Информационная система
«Ёшкин Кот»

Скачать базу одним архивом
Скачать обновления
История создания базы
Карта сайта

Скачать Пособие Управление электрохозяйством предприятий. Производственно-практическое пособие

Дата актуализации: 10.08.2017

Пособие

Управление электрохозяйством предприятий. Производственно-практическое пособие

Обозначение: Пособие
Обозначение англ: Handbook
Статус:действует
Название рус.:Управление электрохозяйством предприятий. Производственно-практическое пособие
Дата добавления в базу:01.09.2013
Дата актуализации:05.05.2017
Дата введения:01.01.2004
Область применения:Для руководителей и специалистов энергослужб предприятий (организаций), специалистов по охране труда, контролирующих электроустановки, а также для работников, занимающихся проектированием, монтажом и наладкой электроустановок.
Оглавление:Предисловие
Глава 1 Структура и система организации электрохозяйства
Глава 2 Комплексная система управления электрохозяйством
Глава 3 Законодательные и правовые акты в области электроснабжения
Глава 4 Нормативно-техническая документация в электроустановках
Глава 5 Организация обучения и проверки знаний по нормам и правилам работы в электроустановках
Глава 6 Контроль за рациональной и безопасной эксплуатацией электроустановок
Глава 7 Особенности работы специалистов по охране труда, контролирующих электроустановки
Глава 8 Взаимоотношения потребителей электрической энергии с энергоснабжающими организациями
Глава 9 Порядок оформления и заключения договоров энергоснабжения
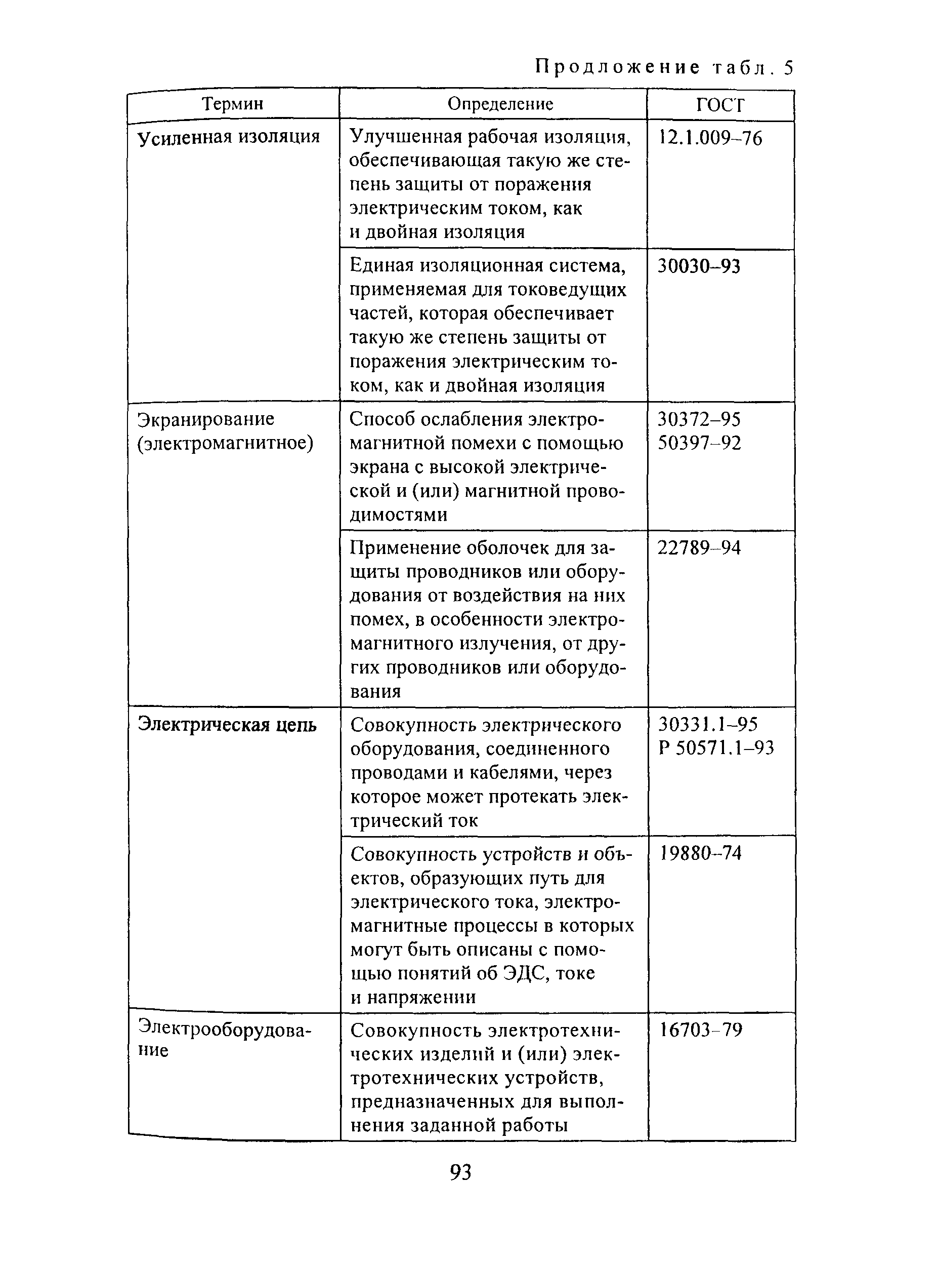
Глава 10 Система терминов и определений в электроэнергетике
Глава 11 Расчетная модель ущерба при отказах электродвигателей
Глава 12 Определение оптимальных уровней безотказности работы электродвигателей
Глава 13 Устойчивость работы электроприемников при компенсации реактивной мощности
Глава 14 Основные принципы расчетного учета электрической энергии
Приложение 1 Заявление-обязательство о возложении ответственности за безопасную эксплуатацию электроустановок
Приложение 2 Формулы для определения реактивной мощности
Приложение 3 Примерная форма акта допуска в эксплуатацию электроустановок
Приложение 4 Разрешение на подключение энергоустановки
Приложение 5 Поэтапная схема оформления и заключения договора энергоснабжения в системе ОАО «Мосэнерго»
Приложение 6 Анкета потребителя электрической энергии
Приложение 7 Маркировка щитков электронных счетчиков
Заключение
Список литературы
Издан: Издательство НЦ ЭНАС (2004 г. )
Расположен в:Техническая документация Экология ЭЛЕКТРОТЕХНИКА Электротехника в целом
Нормативные ссылки:
Пособие Пособие Пособие Пособие Пособие Пособие Пособие Пособие Пособие Пособие Пособие Пособие Пособие Пособие Пособие Пособие Пособие Пособие Пособие Пособие Пособие Пособие Пособие Пособие Пособие Пособие Пособие Пособие Пособие Пособие Пособие Пособие Пособие Пособие Пособие Пособие Пособие Пособие Пособие Пособие Пособие Пособие Пособие Пособие Пособие Пособие Пособие Пособие Пособие Пособие Пособие Пособие Пособие Пособие Пособие Пособие Пособие Пособие Пособие Пособие Пособие Пособие Пособие Пособие Пособие Пособие Пособие Пособие Пособие Пособие Пособие Пособие Пособие Пособие Пособие Пособие Пособие Пособие Пособие Пособие Пособие Пособие Пособие Пособие Пособие Пособие Пособие Пособие Пособие Пособие Пособие Пособие Пособие Пособие Пособие Пособие Пособие Пособие Пособие Пособие Пособие Пособие Пособие Пособие Пособие Пособие Пособие Пособие Пособие Пособие Пособие Пособие Пособие Пособие Пособие Пособие Пособие Пособие Пособие Пособие Пособие Пособие Пособие Пособие Пособие Пособие Пособие Пособие Пособие Пособие Пособие Пособие Пособие Пособие Пособие Пособие Пособие Пособие Пособие Пособие Пособие Пособие Пособие Пособие Пособие Пособие Пособие Пособие Пособие

© 2013 Ёшкин Кот :-) Карта сайта