Информационная система
«Ёшкин Кот»

Скачать базу одним архивом
Скачать обновления
История создания базы
Карта сайта

Скачать ГОСТ Р 50030.1-2000 Аппаратура распределения и управления низковольтная. Часть 1. Общие требования и методы испытаний.

Дата актуализации: 10.08.2017

ГОСТ Р 50030.1-2000

Аппаратура распределения и управления низковольтная. Часть 1. Общие требования и методы испытаний.

Обозначение: ГОСТ Р 50030.1-2000
Обозначение англ: GOST R 50030.1-2000
Статус:заменен
Название рус.:Аппаратура распределения и управления низковольтная. Часть 1. Общие требования и методы испытаний.
Название англ.:Low-voltage switchgear and controlgear. Part 1. General rules and test methods
Дата добавления в базу:01.09.2013
Дата актуализации:05.05.2017
Дата введения:01.07.2008
Область применения:Стандарт распространяется на низковольтные аппараты распределения и управления, предназначенные для эксплуатации в электрических цепях с номинальным напряжением до 1000 В переменного тока или до 1500 В постоянного тока.
Оглавление:1 Общие положения
   1.1 Область применения
   1.2 Нормативные ссылки
2 Определения
   2.1 Общие термины
   2.2 Коммутационные аппараты
   2.3 Части коммутационных аппаратов
   2.4 Работа коммутационных аппаратов
   2.5 Характеристики
   2.6 Испытания
3 Классификация
4 Характеристики
   4.1 Общие требования
   4.2 Тип аппарата
   4.3 Номинальные и предельные значения параметров главной цепи
   4.4 Категория применения
   4.5 Цепи управления
   4.6 Вспомогательные цепи
   4.7 Реле и расцепители
   4.8 Координация с устройствами защиты от коротких замыканий (УЗКЗ)
   4.9 Коммутационные перенапряжения
5 Информация об аппарате
   5.1 Характер информации
   5.2 Маркировка
   5.3 Инструкции по монтажу, эксплуатации и обслуживанию
6 Нормальные условия эксплуатации, монтажа и транспортирования
   6.1 Нормальные условия эксплуатация
   6.2 Условия транспортирования и хранения
   6.3 Монтаж
7 Требования к конструкции и работоспособности
   7.1 Требования к конструкции
   7.2 Требования к работоспособности
   7.3 Электромагнитная совместимость (ЭМС)
8 Испытания
   8.1 Виды испытаний
   8.2 Соответствие требованиям к конструкции
   8.3 Работоспособность
   8.4 Испытания на ЭМС
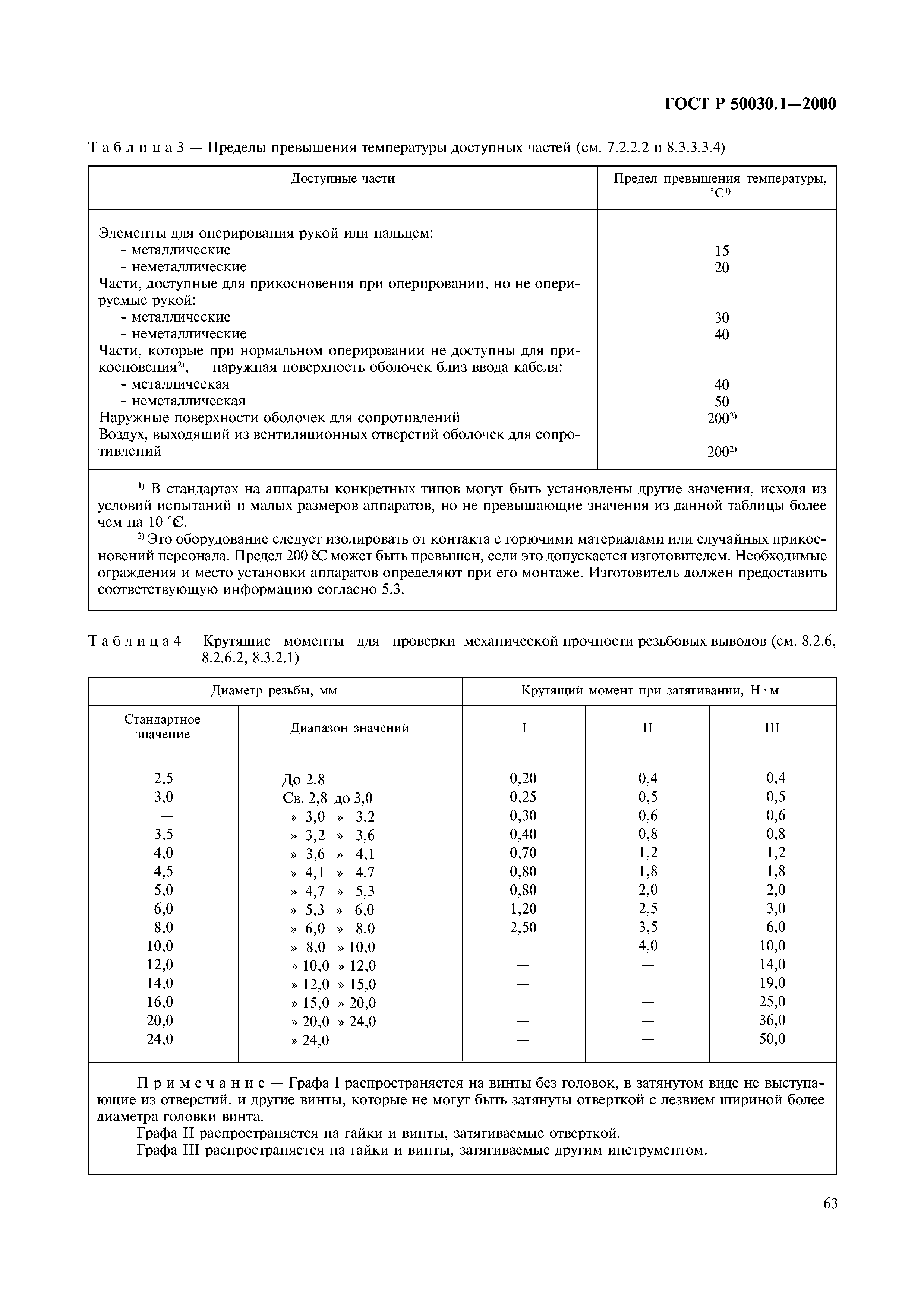
Таблицы
Рисунки
Приложение А Нормальные режимы применения низковольтной аппаратуры распределения и управления
Приложение В Пригодность аппаратов для эксплуатации в нестандартных условиях
Приложение С Степени защиты аппаратов в оболочках
Приложение D Примеры выводов
Приложение Е Определение метода регулирования цепи нагрузки
Приложение F Определение коэффициента мощности при коротких замыканиях
Приложение G Измерение расстояний утечки и воздушных зазоров
Приложение Н Соответствие между наминальным напряжением системы питания и номинальным импульсным выдерживаемым напряжением аппарата
Приложение J Вопросы, требующие согласования между изготовителем и потребителем
Приложение L Маркировка и отличительное цифровое обозначение контактных выводов
Приложение М Испытание на воспламеняемость
Приложение N Требования и испытания аппаратов с раздельной степенью защиты по изоляции
Приложение Р Дополнительные требования, учитывающие потребности экономики страны и требования государственных стандартов на электротехнические изделия
Приложение Q Алфавитный перечень определения
Приложение R Библиография
Разработан: АООТ НИИЭлектроаппарат
Утверждён:25.12.2000 Госстандарт России (Russian Federation Gosstandart 406-ст)
Издан: ИПК Издательство стандартов (2001 г. )
ИПК Издательство стандартов (2003 г. )
Расположен в:Техническая документация Электроэнергия ЭЛЕКТРОТЕХНИКА Коммутационная аппаратура и аппаратура управления Низковольтная коммутационная аппаратура и аппаратура управления Экология ЭЛЕКТРОТЕХНИКА Коммутационная аппаратура и аппаратура управления Низковольтная коммутационная аппаратура и аппаратура управления
Заменяет собой:
Чем заменён:
Нормативные ссылки:
ГОСТ Р 50030.1-2000ГОСТ Р 50030.1-2000ГОСТ Р 50030.1-2000ГОСТ Р 50030.1-2000ГОСТ Р 50030.1-2000ГОСТ Р 50030.1-2000ГОСТ Р 50030.1-2000ГОСТ Р 50030.1-2000ГОСТ Р 50030.1-2000ГОСТ Р 50030.1-2000ГОСТ Р 50030.1-2000ГОСТ Р 50030.1-2000ГОСТ Р 50030.1-2000ГОСТ Р 50030.1-2000ГОСТ Р 50030.1-2000ГОСТ Р 50030.1-2000ГОСТ Р 50030.1-2000ГОСТ Р 50030.1-2000ГОСТ Р 50030.1-2000ГОСТ Р 50030.1-2000ГОСТ Р 50030.1-2000ГОСТ Р 50030.1-2000ГОСТ Р 50030.1-2000ГОСТ Р 50030.1-2000ГОСТ Р 50030.1-2000ГОСТ Р 50030.1-2000ГОСТ Р 50030.1-2000ГОСТ Р 50030.1-2000ГОСТ Р 50030.1-2000ГОСТ Р 50030.1-2000ГОСТ Р 50030.1-2000ГОСТ Р 50030.1-2000ГОСТ Р 50030.1-2000ГОСТ Р 50030.1-2000ГОСТ Р 50030.1-2000ГОСТ Р 50030.1-2000ГОСТ Р 50030.1-2000ГОСТ Р 50030.1-2000ГОСТ Р 50030.1-2000ГОСТ Р 50030.1-2000ГОСТ Р 50030.1-2000ГОСТ Р 50030.1-2000ГОСТ Р 50030.1-2000ГОСТ Р 50030.1-2000ГОСТ Р 50030.1-2000ГОСТ Р 50030.1-2000ГОСТ Р 50030.1-2000ГОСТ Р 50030.1-2000ГОСТ Р 50030.1-2000ГОСТ Р 50030.1-2000ГОСТ Р 50030.1-2000ГОСТ Р 50030.1-2000ГОСТ Р 50030.1-2000ГОСТ Р 50030.1-2000ГОСТ Р 50030.1-2000ГОСТ Р 50030.1-2000ГОСТ Р 50030.1-2000ГОСТ Р 50030.1-2000ГОСТ Р 50030.1-2000ГОСТ Р 50030.1-2000ГОСТ Р 50030.1-2000ГОСТ Р 50030.1-2000ГОСТ Р 50030.1-2000ГОСТ Р 50030.1-2000ГОСТ Р 50030.1-2000ГОСТ Р 50030.1-2000ГОСТ Р 50030.1-2000ГОСТ Р 50030.1-2000ГОСТ Р 50030.1-2000ГОСТ Р 50030.1-2000ГОСТ Р 50030.1-2000ГОСТ Р 50030.1-2000ГОСТ Р 50030.1-2000ГОСТ Р 50030.1-2000ГОСТ Р 50030.1-2000ГОСТ Р 50030.1-2000ГОСТ Р 50030.1-2000ГОСТ Р 50030.1-2000ГОСТ Р 50030.1-2000ГОСТ Р 50030.1-2000ГОСТ Р 50030.1-2000ГОСТ Р 50030.1-2000ГОСТ Р 50030.1-2000ГОСТ Р 50030.1-2000ГОСТ Р 50030.1-2000ГОСТ Р 50030.1-2000ГОСТ Р 50030.1-2000ГОСТ Р 50030.1-2000ГОСТ Р 50030.1-2000ГОСТ Р 50030.1-2000ГОСТ Р 50030.1-2000ГОСТ Р 50030.1-2000ГОСТ Р 50030.1-2000ГОСТ Р 50030.1-2000ГОСТ Р 50030.1-2000ГОСТ Р 50030.1-2000ГОСТ Р 50030.1-2000ГОСТ Р 50030.1-2000ГОСТ Р 50030.1-2000ГОСТ Р 50030.1-2000ГОСТ Р 50030.1-2000ГОСТ Р 50030.1-2000ГОСТ Р 50030.1-2000ГОСТ Р 50030.1-2000ГОСТ Р 50030.1-2000ГОСТ Р 50030.1-2000ГОСТ Р 50030.1-2000ГОСТ Р 50030.1-2000ГОСТ Р 50030.1-2000ГОСТ Р 50030.1-2000ГОСТ Р 50030.1-2000ГОСТ Р 50030.1-2000ГОСТ Р 50030.1-2000ГОСТ Р 50030.1-2000ГОСТ Р 50030.1-2000ГОСТ Р 50030.1-2000ГОСТ Р 50030.1-2000ГОСТ Р 50030.1-2000ГОСТ Р 50030.1-2000ГОСТ Р 50030.1-2000ГОСТ Р 50030.1-2000ГОСТ Р 50030.1-2000ГОСТ Р 50030.1-2000ГОСТ Р 50030.1-2000ГОСТ Р 50030.1-2000ГОСТ Р 50030.1-2000

© 2013 Ёшкин Кот :-) Карта сайта