| ||||||||||||||||||||||||||||||||||
Скачать СТО Газпром 2-2.1-131-2007 Инструкция по применению стальных труб на объектах ОАО ГазпромДата актуализации: 10.08.2017
|
| Обозначение: | СТО Газпром 2-2.1-131-2007 |
| Обозначение англ: | 2-2.1-131-2007 |
| Статус: | отменен |
| Название рус.: | Инструкция по применению стальных труб на объектах ОАО "Газпром" |
| Дата добавления в базу: | 01.09.2013 |
| Дата актуализации: | 05.05.2017 |
| Дата введения: | 01.09.2015 |
| Область применения: | Стандарт распространяется на проектируемые, строящиеся и реконструируемые трубопроводы из бесшовных труб диаметром до 426 мм включительно с давлением среды до 31,4 МПа (320 кгс/см кв.) включительно и на электросварные трубы диаметром до 1420 мм включительно с давлением транспортируемой среды до 9,8 МПа (100 кгс/см кв.) включительно. Действие стандарта распространяется на следующие объекты ОАО "Газпром": - линейная часть магистральных трубопроводов всех категорий, а также ответвлений от них для транспортировки некоррозионно-активных газа, нефти и нефтепродуктов, в том числе стабильного конденсата; - промысловые сборные газовые сети (шлейфы) и коллекторы (за исключением промысловых сетей, транспортирующих коррозионно-активные среды); - обвязочные трубопроводы основного назначения компрессорных, газораспределительных станций, подземных хранилищ газа, промысловых сборных пунктов, установок предварительной комплексной подготовки газа, узлов замера расхода газа, пунктов редуцирования газа, транспортирующих газ. Требования стандарта не распространяются: - на трубопроводы, предназначенные для транспортирования сжиженных углеводородных газов (СУГ), метанола и других продуктов; - на трубопроводы газоперерабатывающих заводов; - на технологические трубопроводы вспомогательного назначения площадочных объектов и сооружений газодобывающих и газотранспортных предприятий |
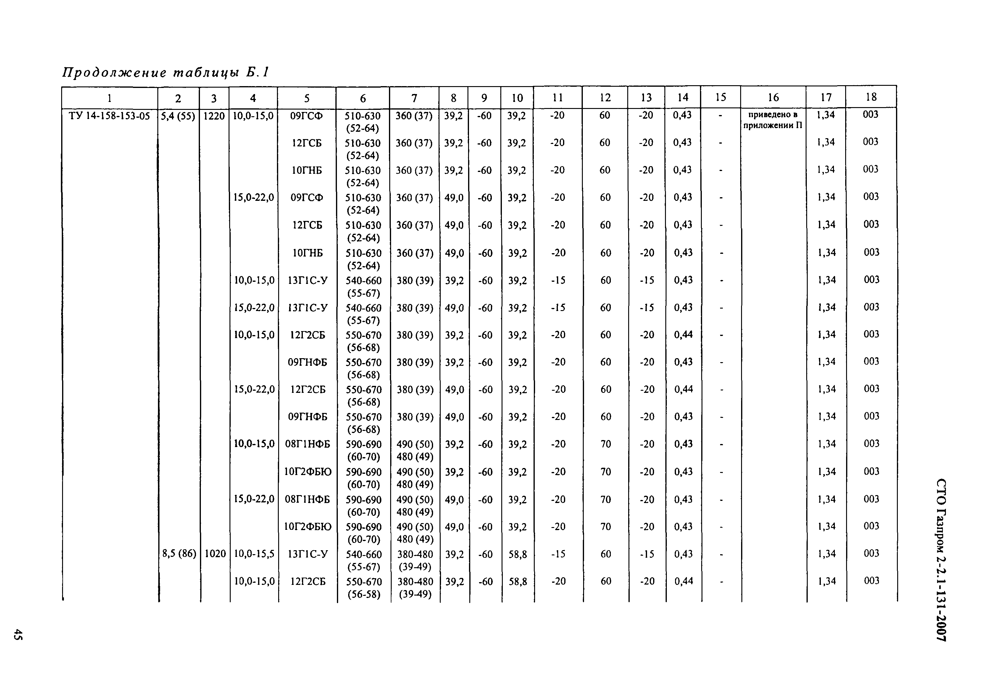
| Оглавление: | Введение 1. Область применения 2. Нормативные ссылки 3. Выбор труб в зависимости от условий эксплуатации 4. Ограничения при выборе труб 5. Нормативные характеристики труб, изготовленных по техническим условиям и стандартам Приложения Библиография |
| Разработан: | ООО ВНИИГАЗ |
| Утверждён: | 14.06.2007 ОАО Газпром (Gazprom OAO 154) |
| Расположен в: | |
| Заменяет собой: | |
| Чем заменён: |
|
| Нормативные ссылки: |
|






























































































































































































































































