Информационная система
«Ёшкин Кот»

Скачать базу одним архивом
Скачать обновления
История создания базы
Карта сайта

Скачать РД ЭО 0198-2000 Техническое обслуживание и ремонт систем и оборудования АС. Сборка фланцевых соединений. Общие технические требования

Дата актуализации: 10.08.2017

РД ЭО 0198-2000

Техническое обслуживание и ремонт систем и оборудования АС. Сборка фланцевых соединений. Общие технические требования

Обозначение: РД ЭО 0198-2000
Обозначение англ: RD EO 0198-2000
Статус:действует
Название рус.:Техническое обслуживание и ремонт систем и оборудования АС. Сборка фланцевых соединений. Общие технические требования
Дата добавления в базу:01.10.2014
Дата актуализации:05.05.2017
Дата введения:01.10.2001
Область применения:Документ обязателен для атомных станций (АС) в составе концерна «Росэнергоатом», для входящих в эксплуатирующую организацию предприятий, обеспечивающих безопасную эксплуатацию АС, а также для всех других предприятий, привлекаемых к выполнению работ (оказанию услуг), связанных с техническим обслуживанием и ремонтом систем и оборудования АС. Руководящий документ устанавливает общие технические требования на сборку фланцевых соединений с неметаллическими, металлическими и комбинированными прокладками сосудов, аппаратов, машин, трубопроводной арматуры и трубопроводов важных для безопасности систем атомных станций (АС) с паровой, газовой и жидкостной рабочей средой.
Оглавление:1 Область применения
2 Нормативные ссылки
3 Общие положения
4 Требования к фланцам, прокладкам и крепежным деталям фланцевых соединений
5 Требования к сборке фланцевых соединений
6 Контроль сборки фланцевых соединений
Приложение А. Примерный перечень оборудования систем АС, при сборке фланцевых соединений которого должны выполняться требования РД
Приложение Б. Типы и основные параметры фланцев
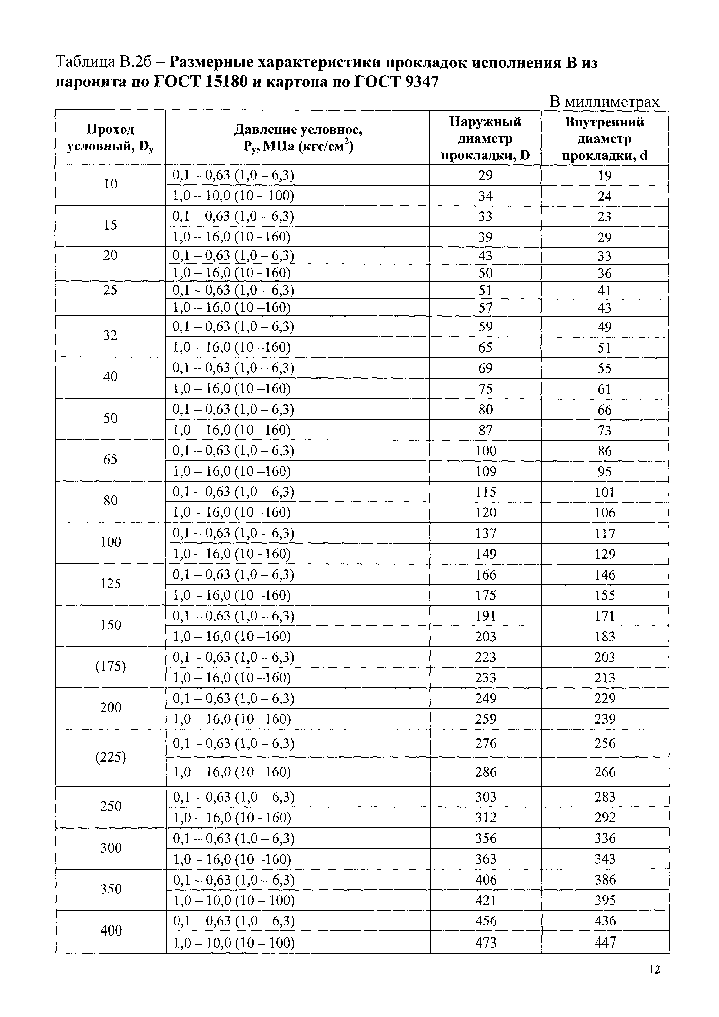
Приложение В. Материалы и конструктивные характеристики прокладок
Приложение Г. Определение крутящего момента для затяжки крепежа фланцевых соединений
Разработан: ИЦП МАЭ
ГП ВНИИАЭС
Департамент по техническому обслуживанию и ремонту концерна Росэнергоатом
Департамент научно-технической поддержки концерна Росэнергоатом
Утверждён:26.07.2000 Концерн Росэнергоатом (Rosenergoatom Concern 410)
Принят:13.08.2002 ОАО Чеховский завод энергетического машиностроения (51310/516)
01.08.2002 ОАО Пензтяжпромарматура (2803)
Расположен в:Техническая документация Экология ЭНЕРГЕТИКА И ТЕПЛОТЕХНИКА Атомная энергетика Атомная энергетика, прочие аспекты Строительство Нормативные документы Отраслевые и ведомственные нормативно-методические документы Проектирование и строительство объектов энергетического комплекса Нормативные документы органов надзора Нормативные документы Госатомнадзора России
Список изменений:
Нормативные ссылки:
РД ЭО 0198-2000РД ЭО 0198-2000РД ЭО 0198-2000РД ЭО 0198-2000РД ЭО 0198-2000РД ЭО 0198-2000РД ЭО 0198-2000РД ЭО 0198-2000РД ЭО 0198-2000РД ЭО 0198-2000РД ЭО 0198-2000РД ЭО 0198-2000РД ЭО 0198-2000РД ЭО 0198-2000РД ЭО 0198-2000РД ЭО 0198-2000РД ЭО 0198-2000РД ЭО 0198-2000РД ЭО 0198-2000РД ЭО 0198-2000РД ЭО 0198-2000РД ЭО 0198-2000РД ЭО 0198-2000РД ЭО 0198-2000РД ЭО 0198-2000РД ЭО 0198-2000РД ЭО 0198-2000РД ЭО 0198-2000РД ЭО 0198-2000РД ЭО 0198-2000РД ЭО 0198-2000РД ЭО 0198-2000РД ЭО 0198-2000РД ЭО 0198-2000РД ЭО 0198-2000РД ЭО 0198-2000РД ЭО 0198-2000РД ЭО 0198-2000РД ЭО 0198-2000РД ЭО 0198-2000РД ЭО 0198-2000РД ЭО 0198-2000РД ЭО 0198-2000РД ЭО 0198-2000РД ЭО 0198-2000РД ЭО 0198-2000РД ЭО 0198-2000РД ЭО 0198-2000РД ЭО 0198-2000РД ЭО 0198-2000РД ЭО 0198-2000РД ЭО 0198-2000РД ЭО 0198-2000РД ЭО 0198-2000РД ЭО 0198-2000РД ЭО 0198-2000РД ЭО 0198-2000РД ЭО 0198-2000РД ЭО 0198-2000РД ЭО 0198-2000РД ЭО 0198-2000РД ЭО 0198-2000РД ЭО 0198-2000РД ЭО 0198-2000РД ЭО 0198-2000РД ЭО 0198-2000РД ЭО 0198-2000РД ЭО 0198-2000РД ЭО 0198-2000РД ЭО 0198-2000РД ЭО 0198-2000РД ЭО 0198-2000РД ЭО 0198-2000РД ЭО 0198-2000РД ЭО 0198-2000РД ЭО 0198-2000РД ЭО 0198-2000РД ЭО 0198-2000РД ЭО 0198-2000РД ЭО 0198-2000РД ЭО 0198-2000РД ЭО 0198-2000РД ЭО 0198-2000РД ЭО 0198-2000РД ЭО 0198-2000РД ЭО 0198-2000РД ЭО 0198-2000РД ЭО 0198-2000РД ЭО 0198-2000РД ЭО 0198-2000РД ЭО 0198-2000РД ЭО 0198-2000РД ЭО 0198-2000РД ЭО 0198-2000РД ЭО 0198-2000РД ЭО 0198-2000РД ЭО 0198-2000РД ЭО 0198-2000РД ЭО 0198-2000РД ЭО 0198-2000РД ЭО 0198-2000

Текстовое изменение № 2 от 01.11.2004

№ 2№ 2№ 2

Текстовое изменение № 3 от 18.12.2007

№ 3№ 3№ 3№ 3№ 3№ 3№ 3№ 3№ 3№ 3№ 3№ 3№ 3№ 3№ 3

Текстовое изменение № 4 от 01.01.2009

№ 4№ 4№ 4№ 4№ 4№ 4№ 4№ 4№ 4№ 4

Текстовое изменение № 5 от 02.07.2012

№ 5№ 5№ 5№ 5№ 5№ 5

© 2013 Ёшкин Кот :-) Карта сайта