Скачать ГОСТ Р 50035-92 Протяжки с навертным хвостовиком для шлицевых отверстий с эвольвентным профилем диаметром от 50 до 120 мм, модулем от 1,5 до 2,5 мм с центрированием по наружному диаметру комбинированные. КонструкцияДата актуализации: 10.08.2017 ГОСТ Р 50035-92
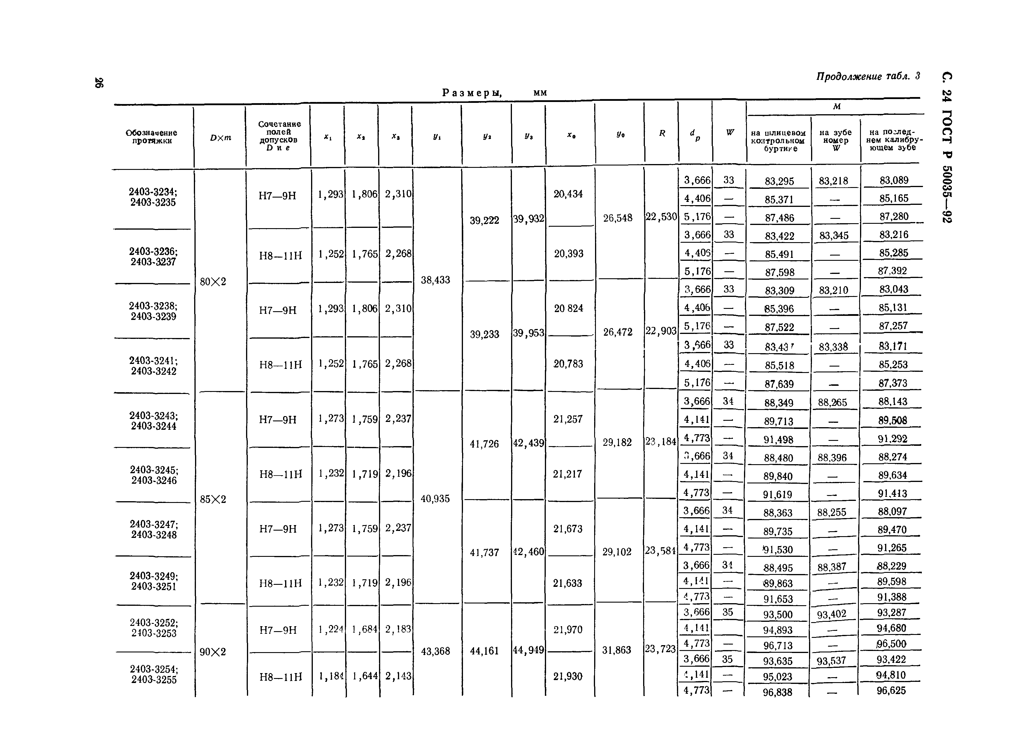
Протяжки с навертным хвостовиком для шлицевых отверстий с эвольвентным профилем диаметром от 50 до 120 мм, модулем от 1,5 до 2,5 мм с центрированием по наружному диаметру комбинированные. Конструкция| Обозначение: | ГОСТ Р 50035-92 | | Обозначение англ: | GOST R 50035-92 | | Статус: | действует | | Название рус.: | Протяжки с навертным хвостовиком для шлицевых отверстий с эвольвентным профилем диаметром от 50 до 120 мм, модулем от 1,5 до 2,5 мм с центрированием по наружному диаметру комбинированные. Конструкция | | Название англ.: | Combined broaches with diameter from 50 to 120 mm for slitting holes with involute profile with wind round tail and centring at outside diameter with module from 1,5 to 2,5 mm. Construction | | Дата добавления в базу: | 01.09.2013 | | Дата актуализации: | 05.05.2017 | | Дата введения: | 01.01.1993 | | Область применения: | Стандарт распространяется на комбинированные однопроходные протяжки универсального назначения с навертным хвостовиком диаметром D от 50 до 120 мм, модулем m от 1,5 до 2,5 мм, предназначенные для обработки шлицевых втулок с эвольвентным профилем по ГОСТ 6033 с центрированием по наружному диаметру. | | Разработан: | ТК 95 Инструмент
| | Утверждён: | 22.07.1992 Госстандарт России (Russian Federation Gosstandart 749)
| | Издан: | Издательство стандартов (1992 г. )
| | Расположен в: |
| | Нормативные ссылки: | |
                                                          
|