Информационная система
«Ёшкин Кот»

Скачать базу одним архивом
Скачать обновления
История создания базы
Карта сайта

Скачать ГОСТ 25573-82 Стропы грузовые канатные для строительства. Технические условия

Дата актуализации: 10.08.2017

ГОСТ 25573-82

Стропы грузовые канатные для строительства. Технические условия

Обозначение: ГОСТ 25573-82
Обозначение англ: GOST 25573-82
Статус:действует
Название рус.:Стропы грузовые канатные для строительства. Технические условия
Название англ.:Cargo handling rope slings for building. Specifications
Дата добавления в базу:01.09.2013
Дата актуализации:05.05.2017
Дата введения:01.01.1984
Область применения:Стандарт распространяется на грузовые канатные стропы, состоящие из соединительных элементов (канатных ветвей, звеньев) и захватов (крюков, карабинов) и применяемые в строительстве для строповки грузов.
Оглавление:1 Типы
2 Основные параметры и размеры
3 Технические требования
4 Требования безопасности
5 Правила приемки
6 Методы испытаний
7 Маркировка, упаковка, транспортирование и хранение
8 Гарантии изготовителя
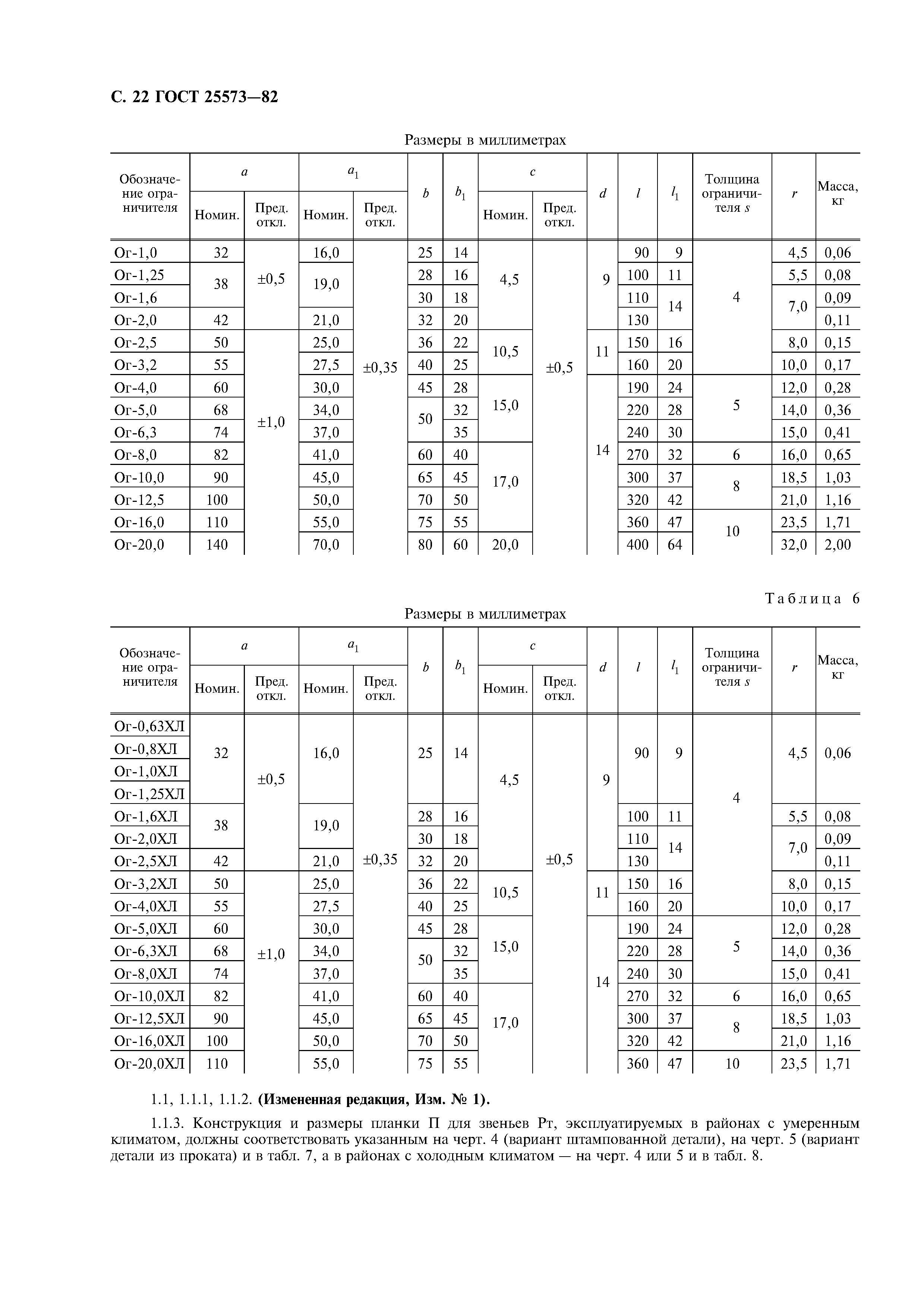
Приложение 1 Конструкция и размеры звеньев и захватов
Приложение 2 Способы заделки концов стропов
Приложение 3 Схема строповки груза двумя стропами 1СК и СКК и стропами СКП2
Информационные данные
Разработан: Госстрой СССР
Утверждён:21.12.1982 Госстрой СССР (Государственный комитет Совета Министров СССР по делам строительства) (USSR Gosstroy 293)
Издан: Издательство стандартов (1983 г. )
Издательство стандартов (1990 г. )
ИПК Издательство стандартов (2004 г. )
Расположен в:Техническая документация Электроэнергия ПОДЪЕМНО-ТРАНСПОРТНОЕ ОБОРУДОВАНИЕ Подъемное оборудование Вспомогательные приспособления для подъемного оборудования Экология ПОДЪЕМНО-ТРАНСПОРТНОЕ ОБОРУДОВАНИЕ Подъемное оборудование Вспомогательные приспособления для подъемного оборудования Строительство Нормативные документы Документы Системы нормативных документов в строительстве Нормативные документы на мобильные здания и сооружения, оснастку, инвентарь и инструмент к.71 Оснастка строительных организаций
Нормативные ссылки:
ГОСТ 25573-82ГОСТ 25573-82ГОСТ 25573-82ГОСТ 25573-82ГОСТ 25573-82ГОСТ 25573-82ГОСТ 25573-82ГОСТ 25573-82ГОСТ 25573-82ГОСТ 25573-82ГОСТ 25573-82ГОСТ 25573-82ГОСТ 25573-82ГОСТ 25573-82ГОСТ 25573-82ГОСТ 25573-82ГОСТ 25573-82ГОСТ 25573-82ГОСТ 25573-82ГОСТ 25573-82ГОСТ 25573-82ГОСТ 25573-82ГОСТ 25573-82ГОСТ 25573-82ГОСТ 25573-82ГОСТ 25573-82ГОСТ 25573-82ГОСТ 25573-82ГОСТ 25573-82ГОСТ 25573-82ГОСТ 25573-82ГОСТ 25573-82ГОСТ 25573-82ГОСТ 25573-82ГОСТ 25573-82ГОСТ 25573-82ГОСТ 25573-82ГОСТ 25573-82ГОСТ 25573-82ГОСТ 25573-82ГОСТ 25573-82ГОСТ 25573-82ГОСТ 25573-82ГОСТ 25573-82ГОСТ 25573-82ГОСТ 25573-82ГОСТ 25573-82ГОСТ 25573-82ГОСТ 25573-82ГОСТ 25573-82ГОСТ 25573-82ГОСТ 25573-82ГОСТ 25573-82ГОСТ 25573-82ГОСТ 25573-82ГОСТ 25573-82ГОСТ 25573-82ГОСТ 25573-82ГОСТ 25573-82ГОСТ 25573-82ГОСТ 25573-82ГОСТ 25573-82ГОСТ 25573-82ГОСТ 25573-82ГОСТ 25573-82

© 2013 Ёшкин Кот :-) Карта сайта