Скачать Книга 04: Бетоны, растворы, смеси строительные и асфальтобетонные. Федеральные сметные цены на материалы изделия, конструкции и оборудование, применяемые в строительстве. Федеральный сборник сметных цен на материалы, изделия и конструкции, применяемые в строительствеДата актуализации: 10.08.2017
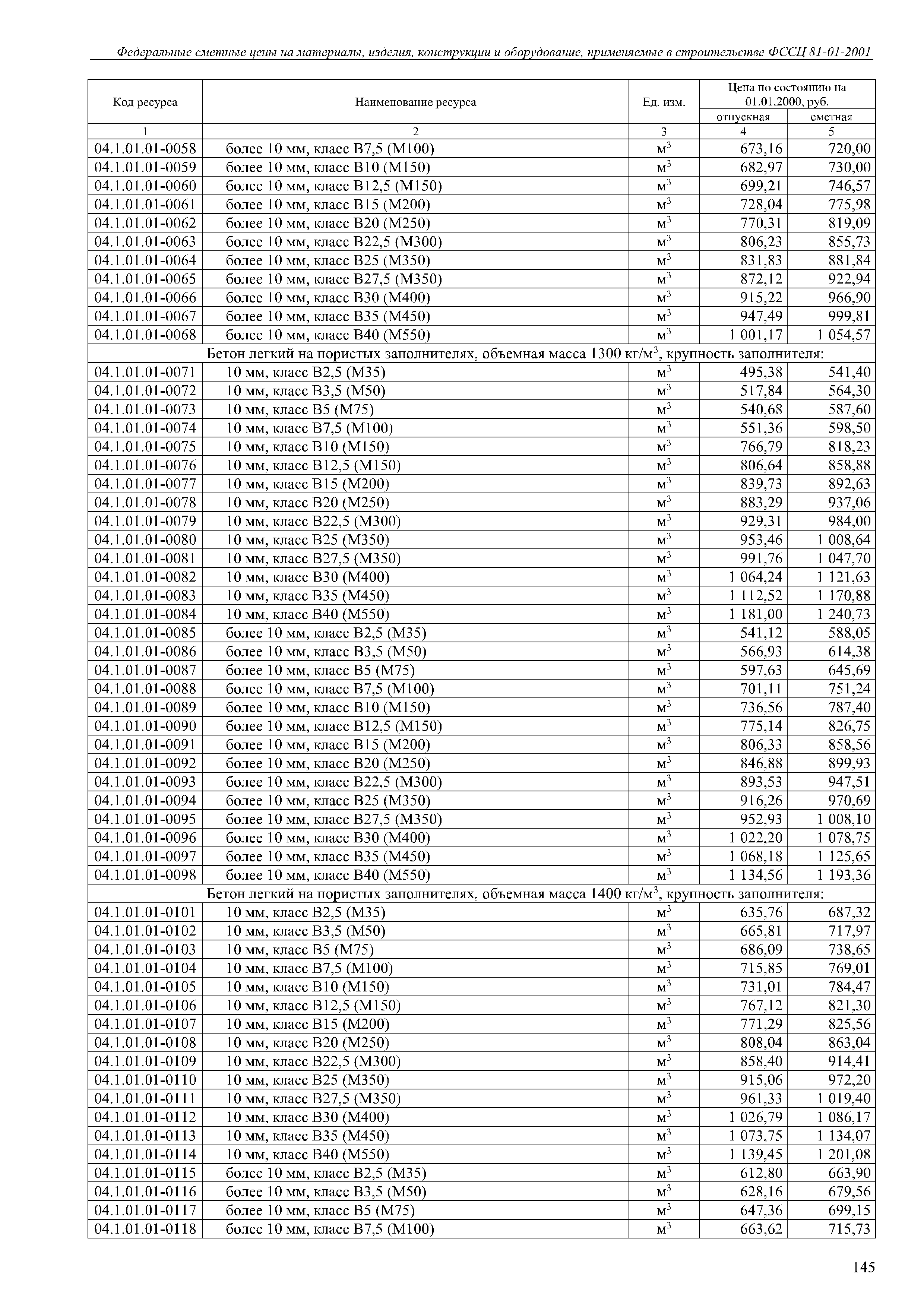
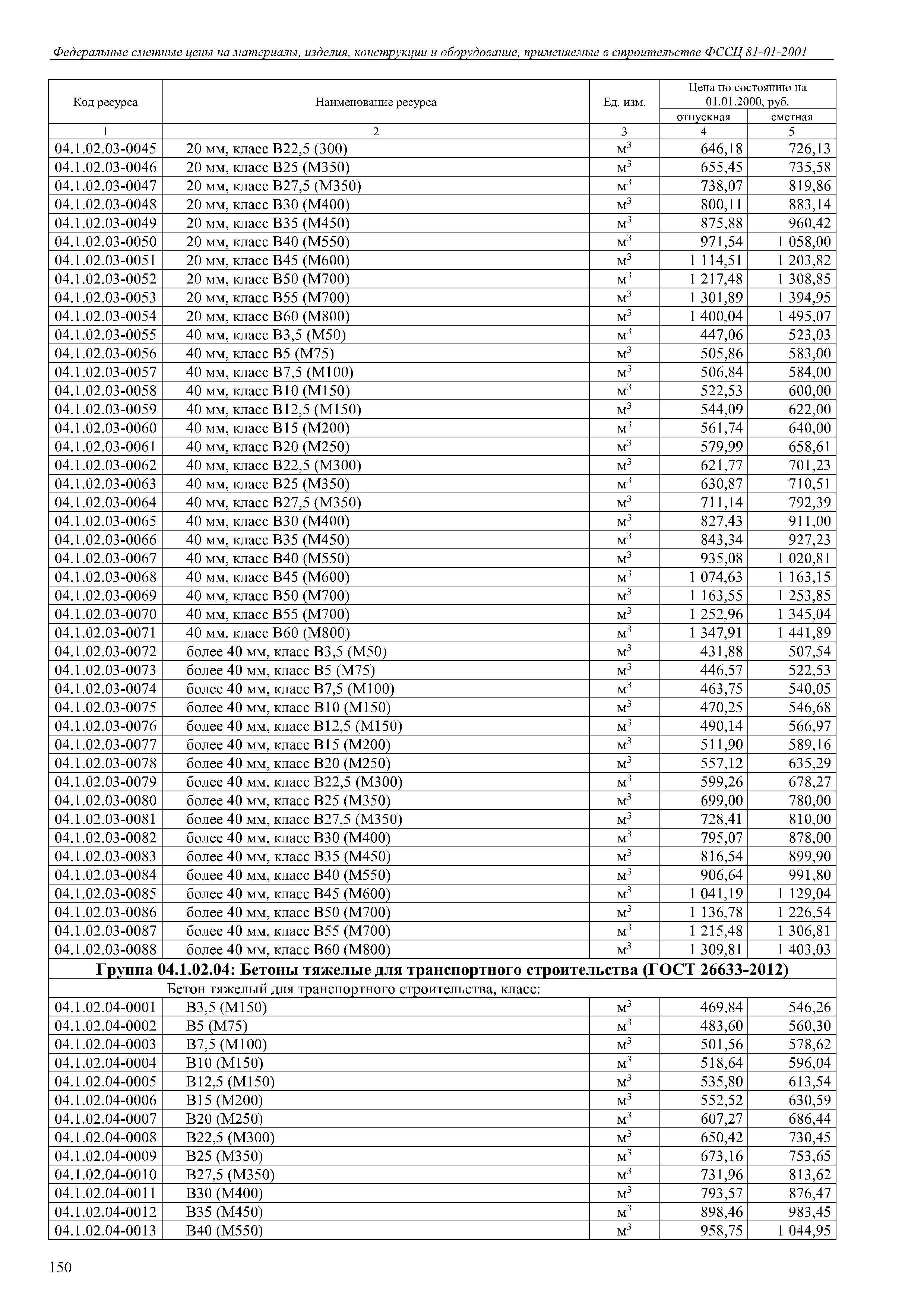
Книга 04: Бетоны, растворы, смеси строительные и асфальтобетонные. Федеральные сметные цены на материалы изделия, конструкции и оборудование, применяемые в строительстве. Федеральный сборник сметных цен на материалы, изделия и конструкции, применяемые в строительствеСтатус: | действует | Название рус.: | Книга 04: Бетоны, растворы, смеси строительные и асфальтобетонные. Федеральные сметные цены на материалы изделия, конструкции и оборудование, применяемые в строительстве. Федеральный сборник сметных цен на материалы, изделия и конструкции, применяемые в строительстве | Дата добавления в базу: | 05.05.2017 | Дата актуализации: | 05.05.2017 | Дата введения: | 28.04.2017 | Область применения: | Государственные сметные нормативы "Федеральные сметные цены на материалы, изделия, конструкции и оборудование, применяемые в строительстве" предназначены для определения сметной стоимости строительства, реконструкции и капитального ремонта объектов капитального строительства. | Оглавление: | Часть 04.1: Бетоны готовые к употреблению Раздел 04.1.0 1: Бетоны легкие Раздел 04.1.02: Бетоны тяжелые и мелкозернистые Часть 04.2: Смеси асфальтобетонные Раздел 04.2.01: Смеси асфальтобетонные горячие Раздел 04.2.02: Смеси асфальтобетонные горячие литые Раздел 04.2.03: Смеси асфальтобетонные горячие щебено-мастичные Раздел 04.2.04: Смеси асфальтобетонные и асфальтобетон холодный Раздел 04.2.05: Смеси асфальтобетонные с применением композиционных материалов Часть 04.3: Смеси и растворы строительные Раздел 04.3.01: Растворы Раздел 04.3.02: Смеси | Утверждён: | 30.12.2016 Минстрой России (Russian Federation Minstroy 1039/пр)
| Расположен в: |
| Нормативные ссылки: | |
                            
|