Информационная система
«Ёшкин Кот»

Скачать базу одним архивом
Скачать обновления
История создания базы
Карта сайта

Скачать ГОСТ Р 56115-2014 Защита информации. Автоматизированные системы в защищенном исполнении. Средства защиты от преднамеренных силовых электромагнитных воздействий. Общие требования

Дата актуализации: 10.08.2017

ГОСТ Р 56115-2014

Защита информации. Автоматизированные системы в защищенном исполнении. Средства защиты от преднамеренных силовых электромагнитных воздействий. Общие требования

Обозначение: ГОСТ Р 56115-2014
Обозначение англ: GOST R 56115-2014
Статус:введен впервые
Название рус.:Защита информации. Автоматизированные системы в защищенном исполнении. Средства защиты от преднамеренных силовых электромагнитных воздействий. Общие требования
Название англ.:Information protection. Protected operational systems. Means of protection against purposeful powerful electromagnetic impacts. General requirements
Дата добавления в базу:21.05.2015
Дата актуализации:05.05.2017
Дата введения:01.07.2015
Область применения:Стандарт распространяется на средства защиты автоматизированных систем от преднамеренных силовых электромагнитных воздействий. Стандарт устанавливает дополнительные требования и положения комплекса стандартов серии 34.ХХХ на автоматизированные системы в части создания и применения средств защиты автоматизированных систем в защищенном исполнении от преднамеренных силовых электромагнитных воздействий, которые могут привести к деструктивным последствиям. Стандарт распространяется на средства защиты автоматизированных систем в защищенном исполнении от преднамеренных силовых электромагнитных воздействий по номенклатуре ГОСТ Р 52863-2007.
Оглавление:1 Область применения
2 Нормативные ссылки
3 Термины, определения и сокращения
4 Классификация средств защиты автоматизированной системы в защищенном исполнении от преднамеренных силовых электромагнитных воздействий
5 Показатели назначения средств защиты автоматизированной системы в защищенном исполнении от преднамеренных силовых электромагнитных воздействий
6 Требования к электромагнитной совместимости
7 Требования стойкости к внешним воздействиям
8 Маркировка
9 Требования безопасности
10 Методы испытаний средств защиты автоматизированной системы в защищенном исполнении от преднамеренных силовых электромагнитных воздействий
11 Транспортирование и хранение
Приложение А (обязательное) Порядок проведения испытаний
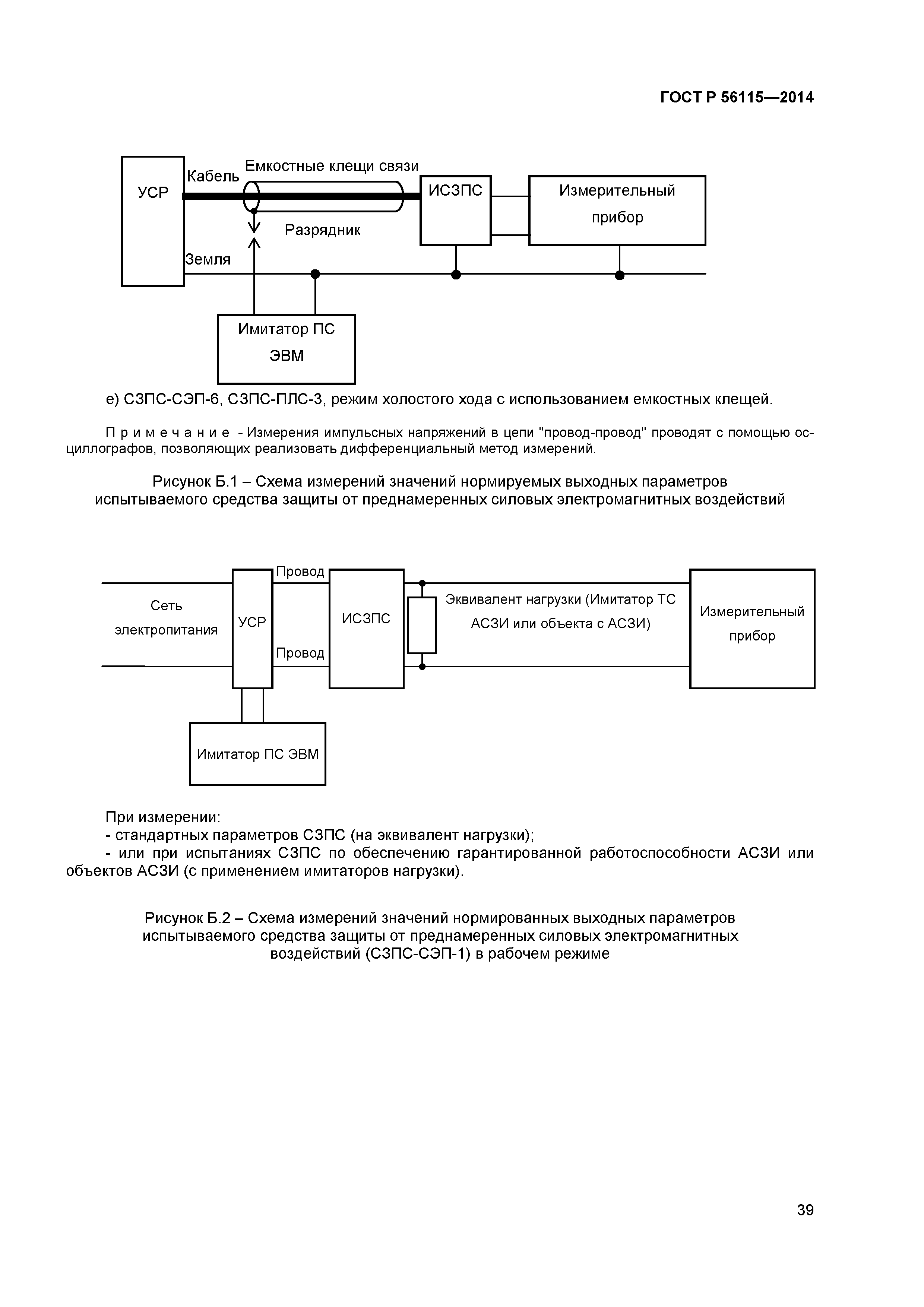
Приложение Б (рекомендуемое) Схемы испытаний средств защиты от преднамеренных силовых электромагнитных воздействий
Разработан: ЗАО ЭМСОТЕХ
ФАУ ГНИИИ ПТЗИ ФСТЭК России
ФГУП ЦентрИнформ
Утверждён:18.09.2014 Федеральное агентство по техническому регулированию и метрологии (1123-ст)
Издан: Стандартинформ (2015 г. )
Расположен в:Техническая документация Электроэнергия ИНФОРМАЦИОННЫЕ ТЕХНОЛОГИИ. МАШИНЫ КОНТОРСКИЕ Информационные технологии (ИТ) в целом Экология ИНФОРМАЦИОННЫЕ ТЕХНОЛОГИИ. МАШИНЫ КОНТОРСКИЕ Информационные технологии (ИТ) в целом
Нормативные ссылки:
ГОСТ Р 56115-2014ГОСТ Р 56115-2014ГОСТ Р 56115-2014ГОСТ Р 56115-2014ГОСТ Р 56115-2014ГОСТ Р 56115-2014ГОСТ Р 56115-2014ГОСТ Р 56115-2014ГОСТ Р 56115-2014ГОСТ Р 56115-2014ГОСТ Р 56115-2014ГОСТ Р 56115-2014ГОСТ Р 56115-2014ГОСТ Р 56115-2014ГОСТ Р 56115-2014ГОСТ Р 56115-2014ГОСТ Р 56115-2014ГОСТ Р 56115-2014ГОСТ Р 56115-2014ГОСТ Р 56115-2014ГОСТ Р 56115-2014ГОСТ Р 56115-2014ГОСТ Р 56115-2014ГОСТ Р 56115-2014ГОСТ Р 56115-2014ГОСТ Р 56115-2014ГОСТ Р 56115-2014ГОСТ Р 56115-2014ГОСТ Р 56115-2014ГОСТ Р 56115-2014ГОСТ Р 56115-2014ГОСТ Р 56115-2014ГОСТ Р 56115-2014ГОСТ Р 56115-2014ГОСТ Р 56115-2014ГОСТ Р 56115-2014ГОСТ Р 56115-2014ГОСТ Р 56115-2014ГОСТ Р 56115-2014ГОСТ Р 56115-2014ГОСТ Р 56115-2014ГОСТ Р 56115-2014ГОСТ Р 56115-2014ГОСТ Р 56115-2014ГОСТ Р 56115-2014ГОСТ Р 56115-2014

© 2013 Ёшкин Кот :-) Карта сайта