| ||||||||||||||||||||||||||||||||||
Скачать ГОСТ Р 55682.2-2013 Котлы водотрубные и котельно-вспомогательное оборудование. Часть 2. Материалы для деталей котлов, работающих под давлением, и для вспомогательных устройствДата актуализации: 10.08.2017
|
| Обозначение: | ГОСТ Р 55682.2-2013 |
| Обозначение англ: | GOST R 55682.2-2013 |
| Статус: | введен впервые |
| Название рус.: | Котлы водотрубные и котельно-вспомогательное оборудование. Часть 2. Материалы для деталей котлов, работающих под давлением, и для вспомогательных устройств |
| Название англ.: | Water-tube boilers and auxiliary installations. Part 2. Materials for pressure parts of boilers and accessories |
| Дата добавления в базу: | 12.02.2016 |
| Дата актуализации: | 05.05.2017 |
| Дата введения: | 01.01.2015 |
| Область применения: | Стандарт устанавливает требования к перечисленным ниже материалам и полуфабрикатам, применяемым для изготовления деталей (для водотрубных котлов), работающих под давлением, и деталей, привариваемых к деталям, работающим под давлением. Перечень материалов: - крепеж; - листовой прокат; - отливки; - поковки; - сварочные материалы; - трубы, изготовленные методом электрошлаковой переплавки (ЭШП), плазменной и электродуговой сварки; - трубы бесшовные из композитов; - трубы бесшовные из свариваемой стали; - трубы электросварные; - фасонный прокат. |
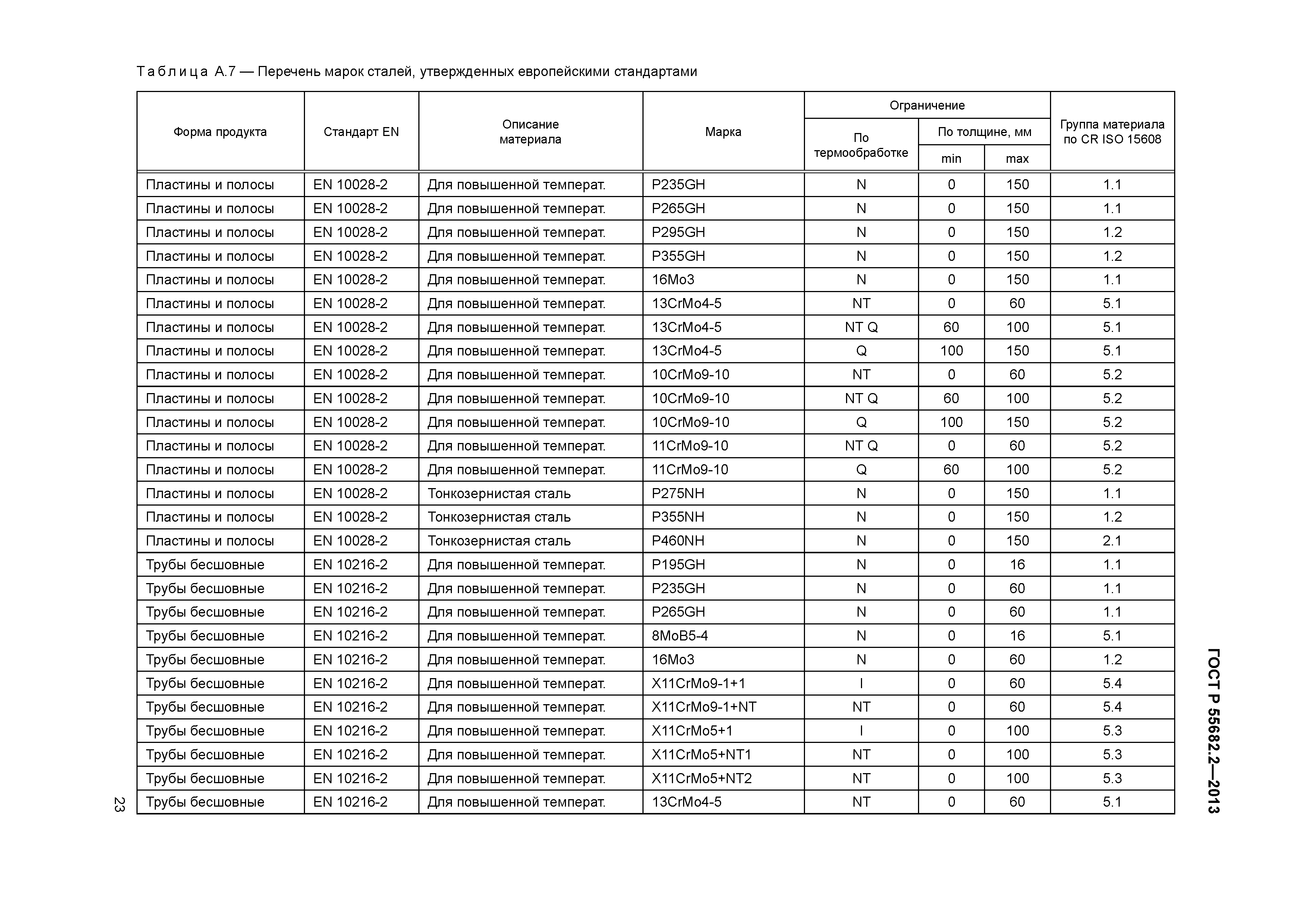
| Оглавление: | 1 Область применения 2 Нормативные ссылки 3 Общие требования 3.1 Отбор материалов по условиям эксплуатации 3.2 Отбор материалов по условиям изготовления деталей 3.3 Спецификация материалов 3.4 Оценка особых свойств материала 3.5 Содержание спецификации на материалы 3.6 Документация на согласование и инспекционный контроль материалов 4 Материалы для деталей, работающих под давлением 4.1 Материалы, включенные в согласованные российские и европейские стандарты на материалы для работы под давлением 4.2 Материалы, прошедшие российскую или европейскую аттестацию материалов для оборудования, предназначенного для работы под давлением. Технические требования 4.3 Материалы, требующие особой оценки свойств 5 Материалы для деталей, работающих без воздействия давления 6 Документация инспекционного контроля Приложение А (обязательное) Применение материалов, включенных в российские и европейские стандарты на материалы А.1 Детали, работающие под давлением А.2 Фитинги А.3 Фланцы А.4 Вентили Приложение В (обязательное) Определение прочности при разрушении методом ползучести, для новых материалов Приложение С (обязательное) Котлы энерготехнологических установок с химически агрессивными средами Приложение ZA (справочное) Приложение ДА (справочное) Сведения о соответствии ссылочных международных стандартов межгосударственным стандартам и национальным стандартам Российской Федерации, использованным в настоящем стандарте в качестве нормативных ссылок Библиография |
| Разработан: | ОАО ЭМАльянс |
| Утверждён: | 06.09.2013 Федеральное агентство по техническому регулированию и метрологии (931-ст) |
| Издан: | Стандартинформ (2015 г. ) |
| Расположен в: | |
| Нормативные ссылки: |
|







































