Информационная система
«Ёшкин Кот»

Скачать базу одним архивом
Скачать обновления
История создания базы
Карта сайта

Скачать МИ 3380-2012 Государственная система обеспечения единства измерений. Преобразователи объемного расхода. Методика поверки на месте эксплуатации поверочной установкой

Дата актуализации: 10.08.2017

МИ 3380-2012

Государственная система обеспечения единства измерений. Преобразователи объемного расхода. Методика поверки на месте эксплуатации поверочной установкой

Обозначение: МИ 3380-2012
Обозначение англ: MI 3380-2012
Статус:действует
Название рус.:Государственная система обеспечения единства измерений. Преобразователи объемного расхода. Методика поверки на месте эксплуатации поверочной установкой
Дата добавления в базу:01.10.2014
Дата актуализации:05.05.2017
Дата введения:01.12.2012
Область применения:Методика поверки распространяется на преобразователи объемного расхода, эксплуатируемые в составе СИКН, СИКНС, СИКНП и СИКЖУ, и устанавливает порядок их первичной и периодической поверок на месте эксплуатации с помощью ПУ. По методике поверяют турбинные и объемно-лопастные преобразователи, имеющие частотный (импульсный) выходной сигнал, и при условии, если градуировочная характеристика преобразователя реализуется (реализована) по одному из способов, изложенных в настоящей методике.
Оглавление:1 Область применения
2 Нормативные ссылки
3 Термины и определения, принятые сокращения
4 Операции и средства поверки
5 Требования безопасности, охраны труда и к квалификации поверителей
6 Условия поверки
7 Подготовка к поверке
8 Проведение поверки
   8.1 Внешний осмотр
   8.2 Опробование
   8.3 Определение метрологических характеристик
9 Обработка результатов измерений
   9.1 Определение коэффициента(ов) преобразования(й) рабочего преобразователя и оценивание СКО
   9.2 Определение параметров ГХ рабочего преобразователя
   9.3 Определение погрешностей рабочего преобразователя
   9.4 Определение МХ и обработка результатов измерений для контрольного преобразователя
10 Оформление результатов поверки
11 Точность представления результатов измерений и вычислений в протоколе поверки
Приложение А. Протокол поверки преобразователя объемного расхода модели (типа) _________ по МИ 3380-2012
Приложение Б. Определение коэффициентов объемного расширения и сжимаемости рабочей жидкости
Приложение В. Установление и контроль значения поверочного расхода, используя результаты измерений поверяемого преобразователя
Приложение Г. Коэффициенты линейного расширения материала цилиндра, стержня, значения модуля упругости (Е) материала цилиндра ПУ
Приложение Д. Определение количества импульсов выходного сигнала преобразователя с учетом долей периода
Приложение Е. Определение коэффициентов CTL и СРL, учитывающих влияние температуры и давления на объем рабочей жидкости
Приложение Ж. Анализ результатов измерений, значения квантиля распределения Стьюдента и коэффициента Z
Приложение И. Сводный перечень условных обозначений и их определений
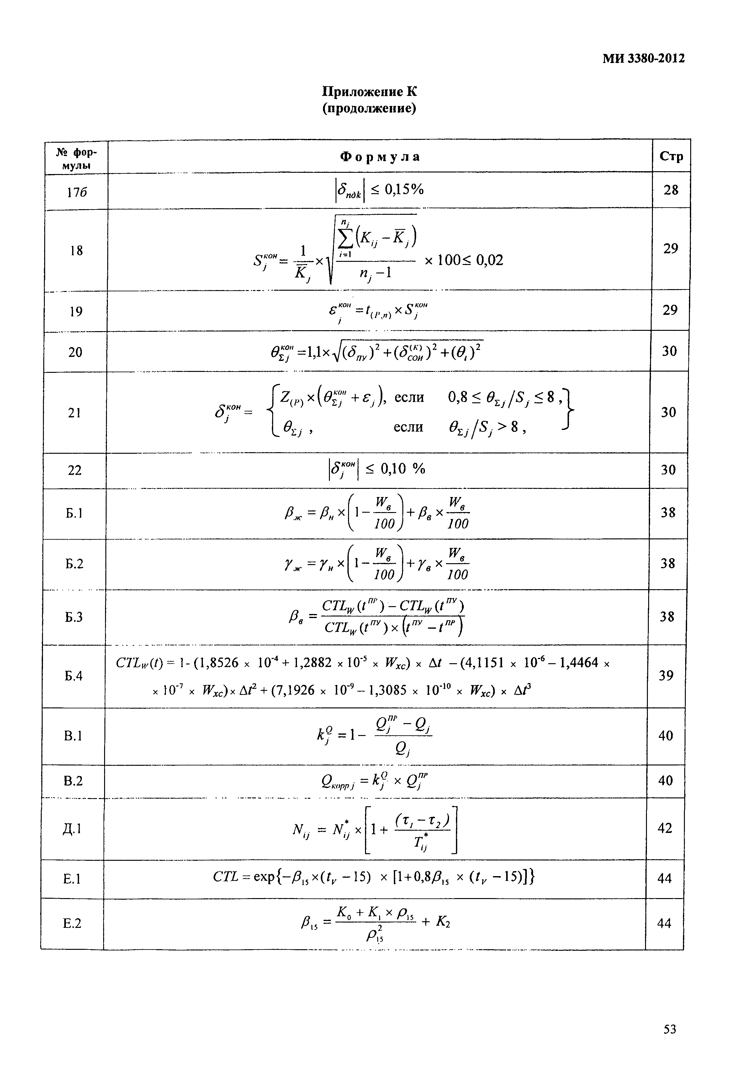
Приложение К. Сводный перечень используемых формул
Разработан: ОАО Нефтеавтоматика
ФГУП ВНИИР-ГНМЦ
ОП ГНМЦ ОАО Нефтеавтоматика
Утверждён:10.09.2012 ФГУП ВНИИР-ГНМЦ
Расположен в:Техническая документация Экология МЕТРОЛОГИЯ И ИЗМЕРЕНИЯ. ФИЗИЧЕСКИЕ ЯВЛЕНИЯ Электричество. Магнетизм. Электрические и магнитные измерения Электричество и магнетизм, прочие аспекты
Список изменений:
Заменяет собой:
Нормативные ссылки:
МИ 3380-2012МИ 3380-2012МИ 3380-2012МИ 3380-2012МИ 3380-2012МИ 3380-2012МИ 3380-2012МИ 3380-2012МИ 3380-2012МИ 3380-2012МИ 3380-2012МИ 3380-2012МИ 3380-2012МИ 3380-2012МИ 3380-2012МИ 3380-2012МИ 3380-2012МИ 3380-2012МИ 3380-2012МИ 3380-2012МИ 3380-2012МИ 3380-2012МИ 3380-2012МИ 3380-2012МИ 3380-2012МИ 3380-2012МИ 3380-2012МИ 3380-2012МИ 3380-2012МИ 3380-2012МИ 3380-2012МИ 3380-2012МИ 3380-2012МИ 3380-2012МИ 3380-2012МИ 3380-2012МИ 3380-2012МИ 3380-2012МИ 3380-2012МИ 3380-2012МИ 3380-2012МИ 3380-2012МИ 3380-2012МИ 3380-2012МИ 3380-2012МИ 3380-2012МИ 3380-2012МИ 3380-2012МИ 3380-2012МИ 3380-2012МИ 3380-2012МИ 3380-2012МИ 3380-2012МИ 3380-2012МИ 3380-2012МИ 3380-2012МИ 3380-2012МИ 3380-2012МИ 3380-2012МИ 3380-2012

Текстовое изменение № 1 от 22.02.2013

№ 1

© 2013 Ёшкин Кот :-) Карта сайта