Скачать ГОСТ Р 51524-2012 Совместимость технических средств электромагнитная. Системы электрического привода с регулируемой скоростью. Часть 3. Требования ЭМС и специальные методы испытанийДата актуализации: 10.08.2017 ГОСТ Р 51524-2012
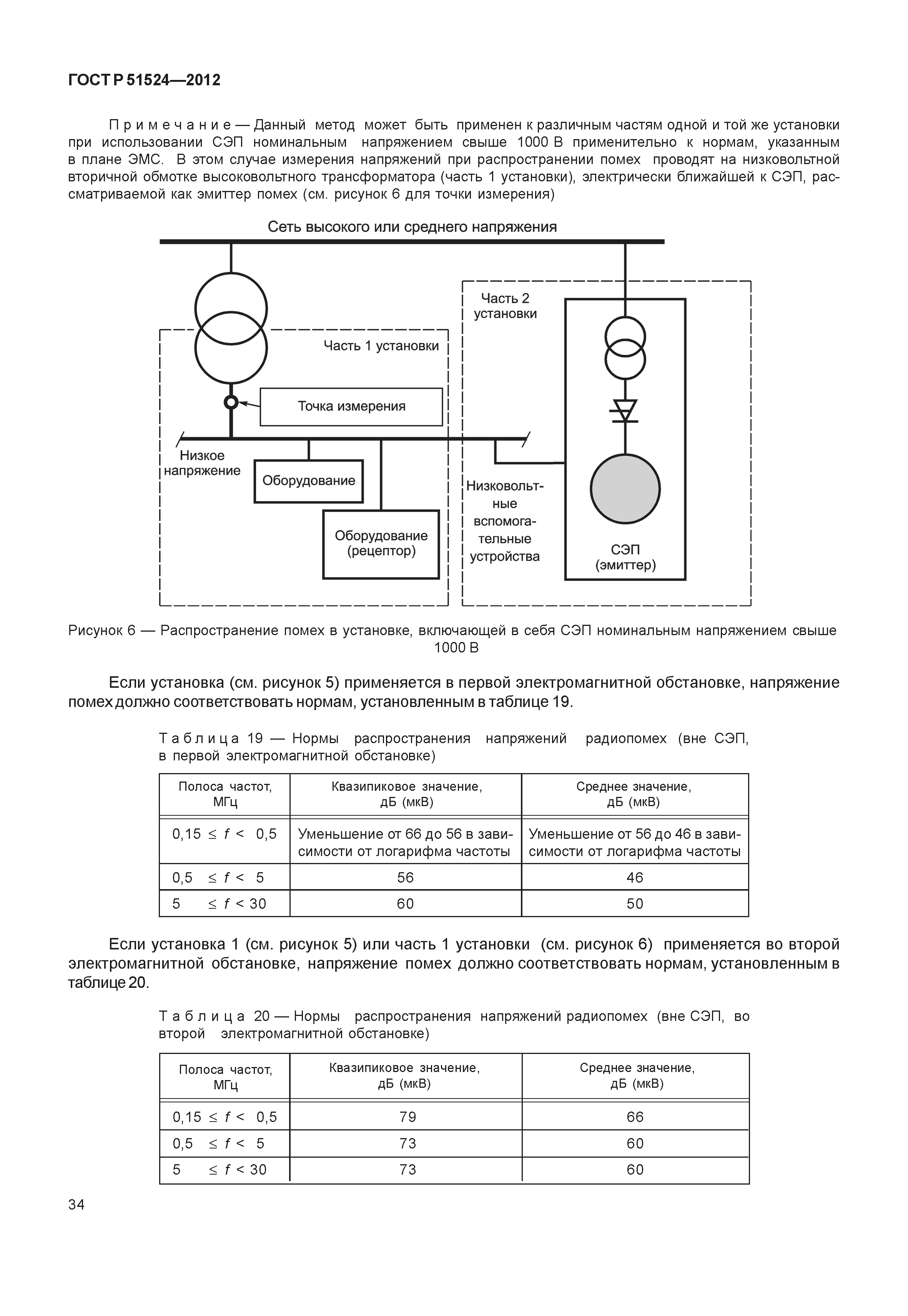
Совместимость технических средств электромагнитная. Системы электрического привода с регулируемой скоростью. Часть 3. Требования ЭМС и специальные методы испытаний| Обозначение: | ГОСТ Р 51524-2012 | | Обозначение англ: | GOST R 51524-2012 | | Статус: | действует | | Название рус.: | Совместимость технических средств электромагнитная. Системы электрического привода с регулируемой скоростью. Часть 3. Требования ЭМС и специальные методы испытаний | | Название англ.: | Еlectromagnetic compatibility of technical equipment. Adjustable speed electrical power drive systems. Part 3. EMC requirements and specific test methods | | Дата добавления в базу: | 01.10.2014 | | Дата актуализации: | 05.05.2017 | | Дата введения: | 01.01.2013 | | Область применения: | Стандарт устанавливает требования электромагнитной совместимости (ЭMC) к системам электрического привода (СЭП) в соответствии с определением 3.1, предназначенным для регулирования скорости вращения электрических двигателей переменного и постоянного тока. Требования установлены к СЭП с преобразователями входного и/или выходного напряжений переменного тока (напряжение «линия - линия») до 35 кВ (среднеквадратическое значение). Стандарт распространяется на СЭП, применяемые в жилых, коммерческих и промышленных зонах, за исключением применений для электрической тяги и электрических транспортных средств. СЭП могут быть подключены как к промышленным электрическим сетям, так и к низковольтным электрическим сетям общего назначения. Промышленные сети получают питание от отдельных распределительных трансформаторов, которые обычно расположены около или внутри производственной зоны и питают только промышленных потребителей. Промышленные сети могут также получать питание от собственного электрического генерирующего оборудования. | | Оглавление: | 1 Область применения и цель 2 Нормативные ссылки 3 Термины и определения 3.1 Определения, относящиеся к установкам и их составным частям 3.2 Применение по назначению 3.3 Места размещения, порты и интерфейсы 3.4 Компоненты СЭП 3.5 Термины, относящиеся к электромагнитным явлениям 4 Общие требования 4.1 Общие условия 4.2 Испытания 4.3 Документация для пользователя 5 Требования помехоустойчивости 5.1 Общие условия 5.2 Основные требования помехоустойчивости. Низкочастотные электромагнитные помехи 5.3 Основные требования помехоустойчивости. Высокочастотные электромагнитные помехи 5.4 Применение требований помехоустойчивости. Статистические аспекты 6 Требования электромагнитной эмиссии 6.1 Общие требования электромагнитной эмиссии 6.2 Основные нормы низкочастотных электромагнитных помех 6.3 Условия измерений высокочастотных электромагнитных помех 6.4 Основные нормы высокочастотных электромагнитных помех 6.5 Инженерная практика 6.6 Применение требований электромагнитной эмиссии. Статистические аспекты Приложение А (справочное) Методы ЭМС Приложение В (справочное) Низкочастотные электромагнитные помехи Приложение С (справочное) Компенсация реактивной мощности. Фильтрация Приложение D (справочное) Рассмотрение высокочастотных электромагнитных помех Приложение Е (справочное) Анализ электромагнитной совместимости и план ЭМС Приложение ДА (справочное) Сведения о соответствии ссылочных национальных стандартов международным стандартам, использованным в качестве ссылочных в примененном международном стандарте Библиография | | Разработан: | ЗАО Научно-испытательный центр САМТЭС ТК 30 Электромагнитная совместимость технических средств
| | Утверждён: | 29.11.2011 Федеральное агентство по техническому регулированию и метрологии (1841-ст)
| | Издан: | Стандартинформ (2014 г. )
| | Расположен в: |
| | Заменяет собой: | | | Нормативные ссылки: |  ГОСТ Р 50648-94 «Совместимость технических средств электромагнитная. Устойчивость к магнитному полю промышленной частоты. Технические требования и методы испытаний» ГОСТ Р 51317.4.5-99 «Совместимость технических средств электромагнитная. Устойчивость к микросекундным импульсным помехам большой энегрии. Требования и методы испытаний» ГОСТ Р 51317.4.6-99 «Совместимость технических средств электромагнитная. Устойчивость к кондуктивным помехам, наведенным радиочастотными электромагнитными полями. Требования и методы испытаний»  ГОСТ Р 51317.2.4-2000 «Совместимость технических средств электромагнитная. Электромагнитная обстановка. Уровни электромагнитной совместимости для низкочастотных кондуктивных помех в системах электроснабжения промышленных предприятий»  ГОСТ Р 51317.2.5-2000 «Совместимость технических средств электромагнитная. Электромагнитная обстановка. Классификация электромагнитных помех в местах размещения технических средств» ГОСТ Р 51317.3.4-2006 «Совместимость технических средств электромагнитная. Ограничение эмиссии гармонических составляющих тока техническими средствами с потребляемым током более 16 А, подключаемыми к низковольтным системам электроснабжения. Нормы и методы испытаний» ГОСТ Р 51317.3.11-2006 «Совместимость технических средств электромагнитная. Ограничение изменений напряжения, колебаний напряжения и фликера в низковольтных системах электроснабжения общего назначения. Технические средства с потребляемым током не более 75 А, подключаемые к электрической сети при определенных условиях. Нормы и методы испытаний» ГОСТ Р 51317.3.12-2006 «Совместимость технических средств электромагнитная. Ограничение гармонических составляющих тока, создаваемых техническими средствами с потребляемым током более 16 А, но не более 75 А (в одной фазе), подключаемыми к низковольтным системам электроснабжения общего назначения. Нормы и методы испытаний» ГОСТ Р 51317.4.13-2006 «Совместимость технических средств электромагнитная. Устойчивость к искажениям синусоидальности напряжения электропитания, включая передачу сигналов по электрическим сетям. Требования и методы испытаний»  ГОСТ Р 51317.3.2-2006 «Совместимость технических средств электромагнитная. Эмиссия гармонических составляющих тока техническими средствами с потребляемым током не более 16 А (в одной фазе). Нормы и методы испытаний»  ГОСТ Р 51317.4.3-2006 «Совместимость технических средств электромагнитная. Устойчивость к радиочастотному электромагнитному полю. Требования и методы испытаний»  ГОСТ Р 51318.22-2006 «Совместимость технических средств электромагнитная. Оборудование информационных технологий. Радиопомехи индустриальные. Нормы и методы измерений» ГОСТ Р 51318.14.1-2006 «Совместимость технических средств электромагнитная. Бытовые приборы, электрические инструменты и аналогичные устройства. Радиопомехи индустриальные. Нормы и методы измерений»  ГОСТ Р 51318.11-2006 «Совместимость технических средств электромагнитная. Промышленные, научные, медицинские и бытовые (ПНМБ) высокочастотные устройства. Радиопомехи индустриальные. Нормы и методы измерений»  ГОСТ Р 51317.4.4-2007 «Совместимость технических средств электромагнитная. Устойчивость к наносекундным импульсным помехам. Требования и методы испытаний»  ГОСТ Р 51317.4.11-2007 «Совместимость технических средств электромагнитная. Устойчивость к провалам, кратковременным прерываниям и изменениям напряжения электропитания. Требования и методы испытаний»  ГОСТ Р 51317.4.34-2007 «Совместимость технических средств электромагнитная. Устойчивость к провалам, кратковременным прерываниям и изменениям напряжения электропитания технических средств с потребляемым током более 16 А в одной фазе. Требования и методы испытаний»  ГОСТ Р 51318.16.1.2-2007 «Совместимость технических средств электромагнитная. Требования к аппаратуре для измерения параметров индустриальных радиопомех и помехоустойчивости и методы измерений. Часть 1-2. Аппаратура для измерения параметров индустриальных радиопомех и помехоустойчивости. Устройства для измерения кондуктивных радиопомех и испытаний на устойчивость к кондуктивным радиопомехам»  ГОСТ Р 51318.16.1.1-2007 «Совместимость технических средств электромагнитная. Требования к аппаратуре для измерения параметров индустриальных радиопомех и помехоустойчивости и методы измерений. Часть 1-1. Аппаратура для измерения параметров индустриальных радиопомех и помехоустойчивости. Приборы для измерения индустриальных радиопомех» ГОСТ Р 51317.3.3-2008 «Совместимость технических средств электромагнитная. Ограничение изменений напряжения, колебаний напряжения и фликера в низковольтных системах электроснабжения общего назначения. Технические средства с потребляемым током не более 16 А (в одной фазе), подключаемые к электрической сети при несоблюдении определенных условий подключения. Нормы и методы испытаний»  ГОСТ Р 51318.16.1.4-2008 «Совместимость технических средств электромагнитная. Требования к аппаратуре для измерения параметров индустриальных радиопомех и помехоустойчивости и методы измерений. Часть 1 - 4. Аппаратура для измерения параметров индустриальных радиопомех и помехоустойчивости. Устройства для измерения излучаемых радиопомех и испытаний на устойчивость к излучаемым радиопомехам»  ГОСТ Р 51317.4.7-2008 «Совместимость технических средств электромагнитная. Общее руководство по средствам измерений и измерениям гармоник и интергармоник для систем электроснабжения и подключаемых к ним технических средств»  ГОСТ Р 51318.16.2.1-2008 «Совместимость технических средств электромагнитная. Требования к аппаратуре для измерения параметров индустриальных радиопомех и помехоустойчивости и методы измерений. Часть 2-1. Методы измерений параметров индустриальных радиопомех и помехоустойчивости. Измерение кондуктивных радиопомех»  ГОСТ Р 51318.16.2.3-2009 «Совместимость технических средств электромагнитная. Требования к аппаратуре для измерения параметров индустриальных радиопомех и помехоустойчивости и методы измерений. Часть 2-3. Методы измерений параметров индустриальных радиопомех и помехоустойчивости. Измерение излучаемых радиопомех»  ГОСТ Р 51317.4.2-2010 «Совместимость технических средств электромагнитная. Устойчивость к электростатическим разрядам. Требования и методы испытаний»  ГОСТ Р 54418.21-2011 «Возобновляемая энергетика. Ветроэнергетика. Установки ветроэнергетические. Часть 21. Измерение и оценка характеристик, связанных с качеством электрической энергии, ветроэнергетических установок, подключенных к электрической сети»  ГОСТ Р 50397-2011 «Совместимость технических средств электромагнитная. Термины и определения»
|
                                                                                                   
|