| ||||||||||||||||||||||||||||||||||||
Скачать ГОСТ 8.346-79 Государственная система обеспечения единства измерений. Резервуары стальные горизонтальные. Методы и средства поверкиДата актуализации: 10.08.2017
|
| Обозначение: | ГОСТ 8.346-79 |
| Обозначение англ: | GOST 8.346-79 |
| Статус: | заменен |
| Название рус.: | Государственная система обеспечения единства измерений. Резервуары стальные горизонтальные. Методы и средства поверки |
| Название англ.: | State system for ensuring the uniformity of measurements. Steel horisontal tanks. Methods and means of verification |
| Дата добавления в базу: | 01.10.2014 |
| Дата актуализации: | 05.05.2017 |
| Дата введения: | 01.01.2002 |
| Область применения: | Стандарт распространяется на стальные горизонтальные цилиндрические резервуары вместимостью 3 - 200 куб. м для нефти и нефтепродуктов, выпускаемые по параметрам ГОСТ 17032-71, и устанавливает методы и средства определения их вместимости и градуировки. |
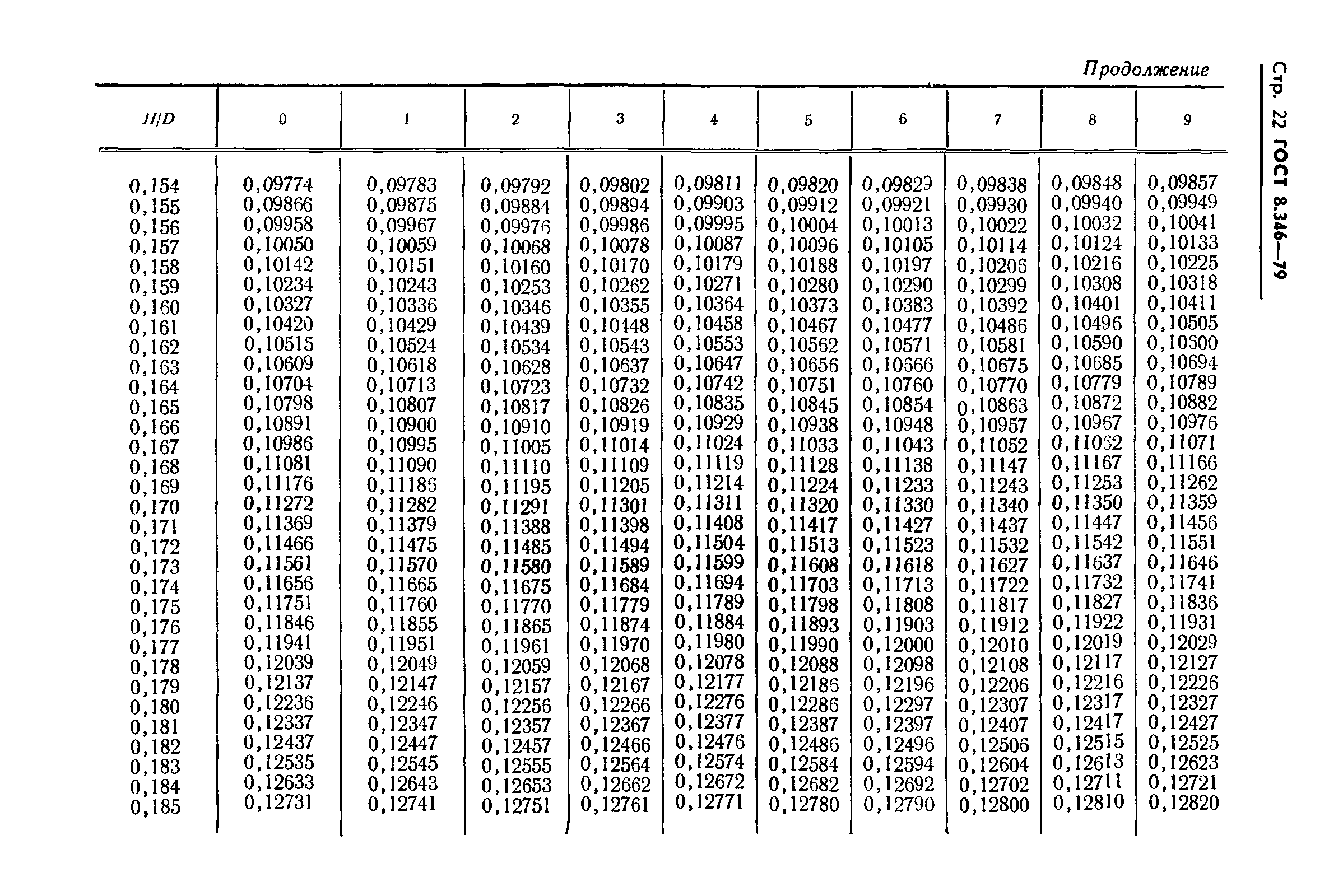
| Оглавление: | 1 Операции определения вместимости и градуировки 2 Условия определения вместимости и градуировки и подготовка к ним 3 Требования безопасности 4 Проведение определения вместимости и градуировки 5 Обработка результатов определения вместимости и градуировки 6 Оформление результатов определения вместимости и градуировки Приложение 1 (обязательное) Опись деформации резервуара №_____ Приложение 2 (обязательное) Таблица исходных данных резервуара №_____ Приложение 3 (справочное) Расчетная таблица посантиметровой градуировки горизонтального резервуара №_____ Приложение 4 (обязательное) Таблица коэффициентов заполнения Кц цилиндрической части горизонтальных резервуаров Приложение 5 (обязательное) Таблица коэффициентов заполнения Кс сферических днищ Приложение 6 (обязательное) Таблица значений коэффициентов заполнения Кк конусных днищ Приложение 7 (обязательное) Градуировочная таблица для горизонтального резервуара №_____ Приложение 8 (справочное) Пример расчета градуировочной таблицы Приложение 9 (обязательное) Основные технические требования к горизонтальным цилиндрическим стальным резервуарам Приложение 10 (справочное) Пояснения к терминам, используемым в настоящем стандарте Приложение 11 (справочное) Информационные данные о соответствии ГОСТ 8.346-79 СТ СЭВ 1972-79 |
| Утверждён: | 16.02.1979 Госстандарт СССР (USSR Gosstandart 614) |
| Издан: | Издательство стандартов (1984 г. ) |
| Расположен в: | |
| Заменяет собой: |
|
| Чем заменён: | |
| Нормативные ссылки: |
|















































































