Информационная система
«Ёшкин Кот»

Скачать базу одним архивом
Скачать обновления
История создания базы
Карта сайта

Скачать ГОСТ Р 53195.2-2008 Безопасность функциональная связанных с безопасностью зданий и сооружений систем. Часть 2. Общие требования

Дата актуализации: 10.08.2017

ГОСТ Р 53195.2-2008

Безопасность функциональная связанных с безопасностью зданий и сооружений систем. Часть 2. Общие требования

Обозначение: ГОСТ Р 53195.2-2008
Обозначение англ: GOST R 53195.2-2008
Статус:действует
Название рус.:Безопасность функциональная связанных с безопасностью зданий и сооружений систем. Часть 2. Общие требования
Название англ.:Functional safety of building/erection safety-related systems. Part 2. General requirements
Дата добавления в базу:01.09.2013
Дата актуализации:05.05.2017
Дата введения:01.01.2010
Область применения:Стандарт распространяется на электрические, электронные, программируемые электронные (Е/Е/РЕ) СБЗС-системы, устанавливаемые или установленные во вновь возводимых или реконструируемых зданиях и сооружениях. Стандарт устанавливает общие требования к документации, к управлению функциональной безопасностью Е/Е/РЕ СБЗС-систем, к функциональной безопасности этих систем на всех стадиях их жизненного цикла, а также к действиям на этих стадиях, обеспечивающим функциональную безопасность. Стандарт не распространяется на Е/Е/РЕ СБЗС-систему, которая является одиночной системой, способной осуществить необходимое снижение риска, и требуемая полнота безопасности этой системы ниже, чем определено уровнем полноты безопасности SIL 1.
Оглавление:1 Область применения
2 Нормативные ссылки
3 Термины и определения
4 Обозначения и сокращения
5 Требования
   5.1 Соответствие системы требованиям стандарта
   5.2 Требования к документации
6 Управление функциональной безопасностью
7 Требования к полному жизненному циклу систем
   7.1 Общие положения
   7.2 Разработка концепции (см. блок 1 на рисунке 1)
   7.3 Определение области применения (см. блок 2 на рисунке 1)
   7.4 Анализ опасностей и риска (см. блок 3 на рисунке 1)
   7.5 Определение требований к функциям безопасности (см. блок 4 на рисунке 1)
   7.6 Распределение требований безопасности (см. блок 5 на рисунке 1)
   7.7 Разработка проектной документации на СБЗС-системы (см. блок 6 на рисунке 1)
   7.8 Разработка рабочей документации (см. блок 7 на рисунке 1)
   7.9 Планирование полной установки, интеграции и ввода в действие (см. блок 8 на рисунке 1)
   7.10 Планирование подтверждения соответствия систем требованиям функциональной безопасности (см. блок 9 на рисунке 1)
   7.11 Планирование эксплуатации и технического обслуживания систем (см. блок 10 на рисунке 1)
   7.12 Реализация: Е/Е/РЕ СБЗС-систем (см. блок 11 на рисунке 1)
   7.13 Реализация СБЗС-систем, основанных на других технологиях (см. блок 12 на рисунке 1)
   7.14 Реализация внешних средств уменьшения риска (см. блок 13 на рисунке 1)
   7.15 Подтверждение соответствия (см. блок 14 на рисунке 1)
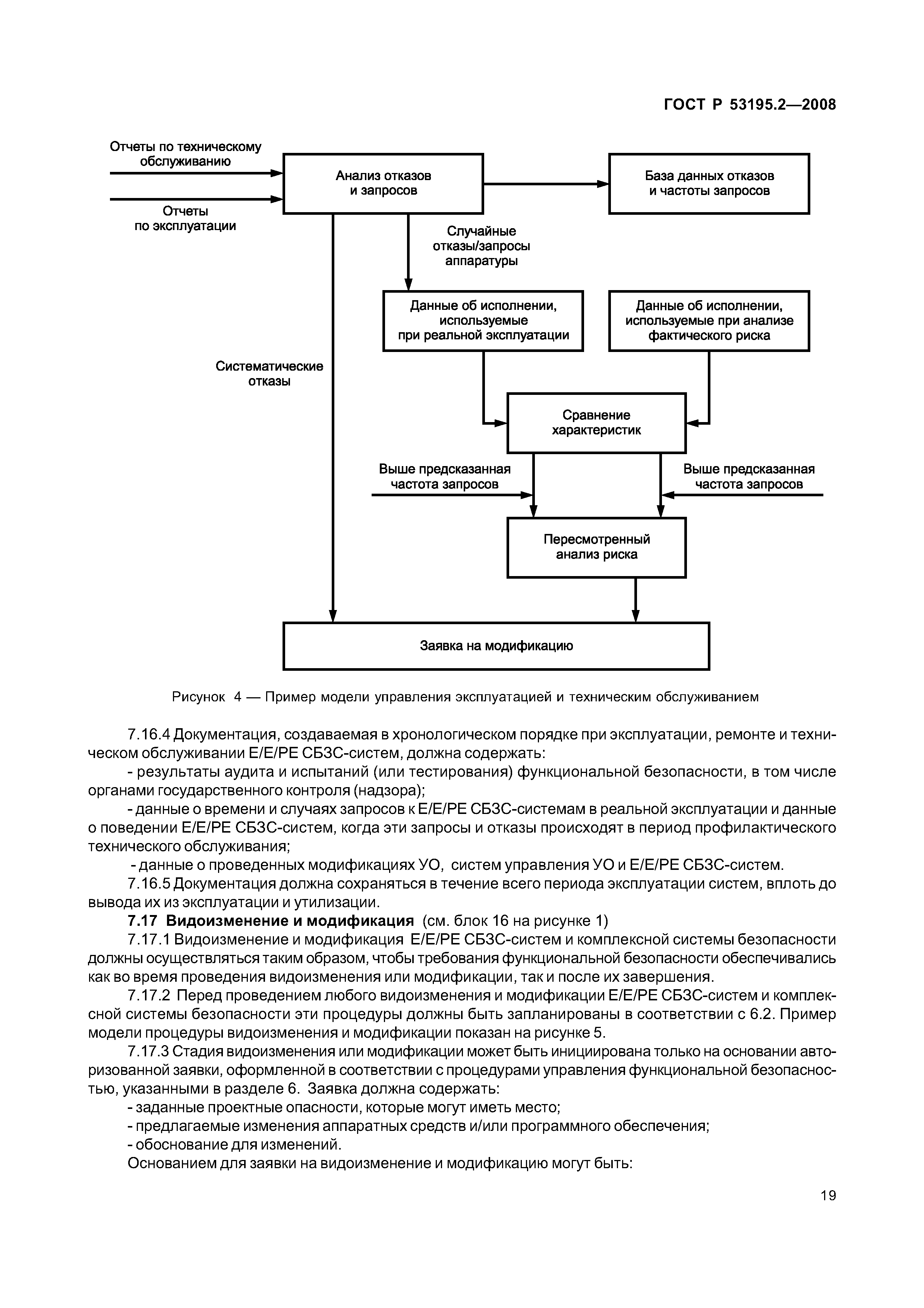
   7.16 Эксплуатация, техническое обслуживание, ремонт, периодический контроль (см. блок 15 на рисунке 1)
   7.17 Видоизменение и модификация (см. блок 16 на рисунке 1)
   7.18 Вывод из эксплуатации и утилизация (см. блок 17 на рисунке 1)
   7.19 Верификация Е/Е/РЕ СБЗС-систем
8 Оценка функциональной безопасности
Приложение А (справочное) Перечень и идентификация документации
Приложение Б (справочное) Пример структуры документации
Приложение В (справочное) Компетентность лиц
Разработан: Всемирная Академия Наук комплексной безопасности
ОАО НТЦ Стройинновация
Утверждён:18.12.2008 Федеральное агентство по техническому регулированию и метрологии (654-ст)
Издан: Стандартинформ (2009 г. )
Расположен в:Техническая документация Электроэнергия ОХРАНА ОКРУЖАЮЩЕЙ СРЕДЫ, ЗАЩИТА ЧЕЛОВЕКА ОТ ВОЗДЕЙСТВИЯ ОКРУЖАЮЩЕЙ СРЕДЫ. БЕЗОПАСНОСТЬ Системы аварийной сигнализации и оповещения Защита от пожаров Защита от пожара в целом Борьба с несчастными случаями и катастрофами Безопасность механизмов Безопасность профессиональной деятельности. Промышленная гигиена Экология ОХРАНА ОКРУЖАЮЩЕЙ СРЕДЫ, ЗАЩИТА ЧЕЛОВЕКА ОТ ВОЗДЕЙСТВИЯ ОКРУЖАЮЩЕЙ СРЕДЫ. БЕЗОПАСНОСТЬ Системы аварийной сигнализации и оповещения Защита от пожаров Защита от пожара в целом Борьба с несчастными случаями и катастрофами Безопасность механизмов Безопасность профессиональной деятельности. Промышленная гигиена Строительство Стандарты Другие государственные стандарты, применяемые в строительстве Охрана окружающей среды, защита человека от воздействия окружающей среды. Безопасность
Нормативные ссылки:
ГОСТ Р 53195.2-2008ГОСТ Р 53195.2-2008ГОСТ Р 53195.2-2008ГОСТ Р 53195.2-2008ГОСТ Р 53195.2-2008ГОСТ Р 53195.2-2008ГОСТ Р 53195.2-2008ГОСТ Р 53195.2-2008ГОСТ Р 53195.2-2008ГОСТ Р 53195.2-2008ГОСТ Р 53195.2-2008ГОСТ Р 53195.2-2008ГОСТ Р 53195.2-2008ГОСТ Р 53195.2-2008ГОСТ Р 53195.2-2008ГОСТ Р 53195.2-2008ГОСТ Р 53195.2-2008ГОСТ Р 53195.2-2008ГОСТ Р 53195.2-2008ГОСТ Р 53195.2-2008ГОСТ Р 53195.2-2008ГОСТ Р 53195.2-2008ГОСТ Р 53195.2-2008ГОСТ Р 53195.2-2008ГОСТ Р 53195.2-2008ГОСТ Р 53195.2-2008ГОСТ Р 53195.2-2008ГОСТ Р 53195.2-2008ГОСТ Р 53195.2-2008ГОСТ Р 53195.2-2008ГОСТ Р 53195.2-2008ГОСТ Р 53195.2-2008ГОСТ Р 53195.2-2008ГОСТ Р 53195.2-2008ГОСТ Р 53195.2-2008

© 2013 Ёшкин Кот :-) Карта сайта