Информационная система
«Ёшкин Кот»

Скачать базу одним архивом
Скачать обновления
История создания базы
Карта сайта

Скачать ГОСТ 33466-2015 Глобальная навигационная спутниковая система. Система экстренного реагирования при авариях. Методы испытаний устройства/системы вызова экстренных оперативных служб на соответствие требованиям по электромагнитной совместимости, стойкости к климатическим и механическим воздействиям

Дата актуализации: 10.08.2017

ГОСТ 33466-2015

Глобальная навигационная спутниковая система. Система экстренного реагирования при авариях. Методы испытаний устройства/системы вызова экстренных оперативных служб на соответствие требованиям по электромагнитной совместимости, стойкости к климатическим и механическим воздействиям

Обозначение: ГОСТ 33466-2015
Обозначение англ: GOST 33466-2015
Статус:введен впервые
Название рус.:Глобальная навигационная спутниковая система. Система экстренного реагирования при авариях. Методы испытаний устройства/системы вызова экстренных оперативных служб на соответствие требованиям по электромагнитной совместимости, стойкости к климатическим и механическим воздействиям
Название англ.:Global navigation satellite system. Road accident emergency response system. Compliance test methods for electromagnetic compatibility, environmental and mechanical resistance requirements of in-vehicle emergency call device/system
Дата добавления в базу:05.05.2017
Дата актуализации:05.05.2017
Дата введения:01.01.2017
Область применения:Стандарт распространяется на устройства и системы вызова экстренных оперативных служб как штатные, так и исполненные в конфигурации дополнительного оборудования, предназначенные для установки на колесные транспортные средства категорий M и N в соответствии с требованиями [1]. Стандарт устанавливает методы испытаний устройств/систем вызова экстренных оперативных служб на соответствие требованиям по электромагнитной совместимости, стойкости к климатическим и механическим воздействиям, установленным в ГОСТ 33464 для целей выполнения требований технического регламента [1].
Оглавление:1 Область применения
2 Нормативные ссылки
3 Термины, определения и сокращения
4 Общие положения
5 Методы испытаний устройства/системы вызова экстренных оперативных служб на соответствие требованиям по электромагнитной совместимости
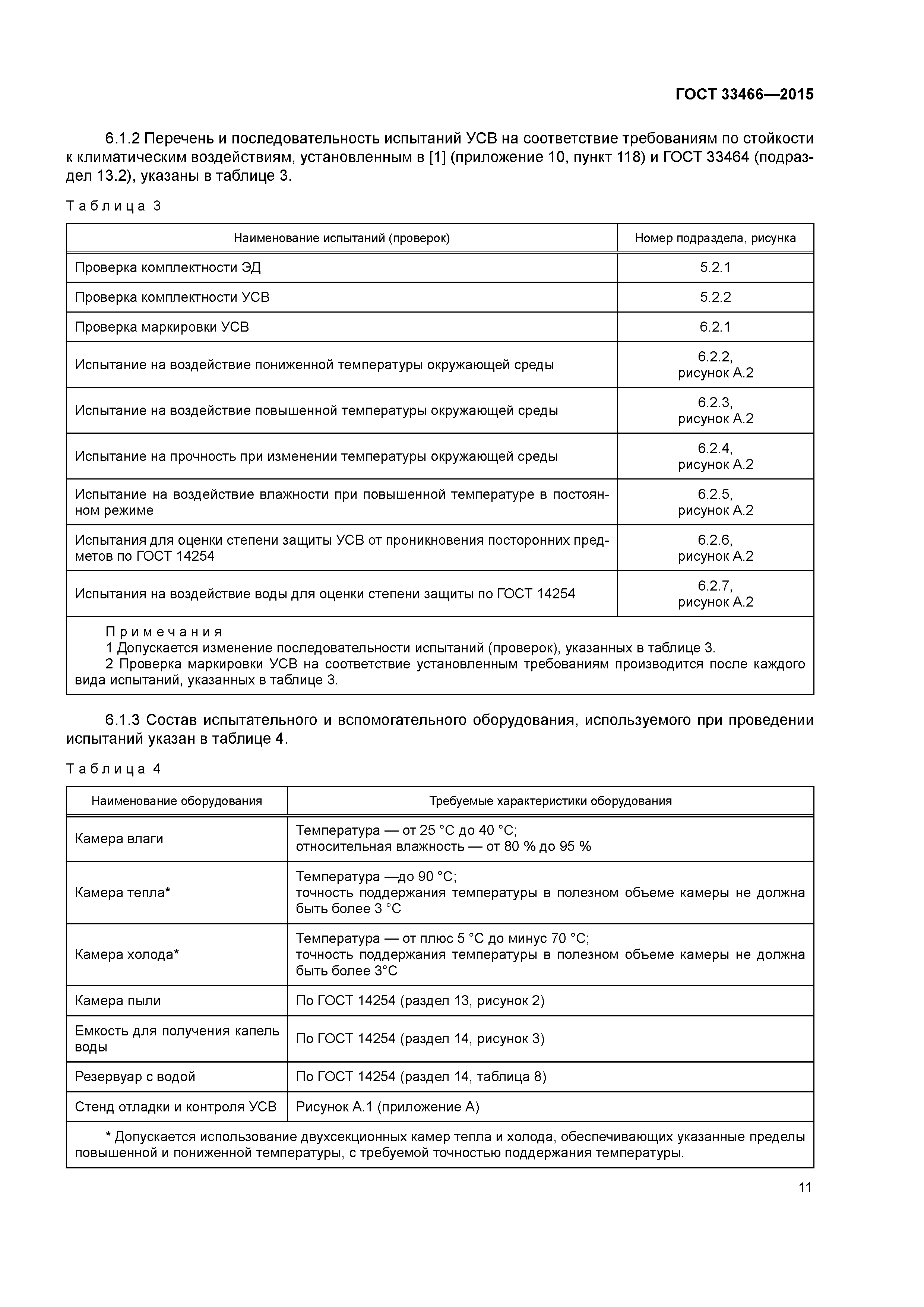
6 Методы испытаний устройства/системы вызова экстренных оперативных служб на соответствие требованиям по стойкости к климатическим воздействиям
7 Методы испытаний устройства/системы вызова экстренных оперативных служб на соответствие требованиям по стойкости к механическим воздействиям
Приложение А (обязательное) Структурные схемы стендов и соединений для испытаний устройства/системы вызова экстренных оперативных служб
Библиография
Разработан: АО НТЦ Интернавигация
Утверждён:12.11.2015 Межгосударственный Совет по стандартизации, метрологии и сертификации (Inter-Governmental Council on Standardization, Metrology, and Certification 82-П)
15.12.2016 Федеральное агентство по техническому регулированию и метрологии (2036-ст)
Издан: Стандартинформ (2017 г. )
Расположен в:Техническая документация Электроэнергия ТЕЛЕКОММУНИКАЦИИ. АУДИО-И ВИДЕОТЕХНИКА Телекоммуникации в целом Экология ТЕЛЕКОММУНИКАЦИИ. АУДИО-И ВИДЕОТЕХНИКА Телекоммуникации в целом
Нормативные ссылки:
ГОСТ 33466-2015ГОСТ 33466-2015ГОСТ 33466-2015ГОСТ 33466-2015ГОСТ 33466-2015ГОСТ 33466-2015ГОСТ 33466-2015ГОСТ 33466-2015ГОСТ 33466-2015ГОСТ 33466-2015ГОСТ 33466-2015ГОСТ 33466-2015ГОСТ 33466-2015ГОСТ 33466-2015ГОСТ 33466-2015ГОСТ 33466-2015ГОСТ 33466-2015ГОСТ 33466-2015ГОСТ 33466-2015ГОСТ 33466-2015ГОСТ 33466-2015ГОСТ 33466-2015ГОСТ 33466-2015ГОСТ 33466-2015ГОСТ 33466-2015ГОСТ 33466-2015ГОСТ 33466-2015ГОСТ 33466-2015ГОСТ 33466-2015ГОСТ 33466-2015ГОСТ 33466-2015ГОСТ 33466-2015ГОСТ 33466-2015ГОСТ 33466-2015ГОСТ 33466-2015

© 2013 Ёшкин Кот :-) Карта сайта