Информационная система
«Ёшкин Кот»

Скачать базу одним архивом
Скачать обновления
История создания базы
Карта сайта

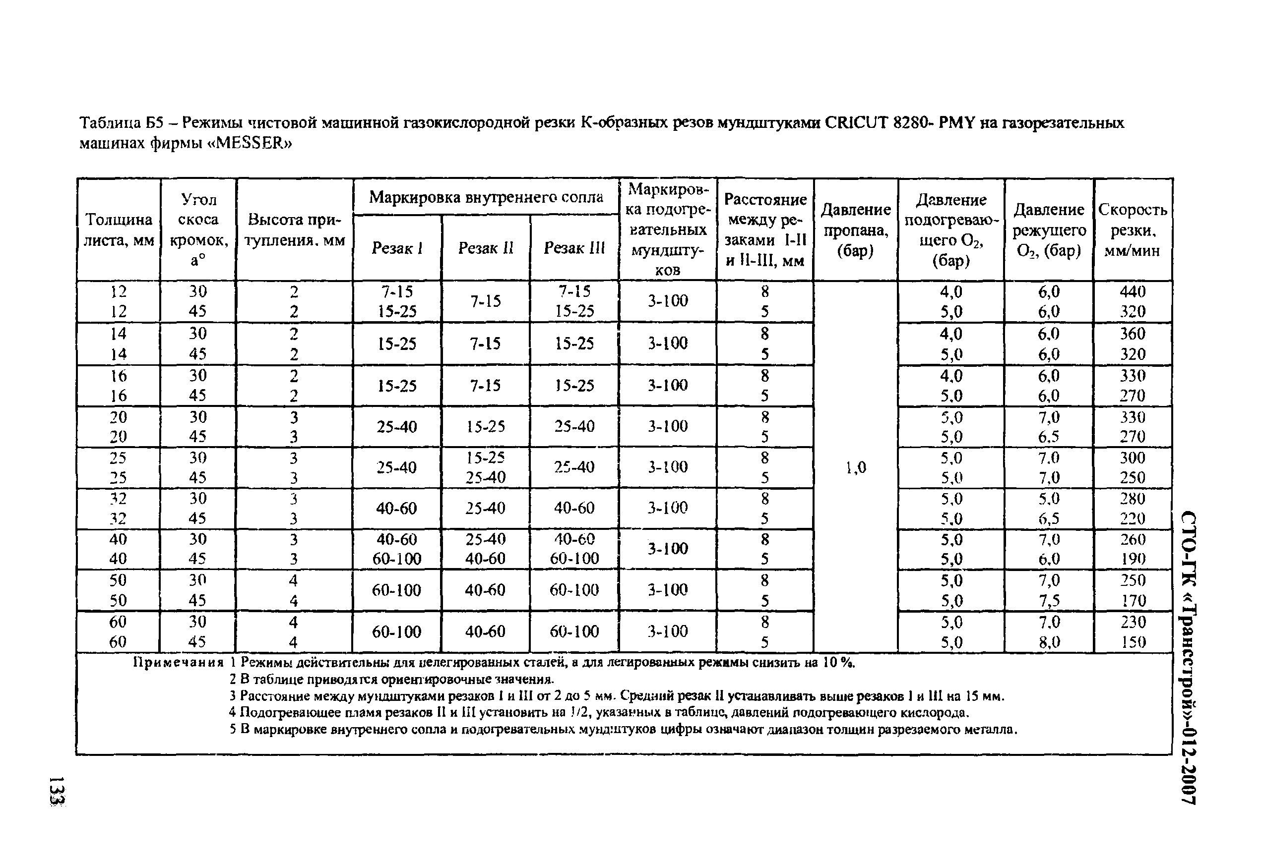
Скачать СТО-ГК Трансстрой 012-2007 Стандарт организации. Стальные конструкции мостов. Заводское изготовление

Дата актуализации: 10.08.2017

СТО-ГК "Трансстрой" 012-2007

Стандарт организации. Стальные конструкции мостов. Заводское изготовление

Обозначение: СТО-ГК "Трансстрой" 012-2007
Обозначение англ: 012-2007
Статус:действует
Название рус.:Стандарт организации. Стальные конструкции мостов. Заводское изготовление
Дата добавления в базу:01.09.2013
Дата актуализации:05.05.2017
Дата введения:24.08.2007
Область применения:Нормы СТО распространяются на изготовление и приемку стальных конструкций: - пролетных строений, опор и пилонов постоянных мостов; - элементов реконструкции и усиления существующих стальных и сталежелезобетонных мостов; - несущих конструкций в разводных пролетах мостов; - мостостроительного инвентаря и специальных вспомогательных сооружений и устройств для возведения мостов (кроме плавучих средств); - несущих конструкций специальных кранов для монтажа пролетных строений, опор и пилонов стальных мостов. Нормы СТО не распространяются на изготовление: - опорных частей, катков, шарниров, механизмов разводных пролетов и других элементов мостов машиностроительной специфики; - конструкции стальных гофрированных водопропускных труб; - канатов, пучков, гибких подвесок и вант висячих и вантовых мостов; - закладных деталей для железобетонных мостов. При изготовлении и приемке: - гибких элементов висячих и вантовых мостов; - мостов специального назначения, включая временные и краткосрочные мосты; - мостовых конструкций из сталей с пределом текучести 450 МПа и выше, а также сталей, применяемых в опытном порядке
Оглавление:1. Область применения
2. Нормативные ссылки
3. Термины и определения
4. Общие указания
5. Требования к стальному прокату
6. Конструктивные особенности стальных мостов
7. Изготовление деталей и монтажных элементов
8. Сборка отправочных марок и подготовка заводских соединений под сварку
9. Требования к сварочным материалам и оборудованию
10. Технология заводской сварки мостовых конструкций
11. Требования к качеству сварки и сварных соединений. Контроль качества
12. Исправление дефектов сварки. Ремонт отправочных марок
13. Правка деформаций в сварных конструкциях
14. Механическая обработка сварных соединений
15. Приемка отправочных марок
16. Контрольная заводская сборка
17. Отгрузка и маркировка конструкций
18. Обеспечение безопасности труда
Приложение А (обязательное, кроме таблицы А3)
Приложение Б (обязательное)
Приложение В (справочное)
Приложение Г (справочное)
Приложение Д (рекомендуемое)
Приложение Е (обязательное)
Приложение Ж (рекомендуемое)
Приложение И (рекомендуемое)
Приложение К (обязательное)
Разработан: ОАО ЦНИИС Научно-исследовательский центр Мосты
Утверждён:22.08.2007 ООО Группа компаний Трансстрой (ГК/ПН-56)
Принят:24.05.2007 ОАО Корпорация Трансстрой (Transstroy Corporation OAO К/173)
05.06.2007 ЦНИИПСК им Мельникова (Melnikov TsNIIPSK 6-1545)
18.06.2007 ОАО Гипротрансмост (1917-1350/1616)
14.06.2007 ОАО Трансмост (12/01-1043)
16.05.2007 ОАО Гипростроймост (С-385)
30.07.2007 ЗАО Воронежстальмост (1382/13)
Расположен в:Техническая документация
Заменяет собой:
Нормативные ссылки:
СТО-ГК "Трансстрой" 012-2007СТО-ГК "Трансстрой" 012-2007СТО-ГК "Трансстрой" 012-2007СТО-ГК "Трансстрой" 012-2007СТО-ГК "Трансстрой" 012-2007СТО-ГК "Трансстрой" 012-2007СТО-ГК "Трансстрой" 012-2007СТО-ГК "Трансстрой" 012-2007СТО-ГК "Трансстрой" 012-2007СТО-ГК "Трансстрой" 012-2007СТО-ГК "Трансстрой" 012-2007СТО-ГК "Трансстрой" 012-2007СТО-ГК "Трансстрой" 012-2007СТО-ГК "Трансстрой" 012-2007СТО-ГК "Трансстрой" 012-2007СТО-ГК "Трансстрой" 012-2007СТО-ГК "Трансстрой" 012-2007СТО-ГК "Трансстрой" 012-2007СТО-ГК "Трансстрой" 012-2007СТО-ГК "Трансстрой" 012-2007СТО-ГК "Трансстрой" 012-2007СТО-ГК "Трансстрой" 012-2007СТО-ГК "Трансстрой" 012-2007СТО-ГК "Трансстрой" 012-2007СТО-ГК "Трансстрой" 012-2007СТО-ГК "Трансстрой" 012-2007СТО-ГК "Трансстрой" 012-2007СТО-ГК "Трансстрой" 012-2007СТО-ГК "Трансстрой" 012-2007СТО-ГК "Трансстрой" 012-2007СТО-ГК "Трансстрой" 012-2007СТО-ГК "Трансстрой" 012-2007СТО-ГК "Трансстрой" 012-2007СТО-ГК "Трансстрой" 012-2007СТО-ГК "Трансстрой" 012-2007СТО-ГК "Трансстрой" 012-2007СТО-ГК "Трансстрой" 012-2007СТО-ГК "Трансстрой" 012-2007СТО-ГК "Трансстрой" 012-2007СТО-ГК "Трансстрой" 012-2007СТО-ГК "Трансстрой" 012-2007СТО-ГК "Трансстрой" 012-2007СТО-ГК "Трансстрой" 012-2007СТО-ГК "Трансстрой" 012-2007СТО-ГК "Трансстрой" 012-2007СТО-ГК "Трансстрой" 012-2007СТО-ГК "Трансстрой" 012-2007СТО-ГК "Трансстрой" 012-2007СТО-ГК "Трансстрой" 012-2007СТО-ГК "Трансстрой" 012-2007СТО-ГК "Трансстрой" 012-2007СТО-ГК "Трансстрой" 012-2007СТО-ГК "Трансстрой" 012-2007СТО-ГК "Трансстрой" 012-2007СТО-ГК "Трансстрой" 012-2007СТО-ГК "Трансстрой" 012-2007СТО-ГК "Трансстрой" 012-2007СТО-ГК "Трансстрой" 012-2007СТО-ГК "Трансстрой" 012-2007СТО-ГК "Трансстрой" 012-2007СТО-ГК "Трансстрой" 012-2007СТО-ГК "Трансстрой" 012-2007СТО-ГК "Трансстрой" 012-2007СТО-ГК "Трансстрой" 012-2007СТО-ГК "Трансстрой" 012-2007СТО-ГК "Трансстрой" 012-2007СТО-ГК "Трансстрой" 012-2007СТО-ГК "Трансстрой" 012-2007СТО-ГК "Трансстрой" 012-2007СТО-ГК "Трансстрой" 012-2007СТО-ГК "Трансстрой" 012-2007СТО-ГК "Трансстрой" 012-2007СТО-ГК "Трансстрой" 012-2007СТО-ГК "Трансстрой" 012-2007СТО-ГК "Трансстрой" 012-2007СТО-ГК "Трансстрой" 012-2007СТО-ГК "Трансстрой" 012-2007СТО-ГК "Трансстрой" 012-2007СТО-ГК "Трансстрой" 012-2007СТО-ГК "Трансстрой" 012-2007СТО-ГК "Трансстрой" 012-2007СТО-ГК "Трансстрой" 012-2007СТО-ГК "Трансстрой" 012-2007СТО-ГК "Трансстрой" 012-2007СТО-ГК "Трансстрой" 012-2007СТО-ГК "Трансстрой" 012-2007СТО-ГК "Трансстрой" 012-2007СТО-ГК "Трансстрой" 012-2007СТО-ГК "Трансстрой" 012-2007СТО-ГК "Трансстрой" 012-2007СТО-ГК "Трансстрой" 012-2007СТО-ГК "Трансстрой" 012-2007СТО-ГК "Трансстрой" 012-2007СТО-ГК "Трансстрой" 012-2007СТО-ГК "Трансстрой" 012-2007СТО-ГК "Трансстрой" 012-2007СТО-ГК "Трансстрой" 012-2007СТО-ГК "Трансстрой" 012-2007СТО-ГК "Трансстрой" 012-2007СТО-ГК "Трансстрой" 012-2007СТО-ГК "Трансстрой" 012-2007СТО-ГК "Трансстрой" 012-2007СТО-ГК "Трансстрой" 012-2007СТО-ГК "Трансстрой" 012-2007СТО-ГК "Трансстрой" 012-2007СТО-ГК "Трансстрой" 012-2007СТО-ГК "Трансстрой" 012-2007СТО-ГК "Трансстрой" 012-2007СТО-ГК "Трансстрой" 012-2007СТО-ГК "Трансстрой" 012-2007СТО-ГК "Трансстрой" 012-2007СТО-ГК "Трансстрой" 012-2007СТО-ГК "Трансстрой" 012-2007СТО-ГК "Трансстрой" 012-2007СТО-ГК "Трансстрой" 012-2007СТО-ГК "Трансстрой" 012-2007СТО-ГК "Трансстрой" 012-2007СТО-ГК "Трансстрой" 012-2007СТО-ГК "Трансстрой" 012-2007СТО-ГК "Трансстрой" 012-2007СТО-ГК "Трансстрой" 012-2007СТО-ГК "Трансстрой" 012-2007СТО-ГК "Трансстрой" 012-2007СТО-ГК "Трансстрой" 012-2007СТО-ГК "Трансстрой" 012-2007СТО-ГК "Трансстрой" 012-2007СТО-ГК "Трансстрой" 012-2007СТО-ГК "Трансстрой" 012-2007СТО-ГК "Трансстрой" 012-2007СТО-ГК "Трансстрой" 012-2007СТО-ГК "Трансстрой" 012-2007СТО-ГК "Трансстрой" 012-2007СТО-ГК "Трансстрой" 012-2007СТО-ГК "Трансстрой" 012-2007СТО-ГК "Трансстрой" 012-2007СТО-ГК "Трансстрой" 012-2007СТО-ГК "Трансстрой" 012-2007СТО-ГК "Трансстрой" 012-2007СТО-ГК "Трансстрой" 012-2007СТО-ГК "Трансстрой" 012-2007СТО-ГК "Трансстрой" 012-2007СТО-ГК "Трансстрой" 012-2007СТО-ГК "Трансстрой" 012-2007СТО-ГК "Трансстрой" 012-2007СТО-ГК "Трансстрой" 012-2007СТО-ГК "Трансстрой" 012-2007СТО-ГК "Трансстрой" 012-2007СТО-ГК "Трансстрой" 012-2007СТО-ГК "Трансстрой" 012-2007СТО-ГК "Трансстрой" 012-2007СТО-ГК "Трансстрой" 012-2007СТО-ГК "Трансстрой" 012-2007СТО-ГК "Трансстрой" 012-2007СТО-ГК "Трансстрой" 012-2007СТО-ГК "Трансстрой" 012-2007СТО-ГК "Трансстрой" 012-2007СТО-ГК "Трансстрой" 012-2007СТО-ГК "Трансстрой" 012-2007СТО-ГК "Трансстрой" 012-2007СТО-ГК "Трансстрой" 012-2007СТО-ГК "Трансстрой" 012-2007СТО-ГК "Трансстрой" 012-2007СТО-ГК "Трансстрой" 012-2007СТО-ГК "Трансстрой" 012-2007СТО-ГК "Трансстрой" 012-2007СТО-ГК "Трансстрой" 012-2007СТО-ГК "Трансстрой" 012-2007СТО-ГК "Трансстрой" 012-2007СТО-ГК "Трансстрой" 012-2007СТО-ГК "Трансстрой" 012-2007СТО-ГК "Трансстрой" 012-2007СТО-ГК "Трансстрой" 012-2007СТО-ГК "Трансстрой" 012-2007СТО-ГК "Трансстрой" 012-2007СТО-ГК "Трансстрой" 012-2007СТО-ГК "Трансстрой" 012-2007СТО-ГК "Трансстрой" 012-2007СТО-ГК "Трансстрой" 012-2007

© 2013 Ёшкин Кот :-) Карта сайта