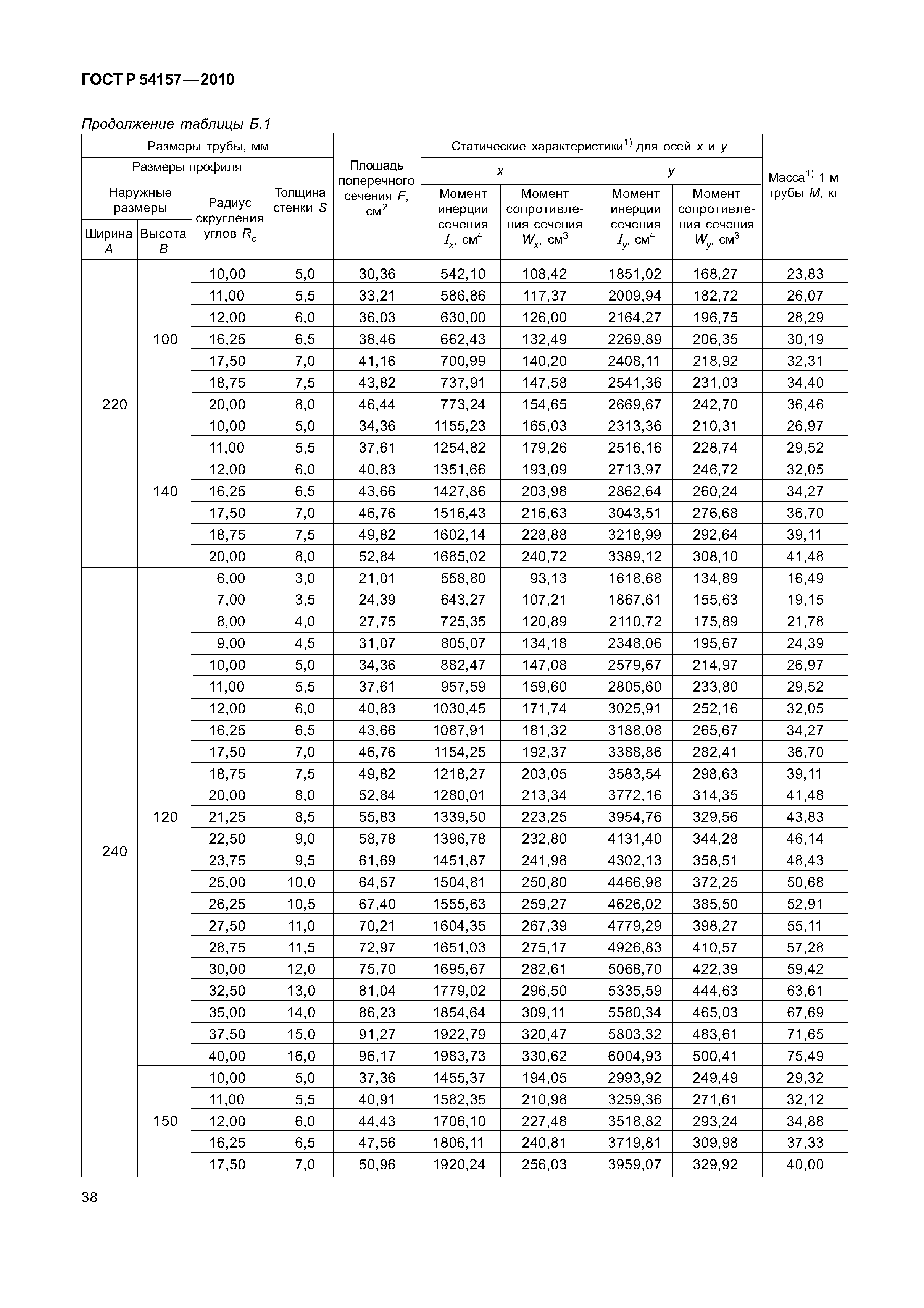
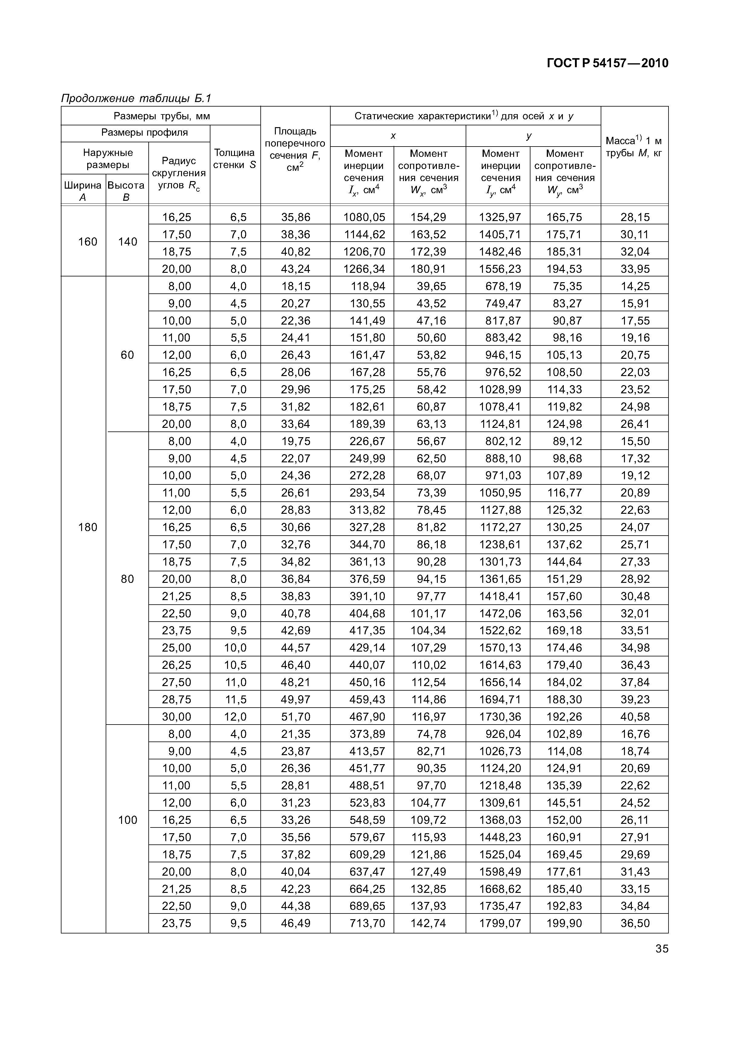
Приложение Б (обязательное) Прямоугольные трубы. Форма профиля и размеры труб
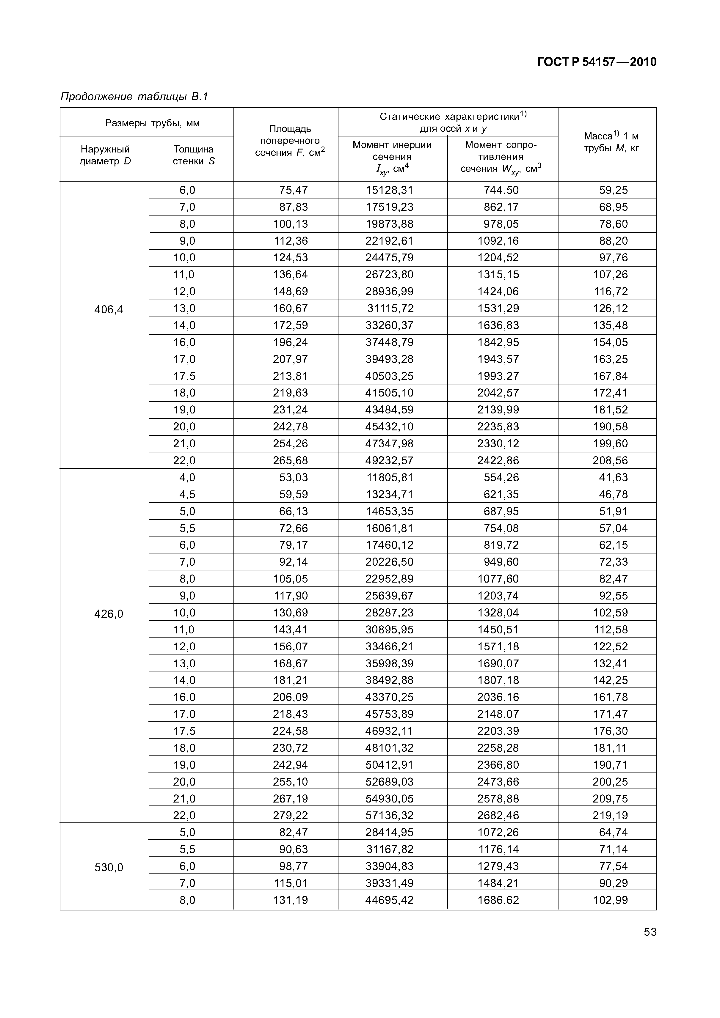
Приложение В (обязательное) Круглые трубы. Форма профиля и размеры труб
Приложение Г (обязательное) Овальные трубы. Форма профиля и размеры труб
Приложение Д (обязательное) Плоскоовальные трубы. Форма профиля и размеры труб
Приложение Е (справочное) Расчет статических характеристик и массы
Библиография
Разработан: ТК 357 Стальные и чугунные трубы и баллоны
ОАО РосНИТИ
Утверждён:21.12.2010 Федеральное агентство по техническому регулированию и метрологии (916-ст)
Издан: Стандартинформ (2011 г. )
Расположен в:Техническая документация Электроэнергия ГИДРАВЛИЧЕСКИЕ И ПНЕВМАТИЧЕСКИЕ СИСТЕМЫ И КОМПОНЕНТЫ ОБЩЕГО НАЗНАЧЕНИЯ Трубопроводы и их компоненты Чугунные и стальные трубы Экология ГИДРАВЛИЧЕСКИЕ И ПНЕВМАТИЧЕСКИЕ СИСТЕМЫ И КОМПОНЕНТЫ ОБЩЕГО НАЗНАЧЕНИЯ Трубопроводы и их компоненты Чугунные и стальные трубы Строительство Стандарты Другие государственные стандарты, применяемые в строительстве Гидравлические и пневматические системы и компоненты общего назначения
Нормативные ссылки:
ГОСТ Р 54157-2010ГОСТ Р 54157-2010ГОСТ Р 54157-2010ГОСТ Р 54157-2010ГОСТ Р 54157-2010ГОСТ Р 54157-2010ГОСТ Р 54157-2010ГОСТ Р 54157-2010ГОСТ Р 54157-2010ГОСТ Р 54157-2010ГОСТ Р 54157-2010ГОСТ Р 54157-2010ГОСТ Р 54157-2010ГОСТ Р 54157-2010ГОСТ Р 54157-2010ГОСТ Р 54157-2010ГОСТ Р 54157-2010ГОСТ Р 54157-2010ГОСТ Р 54157-2010ГОСТ Р 54157-2010ГОСТ Р 54157-2010ГОСТ Р 54157-2010ГОСТ Р 54157-2010ГОСТ Р 54157-2010ГОСТ Р 54157-2010ГОСТ Р 54157-2010ГОСТ Р 54157-2010ГОСТ Р 54157-2010ГОСТ Р 54157-2010ГОСТ Р 54157-2010ГОСТ Р 54157-2010ГОСТ Р 54157-2010ГОСТ Р 54157-2010ГОСТ Р 54157-2010ГОСТ Р 54157-2010ГОСТ Р 54157-2010ГОСТ Р 54157-2010ГОСТ Р 54157-2010ГОСТ Р 54157-2010ГОСТ Р 54157-2010ГОСТ Р 54157-2010ГОСТ Р 54157-2010ГОСТ Р 54157-2010ГОСТ Р 54157-2010ГОСТ Р 54157-2010ГОСТ Р 54157-2010ГОСТ Р 54157-2010ГОСТ Р 54157-2010ГОСТ Р 54157-2010ГОСТ Р 54157-2010ГОСТ Р 54157-2010ГОСТ Р 54157-2010ГОСТ Р 54157-2010ГОСТ Р 54157-2010ГОСТ Р 54157-2010ГОСТ Р 54157-2010ГОСТ Р 54157-2010ГОСТ Р 54157-2010ГОСТ Р 54157-2010ГОСТ Р 54157-2010ГОСТ Р 54157-2010ГОСТ Р 54157-2010ГОСТ Р 54157-2010ГОСТ Р 54157-2010ГОСТ Р 54157-2010ГОСТ Р 54157-2010ГОСТ Р 54157-2010ГОСТ Р 54157-2010ГОСТ Р 54157-2010ГОСТ Р 54157-2010ГОСТ Р 54157-2010ГОСТ Р 54157-2010ГОСТ Р 54157-2010ГОСТ Р 54157-2010

© 2013 Ёшкин Кот :-) Карта сайта