| ||||||||||||||||||||||||||||||||||
Скачать ГОСТ 31192.1-2004 Вибрация. Измерение локальной вибрации и оценка ее воздействия на человека. Часть 1. Общие требованияДата актуализации: 10.08.2017
|
| Обозначение: | ГОСТ 31192.1-2004 |
| Обозначение англ: | GOST 31192.1-2004 |
| Статус: | действует |
| Название рус.: | Вибрация. Измерение локальной вибрации и оценка ее воздействия на человека. Часть 1. Общие требования |
| Название англ.: | Mechanical vibration. Measurement and evaluation of human exposure to hand-transmitted vibration. Part 1. General requirеments |
| Дата добавления в базу: | 01.09.2013 |
| Дата актуализации: | 05.05.2017 |
| Дата введения: | 01.07.2008 |
| Область применения: | Стандарт устанавливает общие требования по измерению и представлению результатов измерений локальной вибрации в трех взаимно ортогональных направлениях. |
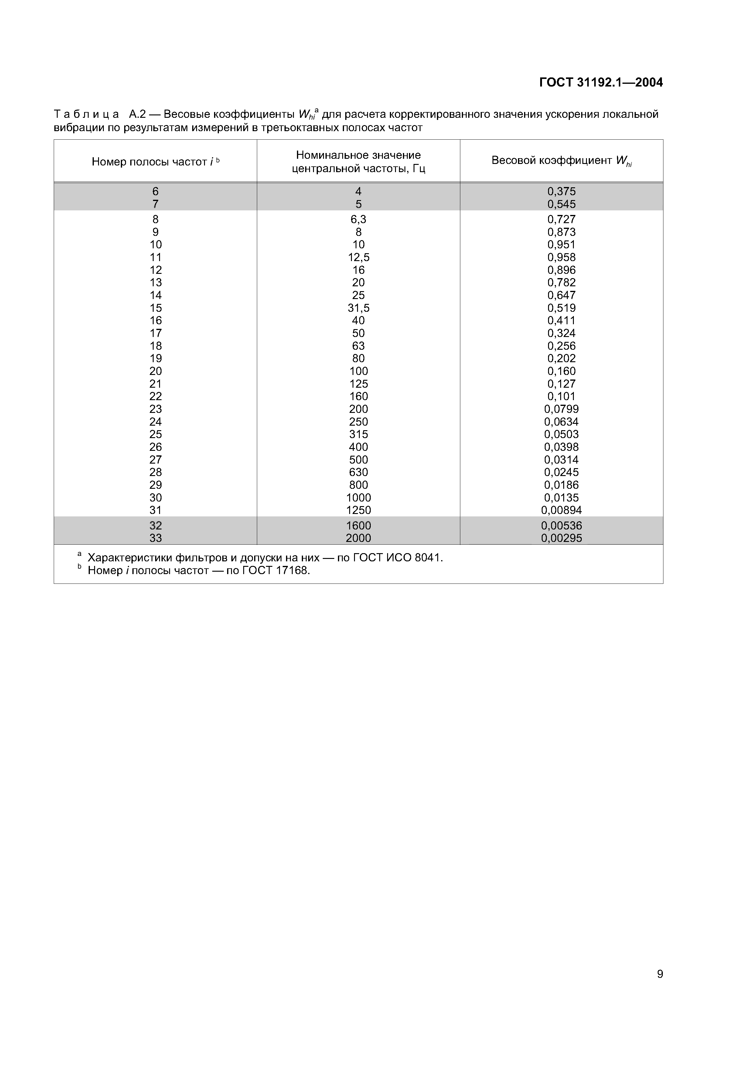
| Оглавление: | 1 Область применения 2 Нормативные ссылки 3 Термины и определения 4 Обозначения 5 Измерение локальной вибрации 6 Характеристики воздействия локальной вибрации 7 Данные о проведенных измерениях Приложение А (обязательное) Частотная коррекция и полосовая фильтрация Приложение В (справочное) Влияние локальной вибрации на состояние здоровья человека Приложение С (справочное) Связь между воздействием вибрации и ее влиянием на здоровье Приложение D (справочное) Факторы, которые могут оказать влияние на воздействие локальной вибрации в рабочих условиях Приложение Е (справочное) Профилактические мероприятия Приложение F (справочное) Руководство по представлению дополнительной информации Приложение G (справочное) Изменение структуры настоящего стандарта по отношению к ИСО 5349-1:2001 Библиография |
| Разработан: | ОАО НИЦ КД |
| Утверждён: | 04.02.2004 Межгосударственный Совет по стандартизации, метрологии и сертификации (Inter-Governmental Council on Standardization, Metrology, and Certification 15) 12.12.2007 Федеральное агентство по техническому регулированию и метрологии (357-ст) |
| Издан: | Стандартинформ (2008 г. ) |
| Расположен в: | |
| Нормативные ссылки: |
|



























