Информационная система
«Ёшкин Кот»

Скачать базу одним архивом
Скачать обновления
История создания базы
Карта сайта

Скачать ОСН-АПК 2.10.03.001-04 Проектирование комплексной защиты железобетонных конструкций производственных сельскохозяйственных зданий и сооружений от воздействия агрессивных сред

Дата актуализации: 10.08.2017

ОСН-АПК 2.10.03.001-04

Проектирование комплексной защиты железобетонных конструкций производственных сельскохозяйственных зданий и сооружений от воздействия агрессивных сред

Обозначение: ОСН-АПК 2.10.03.001-04
Обозначение англ: 2.10.03.001-04
Статус:действует
Название рус.:Проектирование комплексной защиты железобетонных конструкций производственных сельскохозяйственных зданий и сооружений от воздействия агрессивных сред
Дата добавления в базу:01.09.2013
Дата актуализации:05.05.2017
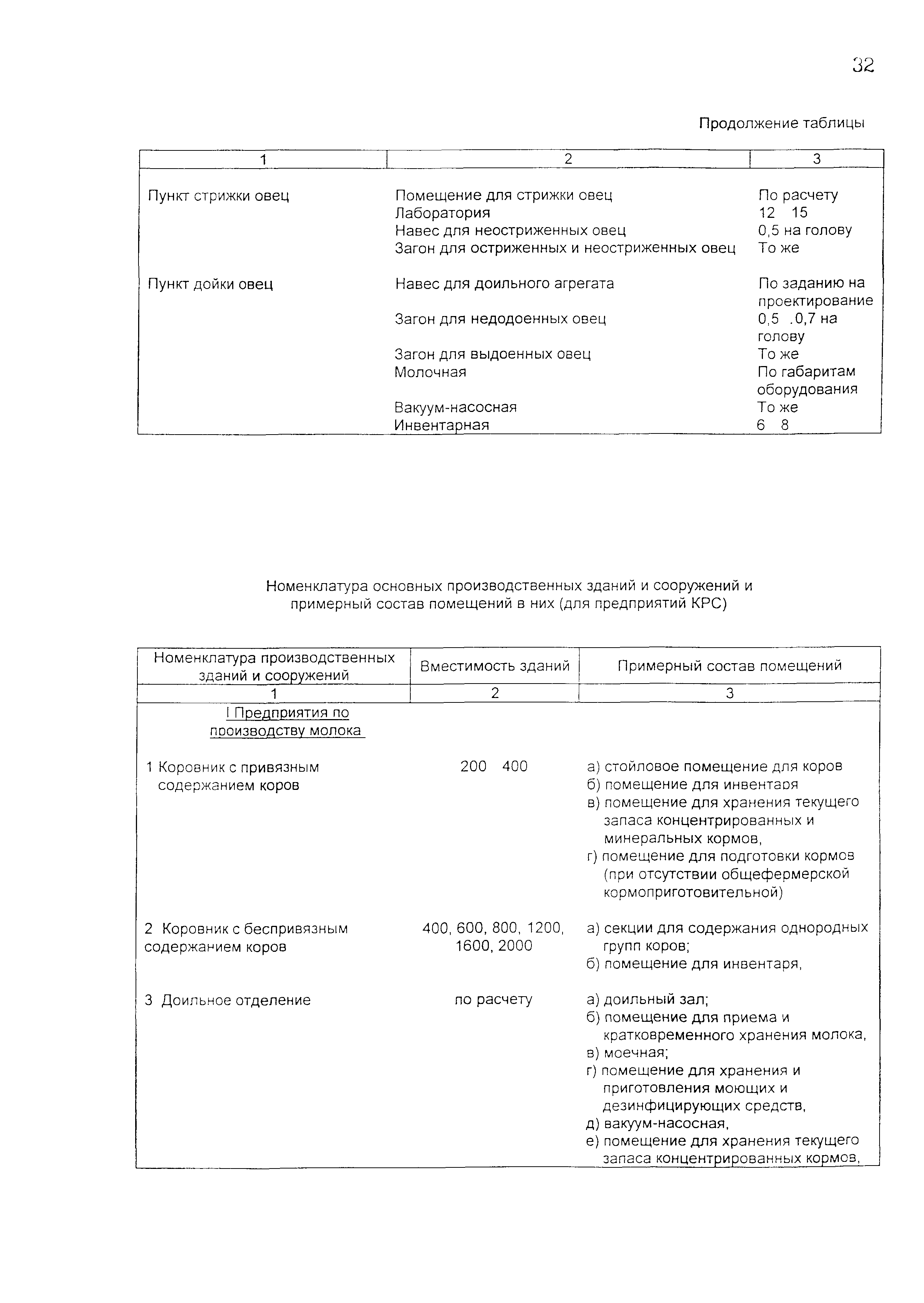
Область применения:Требования Норм должны соблюдаться при проектировании, изготовлении и монтаже железобетонных конструкций, предназначенных для строительства животноводческих и птицеводческих комплексов, ферм, зданий и сооружений, в том числе помещений для содержания и откорма свиней, крупного рогатого скота всех направлений, овец, кроликов, птицы; сооружений по хранению и очистке навозных стоков, а также по приготовлению и хранению кормов.
Оглавление:1 Общие положения
2 Оценка степени агрессивного воздействия среды на бетонные и железобетонные конструкции
3 Требования к проектированию конструкций
4 Требования к исходным материалам для изготовления бетонных и железобетонных конструкций
5 Защита от коррозии бетонных и железобетонных конструкций
6 Защита от коррозии стальных закладных и крепежных деталей
7 Контроль качества исходных материалов, изделий и конструкций
8 Техника безопасности
9 Приложения
Разработан: НИИЖБ
ЦНИИЭПсельстрой
Утверждён:10.11.2004 Минсельхоз РФ
Принят:05.11.2004 Департамент социального развития и охраны труда Минсельхоза России (Department of Social Development and Occupational Safety and Health, Russian Federation Minselkhoz )
Расположен в:Техническая документация Экология СЕЛЬСКОЕ ХОЗЯЙСТВО Сельскохозяйственные постройки, сооружения и установки Сельскохозяйственные постройки и установки, прочие аспекты Строительство Нормативные документы Отраслевые и ведомственные нормативно-методические документы Проектирование предприятий сельского хозяйства
Заменяет собой:
  • «Руководство по комплексной защите от коррозии бетонных и железобетонных конструкций сельскохозяйственных зданий и сооружений»
Нормативные ссылки:
ОСН-АПК 2.10.03.001-04ОСН-АПК 2.10.03.001-04ОСН-АПК 2.10.03.001-04ОСН-АПК 2.10.03.001-04ОСН-АПК 2.10.03.001-04ОСН-АПК 2.10.03.001-04ОСН-АПК 2.10.03.001-04ОСН-АПК 2.10.03.001-04ОСН-АПК 2.10.03.001-04ОСН-АПК 2.10.03.001-04ОСН-АПК 2.10.03.001-04ОСН-АПК 2.10.03.001-04ОСН-АПК 2.10.03.001-04ОСН-АПК 2.10.03.001-04ОСН-АПК 2.10.03.001-04ОСН-АПК 2.10.03.001-04ОСН-АПК 2.10.03.001-04ОСН-АПК 2.10.03.001-04ОСН-АПК 2.10.03.001-04ОСН-АПК 2.10.03.001-04ОСН-АПК 2.10.03.001-04ОСН-АПК 2.10.03.001-04ОСН-АПК 2.10.03.001-04ОСН-АПК 2.10.03.001-04ОСН-АПК 2.10.03.001-04ОСН-АПК 2.10.03.001-04ОСН-АПК 2.10.03.001-04ОСН-АПК 2.10.03.001-04ОСН-АПК 2.10.03.001-04ОСН-АПК 2.10.03.001-04ОСН-АПК 2.10.03.001-04ОСН-АПК 2.10.03.001-04ОСН-АПК 2.10.03.001-04ОСН-АПК 2.10.03.001-04ОСН-АПК 2.10.03.001-04ОСН-АПК 2.10.03.001-04ОСН-АПК 2.10.03.001-04ОСН-АПК 2.10.03.001-04ОСН-АПК 2.10.03.001-04ОСН-АПК 2.10.03.001-04ОСН-АПК 2.10.03.001-04ОСН-АПК 2.10.03.001-04ОСН-АПК 2.10.03.001-04ОСН-АПК 2.10.03.001-04ОСН-АПК 2.10.03.001-04ОСН-АПК 2.10.03.001-04ОСН-АПК 2.10.03.001-04ОСН-АПК 2.10.03.001-04ОСН-АПК 2.10.03.001-04ОСН-АПК 2.10.03.001-04ОСН-АПК 2.10.03.001-04ОСН-АПК 2.10.03.001-04

© 2013 Ёшкин Кот :-) Карта сайта